Особенности развития мозолистого тела мозга детей по данным МРТ
- Авторы: Зыкин П.А.1, Ялфимов А.Н.2, Александров Т.А.2, Краснощекова Е.И.1, Ткаченко Л.А.1, Середа В.М.2, Насыров Р.А.2
-
Учреждения:
- ФГБОУ ВО «Санкт-Петербургский государственный университет»
- ФГБОУ ВО «Санкт-Петербургский государственный педиатрический медицинский университет» Минздрава России
- Выпуск: Том 9, № 1 (2018)
- Страницы: 37-48
- Раздел: Статьи
- URL: https://bakhtiniada.ru/pediatr/article/view/8733
- DOI: https://doi.org/10.17816/PED9137-48
- ID: 8733
Цитировать
Полный текст
Аннотация
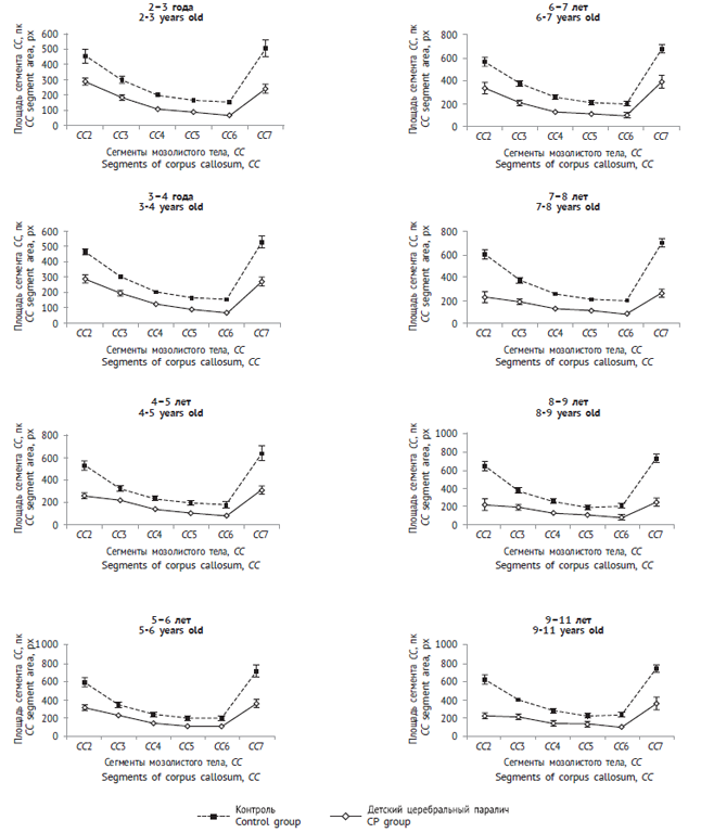
По мере внедрения магнитно-резонансной томографии (МРТ) в практику исследований мозга все чаще обращают на себя внимание гипоплазии мозолистого тела при разных заболеваниях центральной нервной системы. В данной работе была исследована возрастная динамика развития мозолистого тела на МРТ мозга детей без неврологической патологии и их ровесников с детским церебральным параличом (ДЦП). На срединно-сагиттальных изображениях сравнивали площадь всего мозолистого тела и его отдельных сегментов. Для анализа использовали оригинальную формулу соотношения площадей передних и задних сегментов комиссуры — коэффициент мозолистого тела (kCC). Обнаружено, что у детей группы контроля площадь мозолистого тела увеличивается, наиболее интенсивно растет валик комиссуры. У детей с ДЦП площадь мозолистого тела хотя и увеличивается с возрастом, но остается достоверно меньше, чем у здоровых детей, а относительная площадь валика почти не меняется. При этом kCC у детей с ДЦП достоверно ниже, чем в группе контроля. Известно, что группой риска по ДЦП являются недоношенные дети. Было проведено сравнительное морфометрическое исследование мозолистого тела и kCC на томограммах мозга доношенных и недоношенных детей раннего грудного возраста. Установлено, что у детей с неполным сроком гестации на момент рождения площадь комиссуры меньше, чем у доношенных сверстников, а kCC достоверно ниже. Таким образом, были получены показатели, которые позволили как охарактеризовать возрастную динамику развития мозолистого тела, так и с высокой степенью достоверности различать мозг детей из группы контроля и с ДЦП, а также определять вероятную группу риска по ДЦП среди детей младшего грудного возраста.
Ключевые слова
Полный текст
Открыть статью на сайте журналаОб авторах
Павел Александрович Зыкин
ФГБОУ ВО «Санкт-Петербургский государственный университет»
Автор, ответственный за переписку.
Email: pavel.zykin@spbu.ru
канд. биол. наук, доцент, биологический факультет, кафедра цитологии и гистологии
Россия, Санкт-ПетербургАнатолий Николаевич Ялфимов
ФГБОУ ВО «Санкт-Петербургский государственный педиатрический медицинский университет» Минздрава России
Email: pavel.zykin@spbu.ru
канд. мед. наук, доцент
Россия, Санкт-ПетербургТимофей Александрович Александров
ФГБОУ ВО «Санкт-Петербургский государственный педиатрический медицинский университет» Минздрава России
Email: ale-tim@list.ru
консультативно-диагностический центр, отделение лучевой диагностики
Россия, Санкт-ПетербургЕлена Ивановна Краснощекова
ФГБОУ ВО «Санкт-Петербургский государственный университет»
Email: e.krasnozchekova@spbu.ru
д-р биол. наук, профессор, биологический факультет, кафедра цитологии и гистологии
Россия, Санкт-ПетербургЛюбовь Александровна Ткаченко
ФГБОУ ВО «Санкт-Петербургский государственный университет»
Email: l.tkachenko@spbu.ru
канд. биол. наук, доцент, биологический факультет, кафедра цитологии и гистологии
Россия, Санкт-ПетербургВасилий Михайлович Середа
ФГБОУ ВО «Санкт-Петербургский государственный педиатрический медицинский университет» Минздрава России
Email: seredavm@mail.ru
д-р мед. наук, профессор, кафедра социальной педиатрии и организации здравоохранения ФП и ДПО
Россия, Санкт-ПетербургРуслан Абдуллаевич Насыров
ФГБОУ ВО «Санкт-Петербургский государственный педиатрический медицинский университет» Минздрава России
Email: rrmd99@mail.ru
д-р мед. наук, профессор, заведующий, кафедра патологической анатомии с курсом судебной медицины
Россия, Санкт-ПетербургСписок литературы
- Акопян Т.А. Распространенность, медико-социальные аспекты и прогноз первичной инвалидности детей раннего возраста вследствие заболеваний нервной системы в крупном агропромышленном регионе // Сибирский медицинский журнал. – 2008. – Т. 23. – № 1–2. – С. 52–54. [Akopyan TA. Prevalence, medical-social aspects and prognosis of primary disability of infants-residents of large agricultural region due to nervous system diseases. Siberian medical journal. 2008;23(1-2):52-54. (In Russ.)]
- Антонова Л.К., Иванов А.А., Кольцова С.Ю., Близнецова Е.А. Клинико-патоморфологические особенности недоношенных детей, родившихся с экстремально низкой массой тела // Верхневолжский медицинский журнал. – 2014. – Т. 12. – № 2. – С. 35–38. [Antonova LK, Ivanov AA, Koltsova SY, Bliznetsova EA. Clinikopathologic features of premature extremely low-birth-weight infants. Upper Volga medical journal. 2014;12(2):35-38. (In Russ.)]
- Байбарина Е.Н., Дегтярев Д.Н. Переход на новые правила регистрации рождения детей в соответствии с критериями, рекомендованными Всемирной организацией здравоохранения: исторические, медико-экономические и организационные аспекты // Российский вестник перинатологии и педиатрии. – 2011. – Т. 56. – № 6. – С. 6–9. [Baibarina EN, Deg tyarev DN. Transition to new rules for baby’s birth registration in accordance with the criteria recommended by the World Health Organization: historical, medico-economic, and organizational aspects. Rossiiskii vestnik perinatologii i pediatrii. 2011;56(6):6-9. (In Russ.)]
- Краснощекова Е.И., Зыкин П.А., Ткаченко Л.А., и др. Возрастная динамика развития мозолистого тела детей и ее особенности при детском церебральном параличе // Бюллетень экспериментальной биологии и медицины. – 2016. – Т. 161. – № 6. – С. 816–820. [Krasnoshchekova EI, Zykin PA, Tkachenko LA, et al. Age-Specific Dynamics of Corpus Callosum Development in Children and its Peculiarities in Infantile Cerebral Palsy. Biull Eksp Biol Med. 2016;161(6):816-820. (In Russ.)]
- Краснощекова Е.И., Зыкин П.А., Ткаченко Л.А., Смолина Т.Ю. Развитие пирамидных нейронов коры полушарий конечного мозга человека во втором триместре гестации // Физиология человека. – 2010. – Т. 36. – № 4. – С. 65–71. [Krasnoshchokova EI, Zykin PA, Tkachenko LA, Smolina TY. Characteristics of Human Cortical Pyramidal Neuron Development during the Second Gestational Trimester. Fiziol Cheloveka. 2010;36(4):65-71. (In Russ.)]
- Пальчик А.Б., Шабалов Н.П. Гипоксически-ишемическая энцефалопатия новорожденных. – М.: МЕДпресс-информ, 2006. [Pal’chik AB, Shabalov NP. Hypoxic-ischemic encephalopathy of newborns. Moscow: MEDpress-inform; 2006. (In Russ.)]
- Abreu-Villaça Y, Silva WC, Manhães AC, Schmidt SL. The effect of corpus callosum agenesis on neocortical thickness and neuronal density of BALB/cCF mice. Brain Res Bull. 2002;58(4):411-416. doi: 10.1016/s0361-9230(02)00812-2.
- Alexander AL, Lee JE, Lazar M, Field AS. Diffusion tensor imaging of the brain. Neurotherapeutics. 2007;4(3):316-329. doi: 10.1016/j.nurt.2007.05.011.
- Beaule V, Tremblay S, Lafleur LP, et al. Cortical thickness in adults with agenesis of the corpus callosum. Neuropsychologia. 2015;77:359-365. doi: 10.1016/j.neuropsychologia.2015.09.020.
- Bekiesinska-Figatowska M, Duczkowska A, Szkudlinska-Pawlak S, et al. Diffusion restriction in the corticospinal tracts and the corpus callosum in neonates after cerebral insult. Brain Dev. 2017;39(3):203-210. doi: 10.1016/j.braindev.2016.10.003.
- Benders MJ, Kersbergen KJ, de Vries LS. Neuroimaging of white matter injury, intraventricular and cerebellar hemorrhage. Clin Perinatol. 2014;41(1):69-82. doi: 10.1016/j.clp.2013.09.005.
- Benini R, Dagenais L, Shevell MI, Registre de la Paralysie Cerebrale au Quebec C. Normal imaging in patients with cerebral palsy: what does it tell us? J Pediatr. 2013;162(2):369-374; e361. doi: 10.1016/j.jpeds.2012.07.044.
- de Bruine FT, van den Berg-Huysmans AA, Leijser LM, et al. Clinical implications of MR imaging findings in the white matter in very preterm infants: a 2-year follow-up study. Radiology. 2011;261(3):899-906. doi: 10.1148/radiol.11110797.
- Doria V, Arichi T, Edwards DA. Magnetic Resonance Imaging of the Preterm Infant Brain. Curr Pediatr Rev. 2014;10(1):48-55. doi: 10.2174/157339631001140408120821.
- Fan GG, Yu B, Quan SM, et al. Potential of diffusion tensor MRI in the assessment of periventricular leukomalacia. Clin Radiol. 2006;61(4):358-364. doi: 10.1016/j.crad.2006.01.001.
- Gandhi K, Gillihan L, Wozniak MA, et al. Progressive Wallerian Degeneration of the Corpus Callosal Splenium in a Patient with Alexia Without Agraphia: Advanced MR Findings. Neuroradiol J. 2014;27(6):653-656. doi: 10.15274/NRJ-2014-10097.
- Giampietri M, Bartalena L, Guzzetta A, et al. New techniques in the study of the brain development in newborn. Front Hum Neurosci. 2014;8:1069. doi: 10.3389/fnhum.2014.01069.
- Gilmore JH, Shi F, Woolson SL, et al. Longitudinal development of cortical and subcortical gray matter from birth to 2 years. Cereb Cortex. 2012;22(11):2478-2485. doi: 10.1093/cercor/bhr327.
- Groenendaal F, Benders MJ, de Vries LS. Pre-wallerian degeneration in the neonatal brain following perinatal cerebral hypoxia-ischemia demonstrated with MRI. Semin Perinatol. 2006;30(3):146-150. doi: 10.1053/j.semperi.2006.04.005.
- Hofer S, Frahm J. Topography of the human corpus callosum revisited — comprehensive fiber tractography using diffusion tensor magnetic resonance imaging. Neuroimage. 2006;32(3):989-994. doi: 10.1016/j.neuroimage.2006.05.044.
- Huppi PS, Dubois J. Diffusion tensor imaging of brain development. Semin Fetal Neonatal Med. 2006;11(6):489-497. doi: 10.1016/j.siny.2006.07.006.
- Inoue Y, Matsumura Y, Fukuda T, et al. MR imaging of Wallerian degeneration in the brainstem: temporal relationships. AJNR Am J Neuroradiol. 1990;11(5):897-902.
- Kim DY, Park HK, Kim NS, et al. Neonatal diffusion tensor brain imaging predicts later motor outcome in preterm neonates with white matter abnormalities. Ital J Pediatr. 2016;42(1):104. doi: 10.1186/s13052-016-0309-9.
- Koerte I, Pelavin P, Kirmess B, et al. Anisotropy of transcallosal motor fibres indicates functional impairment in children with periventricular leukomalacia. Dev Med Child Neurol. 2011;53(2):179-186. doi: 10.1111/j.1469-8749.2010.03840.x.
- Korzeniewski SJ, Birbeck G, DeLano MC, et al. A systematic review of neuroimaging for cerebral palsy. J Child Neurol. 2008;23(2):216-227. doi: 10.1177/0883073807307983.
- Krageloh-Mann I, Horber V. The role of magnetic resonance imaging in elucidating the pathogenesis of cerebral palsy: a systematic review. Dev Med Child Neurol. 2007;49(2):144-151. doi: 10.1111/j.1469-8749.2007.00144.x.
- Lee JD, Park HJ, Park ES, et al. Motor pathway injury in patients with periventricular leucomalacia and spastic diplegia. Brain. 2011;134(Pt 4):1199-1210. doi: 10.1093/brain/awr021.
- Mewes AU, Huppi PS, Als H, et al. Regional brain development in serial magnetic resonance imaging of low-risk preterm infants. Pediatrics. 2006;118(1):23-33. doi: 10.1542/peds.2005-2675.
- Mourao LF, Friel KM, Sheppard JJ, et al. The Role of the Corpus Callosum in Pediatric Dysphagia: Preliminary Findings from a Diffusion Tensor Imaging Study in Children with Unilateral Spastic Cerebral Palsy. Dysphagia. 2017;32(5):703-713. doi: 10.1007/s00455-017-9816-0.
- Mu X, Nie B, Wang H, et al. Spatial patterns of whole brain grey and white matter injury in patients with occult spastic diplegic cerebral palsy. PLoS One. 2014;9(6):e100451. doi: 10.1371/journal.pone.0100451.
- Oskoui M, Coutinho F, Dykeman J, et al. An update on the prevalence of cerebral palsy: a systematic review and meta-analysis. Dev Med Child Neurol. 2013;55(6):509-519. doi: 10.1111/dmcn.12080.
- Panigrahy A, Barnes PD, Robertson RL, et al. Quantitative analysis of the corpus callosum in children with cerebral palsy and developmental delay: correlation with cerebral white matter volume. Pediatr Radiol. 2005;35(12): 1199-1207. doi: 10.1007/s00247-005-1577-5.
- Pannek K, Scheck SM, Colditz PB, et al. Magnetic resonance diffusion tractography of the preterm infant brain: a systematic review. Dev Med Child Neurol. 2014;56(2):113-124. doi: 10.1111/dmcn.12250.
- Rajagopalan V, Scott J, Habas PA, et al. Local tissue growth patterns underlying normal fetal human brain gyrification quantified in utero. J Neurosci. 2011;31(8):2878-87. doi: 10.1523/JNEUROSCI.5458-10.2011.
- Ren T, Anderson A, Shen WB, et al. Imaging, anatomical, and molecular analysis of callosal formation in the developing human fetal brain. Anat Rec A Discov Mol Cell Evol Biol. 2006;288(2):191-204. doi: 10.1002/ar.a.20282.
- Ribeiro-Carvalho A, Manhaes AC, Abreu-Villaca Y, Filgueiras CC. Early callosal absence disrupts the establishment of normal neocortical structure in Swiss mice. Int J Dev Neurosci. 2006;24(1):15-21. doi: 10.1016/j.ijdevneu.2005.12.001.
- Rice D, Barone S, Jr. Critical periods of vulnerability for the developing nervous system: evidence from humans and animal models. Environ Health Perspect. 2000;108(Suppl 3):511-533.
- Scheck SM, Boyd RN, Rose SE. New insights into the pathology of white matter tracts in cerebral palsy from diffusion magnetic resonance imaging: a systematic review. Dev Med Child Neurol. 2012;54(8):684-696. doi: 10.1111/j.1469-8749.2012.04332.x.
- Schneider CA, Rasband WS, Eliceiri KW. NIH Image to ImageJ: 25 years of image analysis. Nat Methods. 2012;9(7):671-675. doi: 10.1038/nmeth.2089.
- Serenius F, Kallen K, Blennow M, et al. Neurodevelopmental outcome in extremely preterm infants at 2.5 years after active perinatal care in Sweden. JAMA. 2013;309(17):1810-1820. doi: 10.1001/jama.2013.3786.
- Sheth RD, Schaefer GB, Keller GM, et al. Size of the Corpus Callosum in Cerebral Palsy. J Neuroimaging. 1996;6(3):180-183. doi: 10.1111/jon199663180.
- Thompson DK, Inder TE, Faggian N, et al. Characterization of the corpus callosum in very preterm and full-term infants utilizing MRI. Neuroimage. 2011;55(2):479-490. doi: 10.1016/j.neuroimage.2010.12.025.
- Thompson DK, Inder TE, Faggian N, et al. Corpus callosum alterations in very preterm infants: perinatal correlates and 2 year neurodevelopmental outcomes. Neuroimage. 2012;59(4):3571-3581. doi: 10.1016/j.neuroimage.2011.11.057.
- Tkachenko LA, Zykin PA, Nasyrov RA, Krasnoshche kova EI. Distinctive Features of the Human Marginal Zone and Cajal-Retzius Cells: Comparison of Morphological and Immunocytochemical Features at Midgestation. Front Neuroanat. 2016;10:26. doi: 10.3389/fnana.2016.00026.
- Wegiel J, Flory M, Kaczmarski W, et al. Partial Agenesis and Hypoplasia of the Corpus Callosum in Idiopathic Autism. J Neuropathol Exp Neurol. 2017;76(3):225-237. doi: 10.1093/jnen/nlx003.
- Weinstein M, Green D, Geva R, et al. Interhemispheric and intrahemispheric connectivity and manual skills in children with unilateral cerebral palsy. Brain Struct Funct. 2014;219(3):1025-1040. doi: 10.1007/s00429-013-0551-5.
- Witelson SF. Hand and Sex Differences in the Isthmus and Genu of the Human Corpus Callosum. Brain. 1989;112(3):799-835. doi: 10.1093/brain/112.3.799.
- Zanin E, Ranjeva JP, Confort-Gouny S, et al. White matter maturation of normal human fetal brain. An in vivo diffusion tensor tractography study. Brain Behav. 2011;1(2):95-108. doi: 10.1002/brb3.17.
- The Tudor DICOM tools. Available at: http://santec.tudor.lu/project/dicom. (accessed 01.12.2017).
- Зыкин П.А., Ткаченко Л.А., Краснощекова Е.И. Программа автоматической сегментации мозолистого тела и расчета диаг ностического индекса (Callocometry). Свидетельство о государственной регистрации ЭВМ № 2015661246 от 21 октября 2015 г.
- Зыкин П.А., Краснощекова Е.И., Ткаченко Л.А., Ялфимов А.Н. Способ диагностики детского церебрального паралича (ДЦП). Патент на изобретение РФ № 2473311. Доступен по: https://patents.google.com/patent/RU2473311C1/ru (дата обращения 01.12.2017).
Дополнительные файлы








