ВЛИЯНИЕ ДЛИТЕЛЬНОГО ПРИМЕНЕНИЯ МИНЕРАЛЬНЫХ УДОБРЕНИЙ НА ЗАСОРЕННОСТЬ ЗЕРНОТРАВЯНОПРОПАШНОГО СЕВООБОРОТА
- Авторы: Шпанев А.М.1,2, Смук В.В.1,2, Фесенко М.А.1
-
Учреждения:
- Агрофизический научно-исследовательский институт
- Всероссийский научно-исследовательский институт защиты растений
- Выпуск: № 12 (2023)
- Страницы: 67-74
- Раздел: Удобрения
- URL: https://bakhtiniada.ru/0002-1881/article/view/162258
- DOI: https://doi.org/10.31857/S000218812312013X
- EDN: https://elibrary.ru/STTXCL
- ID: 162258
Цитировать
Полный текст
Аннотация
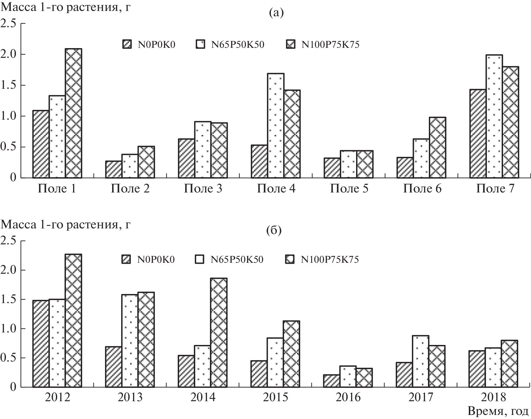
В многолетнем исследовании в длительном стационарном опыте выявлено, что действие минеральных удобрений распространялось на количественную составляющую и структуру засоренности полей зернотравянопропашного севооборота но не на видовой состав сорной растительности. Под влиянием минеральных удобрений увеличивалась высота и масса сорных растений, но снижалась их численность за период совместного произрастания с культурными растениями в течение вегетации (на 12.0–22.6%). В отсутствие выраженной конкурентоспособности культурных растений в неудобренном варианте опыта густота сорняков от весеннего периода к уборке урожая возрастала на 47%. Засоренность полей многолетними двудольными видами сорных растений и их относительное обилие в удобренных вариантах снижались в 2.4–3.6 раза, а малолетними двудольными видами – увеличивались в 1.3–1.4 раза. Отзывчивыми на внесение минеральных удобрений оказались марь белая и пикульники, тогда как торица полевая и редька дикая преимущественно произрастали в неудобренном варианте, где кислотность почвы имела более высокие показатели.
Об авторах
А. М. Шпанев
Агрофизический научно-исследовательский институт; Всероссийский научно-исследовательский институт защиты растений
Автор, ответственный за переписку.
Email: ashpanev@mail.ru
Россия, 195220, Санкт-Петербург, , Гражданский просп., 14; Россия, 196608, Санкт-Петербург–Пушкин, шоссе Подбельского, 3
В. В. Смук
Агрофизический научно-исследовательский институт; Всероссийский научно-исследовательский институт защиты растений
Email: ashpanev@mail.ru
Россия, 195220, Санкт-Петербург, , Гражданский просп., 14; Россия, 196608, Санкт-Петербург–Пушкин, шоссе Подбельского, 3
М. А. Фесенко
Агрофизический научно-исследовательский институт
Email: ashpanev@mail.ru
Россия, 195220, Санкт-Петербург, , Гражданский просп., 14
Список литературы
- Полин В.Д. Влияние севооборота и удобрений на засоренность посадок картофеля и посевов озимой ржи // Агро XXI. 2009. № 4–6. С. 8–10.
- Конова А.М., Самойлов Л.Н., Державин Л.М. Эффективность комплексного применения удобрений и пестицидов на озимой ржи в полевом севообороте // Агрохимия. 2012. № 3. С. 13–24.
- Фомин Д.С., Ямалтдинова В.Р., Тетерлев И.С. Влияние вида пара и фона питания на засоренность посевов и продуктивность севооборотов // Пермск. аграрн. вестн. 2016. № 4 (16). С. 55–60.
- Иванов А.И., Фесенко М.А., Вертебный В.Е., Дубовицкая В.И. Результаты и развитие исследований в многолетнем стационарном полевом опыте в семипольном севообороте // Агрофизика. 2012. № 3. С. 50–57.
- Шпанев А.М., Фесенко М.А., Смук В.В. Эффективность применения минеральных удобрений и интегрированной системы защиты растений в полевом севообороте на Северо-Западе РФ // Агрохимия. 2021. № 1. С. 12–22.
- Зубков А.Ф. Методические указания по сбору полевой биоценологической информации с целью оценки вредоносности комплекса вредных организмов. Л.: ВИЗР, 1978. 18 с.
- Sorensen T. A method of establishing groups of equal amplitude in plant sociology based on similarity of species content and its application to analysis of the vegetation on Danish commons // Biol. Skrifter. 1948. № 5. P. 1–34.
- Шорыгин А.А. Питание, избирательная способность и пищевые взаимоотношения некоторых Goobiidae Каспийского моря // Зоол. журн. 1939. Т. 18. Вып. 1. С. 27–51.
- Труфанов А.М., Воронин А.Н., Исаичева У.А., Кононова М.К. Фитосанитарное состояние посева ярового рапса при применении ресурсосберегающих агротехнологий // Вестн. АПК Верхневолжья. 2015. № 1 (29). С. 22–25.
- Турусов В.И., Гармашов В.М., Корнилов И.М., Нужная Н.А., Гаврилова С.А. Влияние системы обработки почвы, удобрений, гербицида и регулятора роста на сорный компонент в посевах озимой пшеницы // Защита и карантин раст. 2015. № 12. С. 26–28.
- Шпанев А.М., Фесенко М.А. Влияние минерального питания на фитосанитарную обстановку в посевах ярового рапса на Северо-Западе РФ // Агрохимия. 2022. № 8. С. 44–50.
- Дудкин И.В. Научное обоснование приемов и систем регулирования засоренности посевов сельскохозяйственных культур в ландшафтном земледелии лесостепи Центрального Черноземья: Автореф. дис. … д-ра с.-х. наук. Курск, 2009. 38 с.
- Дудкин И.В., Дудкина Т.А. Влияние севооборотов на засоренность посевов // Земледелие. 2013. № 8. С. 40–42.
- Смук В.В., Шпанев А.М. Засоренность посадок картофеля, размещенных по пласту многолетних трав в Ленинградской области // Вестн. защиты раст. 2016. № 2 (88). С. 38–42.
- Титова Е.М., Внукова М.А. Эффективность комплексного применения удобрений и гербицида Димесол в посевах ярового ячменя // Вестн. ОрелГАУ. 2012. № 2. С. 32–35.
- Вьюгин С.М., Вьюгина Г.М. Регулирование фитосанитарного состояния агроценозов // Земледелие. 2015. № 12. С. 26–28.
- Шпанев А.М., Смук В.В., Фесенко М.А. Фитосанитарный эффект применения минеральных удобрений на посадках картофеля в Северо-Западном регионе // Агрохимия. 2017. № 12. С. 38–45.
Дополнительные файлы




