Возможности интенсификации технологии выращивания яровой пшеницы в лесостепи Западной Сибири
- Авторы: Шарков И.Н.1, Колбин С.А.2, Васильева Н.В.2
-
Учреждения:
- Институт почвоведения и агрохимии СО РАН
- Сибирский федеральный научный центр агробиотехнологий РАН
- Выпуск: № 6 (2023)
- Страницы: 3-11
- Раздел: Статьи
- URL: https://bakhtiniada.ru/0002-1881/article/view/139613
- DOI: https://doi.org/10.31857/S0002188123060108
- EDN: https://elibrary.ru/QOYLCY
- ID: 139613
Цитировать
Полный текст
Аннотация
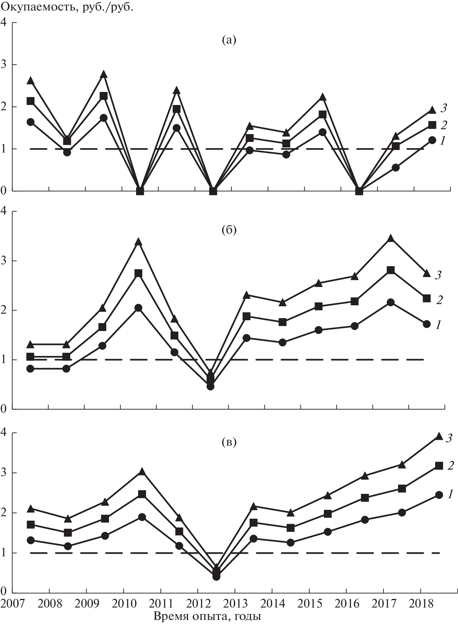
На основе результатов многолетнего полевого опыта дана агрономическая и экономическая оценка эффектов от применения средств химизации под яровую пшеницу с целью выяснения привлекательности для земледельцев перехода к выращиванию культуры по интенсивной технологии. Для анализа были взяты актуальные на сегодня для сибирского региона цены на средства химизации и зерно яровой пшеницы. Показано, что под влиянием комплекса средств химизации (удобрений, гербицидов, фунгицида) среднегодовая урожайность пшеницы в 4-польном зернопаровом севообороте увеличилась в 1.8 раза, достигнув 3.8 т зерна/га. Рост урожайности на 13% был обусловлен применением гербицидов, 18% – фунгицидов и на 69% – минеральных удобрений при окупаемости 1 кг д.в. 12.4 кг зерна. При расчете в среднем за год средства химизации обеспечивали получение дохода уже при минимальной (из принятых для анализа) цене зерна 10000 руб./т. Доход резко увеличивался в ряду вариантов полевого опыта: гербициды, гербициды + удобрения, гербициды + удобрения + фунгицид. Однако при оценке ежегодных эффектов доход от средств химизации в этом ряду был получен соответственно только в 42, 75 и 92% лет. Вероятность убытков значительно уменьшалась при увеличении цены зерна. Но даже при ценах 13000 и 16000 руб./т применение всего комплекса средств химизации было убыточным в 8% лет из-за сильной засушливости вегетационного периода. При текущих ценах на удобрения и пестициды минимально достаточной ценой зерна можно считать 13000 руб./т, что однако не исключает получение убытков в сильно засушливые годы.
Об авторах
И. Н. Шарков
Институт почвоведения и агрохимии СО РАН
Автор, ответственный за переписку.
Email: humus3@yandex.ru
Россия, 630090, Новосибирск, просп. Лаврентьева, 8/2
С. А. Колбин
Сибирский федеральный научный центр агробиотехнологий РАН
Email: humus3@yandex.ru
Россия, 630501, Новосибирская обл., , р.п. Краснообск
Н. В. Васильева
Сибирский федеральный научный центр агробиотехнологий РАН
Email: humus3@yandex.ru
Россия, 630501, Новосибирская обл., , р.п. Краснообск
Список литературы
- Тю Л.В., Афанасьев Е.В., Быков А.А., Алещенко О.А. Экономическая эффективность и перспективы развития зернового производства в Сибири // Эконом. сел.-хоз. и перерабат. предприятий. 2021. № 1. С. 28–32.
- Межрегиональная схема размещения и специализации сельскохозяйственного производства в субъектах Российской Федерации Сибирского федерального округа: рекомендации. Новосибирск: ФГБУ СО АН, 2016. 255 с.
- Шарков И.Н. Интенсификация агротехнологий – главный приоритет Сибирского земледелия // Наука и технол. Сибири. 2021. № 3. С. 13–19.
- Шарков И.Н. Проблемы интенсификации технологий возделывания зерновых культур в Сибири // Инновации и прод. безопасность. 2016. № 1 (11). С. 24–32.
- Система адаптивного земледелия Омской области. ФГБНУ “Омский АНЦ”. Омск: Изд-во ИП Макшеевой Е.А., 2020. С. 522.
- Гамзиков Г.П. Точное земледелие в Сибири: реальности, проблемы и перспективы // Земледелие. 2022. № 1. С. 3–9. https://doi.org/10.24412/0044-3913-2022-1-3-9
- Гамзиков Г.П. Сибирская современная Геосеть длительных стационарных опытов с удобрениями // Агрохимия. 2022. № 7. С. 3–13.
- Синещеков В.Е. Химизация – ключевой фактор в формировании продуктивности колосовых культур в лесостепи // АПК России. 2018. Т. 25. № 23. С. 455–460.
- Чагина Е.Г., Берхин Ю.И., Головин В.А. Определение нитратов в почве селективным электродом. Метод. рекоменд. Новосибирск, 1980. С. 10.
- Торговая площадка IDK.RU [Электр. ресурс]. URL: https://stat.idk.ru/(дата обращения 23.11.2022).
- Сорокин О.Д. Прикладная статистика на компьютере. Новосибирск: СО РАСХН, 2008. С. 217.
- Красницкий В.М., Бобренко И.А., Шмидт А.Г., Матвейчик О.А. Агротехническая диагностика потребности полевых культур в азотных удобрениях // Плодородие. 2020. № 6. С. 40–44. https://doi.org/10.25680/s19948603.2020.117.12
- Гамзиков Г.П. Практические рекомендации по почвенной диагностике азотного питания полевых культур и применению азотных удобрений в сибирском земледелии. М.: Росинформагротех, 2018. С. 48.
- Шарков И.Н., Колбин С.А. Влияние погодных условий вегетационного периода на урожайность яровой пшеницы и эффективность азотного удобрения в лесостепи Приобья // Вестн. НГАУ. 2020. № 1 (54). С. 33–41. https://doi.org/10.31677/2072-6724-2020-54-1-33-41
- Холмов В.Г., Юшкевич Л.В. Интенсификация и ресурсосбережение в земледелие лесостепи Западной Сибири. Омск: Изд-во ОмГАУ, 2006. С. 396.
- Синещеков В.Е., Васильева Н.В. Факторы, влияющие на численность сорных растений в посевах яровой пшеницы, на примере лесостепи Западной Сибири // Вестн. КрасГАУ. 2020. № 6 (159). С. 62–70. https://doi.org/10.36718/1819-4036-2020-6-62-70
- Захаренко В.А. Современное состояние и перспективы экономики применения пестицидов в агроэкосистемах России // Агрохимия. 2021. № 5. С. 68–83. https://doi.org/10.31857/S0002188121050148
- Шарков И.Н., Колбин С.А., Захаров Г.М. Агротехнологии и возможности интенсификации производства зерна в Сибири // Эконом. сел.-хоз. и перерабат. предприятий. 2022. № 5. С. 14–18. https://doi.org/10.31442/0235-2494-2022-0-5-14-18
- Гилев С.Д., Цымбаленко И.Н., Копылов А.Н. Агроэкологические и экономические показатели возделывания яровой пшеницы с применением средств химизации в Зауралье // Агрохимия. 2020. № 3. С. 49–54. https://doi.org/10.31857/S0002188119120044
- Гатаулина Е.А., Узун Е.А. Сравнительная оценка стоимости ресурсов и условий ведения бизнеса в России и за рубежом с точки зрения конкурентоспособности аграрного сектора // Изв. ТСХА. 2016. № 3. С. 71–93.
Дополнительные файлы




