Quantitative MRI as marker of the effectiveness of steroid treatment in patients with Duchenne muscular dystrophy
- Authors: Suslov V.M.1, Pozdnyakov A.V.1, Ivanov D.O.1, Rudenko D.I.1, Suslova G.A.1, Suslova A.D.1,2
-
Affiliations:
- St. Petersburg State Pediatric Medical University, Ministry of Healthcare of the Russian Federation
- Children’s Center for Reconstructive Medicine and Rehabilitation No 3
- Issue: Vol 10, No 4 (2019)
- Pages: 31-37
- Section: Original studies
- URL: https://bakhtiniada.ru/pediatr/article/view/18549
- DOI: https://doi.org/10.17816/PED10431-37
- ID: 18549
Cite item
Full Text
Abstract
Due to development of new methods for the treatment of Duchenne muscular dystrophy (DMD), aimed at suppressing inflammatory activity in skeletal muscles, there is a necessity for objective instrumental methods for assessing the effectiveness of the therapy. This method could be selective excitation of the water T2 signal.
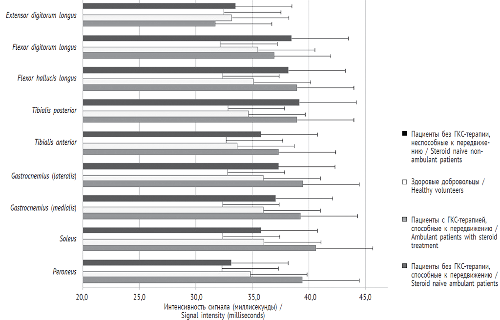
Aim of the study: to determine the possibility of applying the method of selective excitation of water T2 signal as a quantitative biomarker of the effectiveness of steroid treatment in patients with DMD at different stages of the disease. The study involved 34 DMD boys, who were divided into three groups: ambulant patients taking steroid treatment (n = 14), steroid-naive ambulant patients (n = 10), steroid-naive non-ambulant patients (n = 10) and a control group (n = 10). MRI of the pelvic girdle, thighs and lower legs with multi-slice-multi-echo (MSME) sequences has been done for all subjects. Calculation of the water T2 values has been done by the three-exponential method.
Results: There was a significant difference (p < 0.01) between the three study groups, the highest inflammatory activity was determined in the steroid-naive patients and signal intensity was 39.4 ± 1.0 ms for the pelvic girdle muscles, 37.3 ± 1.1 ms for the thighs muscles and 38.1 ± 1.8 ms for the legs muscles. Thus, using of the technique of selectively determination of the signal from water on T2 weighted images can be quantitative biomarker of inflammatory activity and the effectiveness of steroid treatment in patients with Duchenne muscular dystrophy in different stages
Keywords
Full Text
##article.viewOnOriginalSite##About the authors
Vasiliy M. Suslov
St. Petersburg State Pediatric Medical University, Ministry of Healthcare of the Russian Federation
Author for correspondence.
Email: vms.92@mail.ru
Assistant, Department of Rehabilitation
Russian Federation, 2, Litovskay street, Saint-Peterburg, 194100Alexander V. Pozdnyakov
St. Petersburg State Pediatric Medical University, Ministry of Healthcare of the Russian Federation
Email: pozdnyakovalex@yandex.ru
MD, PhD, Dr Med Sci, Professor, Head of the Department of Radiology Diagnostic
Russian Federation, 2, Litovskay street, Saint-Peterburg, 194100Dmitry O. Ivanov
St. Petersburg State Pediatric Medical University, Ministry of Healthcare of the Russian Federation
Email: doivanov@yandex.ru
ORCID iD: 0000-0002-0060-4168
MD, PhD, Dr Med Sci, Professor, Rector
Russian Federation, 2, Litovskay street, Saint-Peterburg, 194100Dmitry I. Rudenko
St. Petersburg State Pediatric Medical University, Ministry of Healthcare of the Russian Federation
Email: dmrud_h2@mail.ru
MD, PhD, Dr Med Sci, Docent, Assistant, Department of Rehabilitation
Russian Federation, 2, Litovskay street, Saint-Peterburg, 194100Galina A. Suslova
St. Petersburg State Pediatric Medical University, Ministry of Healthcare of the Russian Federation
Email: docgas@mail.ru
MD, PhD, Dr Med Sci, Professor, Head of the Department of Rehabilitation
Russian Federation, 2, Litovskay street, Saint-Peterburg, 194100Aleksandra D. Suslova
St. Petersburg State Pediatric Medical University, Ministry of Healthcare of the Russian Federation; Children’s Center for Reconstructive Medicine and Rehabilitation No 3
Email: fifa379@mail.ru
student, Pediatric Faculty, Assistant, Department of Rehabilitation; nurse
Russian Federation, 2, Litovskay street, Saint-Peterburg, 194100; 5, Bryantseva str., Saint-Peterburg, 195269References
- Azzabou N, Loureiro de Sousa P, Caldas E, Carlier PG. Validation of a generic approach to muscle water T2 determination at 3T in fat-infiltrated skeletal muscle. J Magn Reson Imaging. 2015;41(3):645-653. https://doi.org/10.1002/jmri.24613.
- Birnkrant DJ, Bushby K, Bann CM, et al. Diagnosis and management of Duchenne muscular dystrophy, part 1: diagnosis, and neuromuscular, rehabilitation, endocrine, and gastrointestinal and nutritional management. Lancet Neurol. 2018;17(3):251-267. https://doi.org/10.1016/S1474- 4422(18)30024-3.
- Burrow KL, Coovert DD, Klein CJ, et al. Dystrophin expression and somatic reversion in prednisone-treated and untreated Duchenne dystrophy. CIDD Study Group. Neurology. 1991;41(5):661-666. https://doi.org/10.1212/wnl.41.5.661.
- Carlier PG. Global T2 versus water T2 in NMR imaging of fatty infiltrated muscles: different methodology, different information and different implications. Neuromuscul Disord. 2014;24(5):390-392. https://doi.org/10.1016/j.nmd.2014.02.009.
- Carlier PG, Azzabou N, de Sousa PL, et al. Skeletal muscle quantitative nuclear magnetic resonance imaging follow-up of adult Pompe patients. J Inherit Metab Dis. 2015;38(3):565-572. https://doi.org/10.1007/s10545-015-9825-9.
- Carlier PG, Marty B, Scheidegger O, et al. Skeletal Muscle Quantitative Nuclear Magnetic Resonance Imaging and Spectroscopy as an Outcome Measure for Clinical Trials. J Neuromuscul Dis. 2016;3(1):1-28. https://doi.org/10.3233/JND-160145.
- Godi C., Ambrosi A., Nicastro F. Longitudinal MRI quantification of muscle degeneration in Duchenne muscular dystrophy. Ann Clin Transl Neurol. 2016Aug;3(8):607-622. https://doi.org/10.1002/acn3.319.
- Cruz-Guzman Odel R, Rodriguez-Cruz M, Escobar Cedillo RE. Systemic Inflammation in Duchenne Muscular Dystrophy: Association with Muscle Function and Nutritional Status. Biomed Res Int. 2015;2015:891972. https://doi.org/10.1155/2015/891972.
- Deconinck N, Dan B. Pathophysiology of duchenne muscular dystrophy: current hypotheses. Pediatr Neurol. 2007;36(1):1-7. https://doi.org/10.1016/j.pediatrneurol.2006.09.016.
- Emery AE. The muscular dystrophies. Lancet. 2002; 359(9307):687-695. https://doi.org/10.1016/S0140-6736(02)07815-7.
- Giordano C, Mojumdar K, Liang F, et al. Toll-like receptor 4 ablation in mdx mice reveals innate immunity as a therapeutic target in Duchenne muscular dystrophy. Hum Mol Genet. 2015;24(8):2147-2162. https://doi.org/10.1093/hmg/ddu735.
- Hollingsworth KG, de Sousa PL, Straub V, Carlier PG. Towards harmonization of protocols for MRI outcome measures in skeletal muscle studies: consensus recommendations from two TREAT-NMD NMR workshops, 2 May 2010, Stockholm, Sweden, 1-2 October 2009, Paris, France. Neuromuscul Disord. 2012;22 Suppl 2: S54-67. https://doi.org/10.1016/j.nmd.2012.06.005.
- Hollingsworth KG. Quantitative MRI in muscular dystrophy: An indispensable trial endpoint? Neurology. 2014;83(11):956-957. https://doi.org/10.1212/WNL.0000000000000785.
- Mankodi A, Azzabou N, Bulea T, et al. Skeletal muscle water T2 as a biomarker of disease status and exercise effects in patients with Duchenne muscular dystrophy. Neuromuscul Disord. 2017;27(8):705-714. https://doi.org/10.1016/j.nmd.2017.04.008.
- Miyatake S, Shimizu-Motohashi Y, Takeda S, Aoki Y. Anti-inflammatory drugs for Duchenne muscular dystrophy: focus on skeletal muscle-releasing factors. Drug Des Devel Ther. 2016;10:2745-2758. https://doi.org/10.2147/DDDT.S110163.
- Mojumdar K, Liang F, Giordano C, et al. Inflammatory monocytes promote progression of Duchenne muscular dystrophy and can be therapeutically targeted via CCR2. EMBO Mol Med. 2014;6(11):1476-1492. https://doi.org/10.15252/emmm.201403967.
- Muntoni F, Torelli S, Ferlini A. Dystrophin and mutations: one gene, several proteins, multiple phenotypes. Lancet Neurol. 2003;2(12):731-740. https://doi.org/10.1016/s1474-4422(03)00585-4.
- Rosenberg AS, Puig M, Nagaraju K, et al. Immune-mediated pathology in Duchenne muscular dystrophy. Sci Transl Med. 2015;7(299):299rv294. https://doi.org/10.1126/scitranslmed.aaa7322.
- Strober JB. Therapeutics in duchenne muscular dystrophy. NeuroRx. 2006;3(2):225-234. https://doi.org/10.1016/j.nurx.2006.01.005.
- Sussman M. Duchenne muscular dystrophy. J Am Acad Orthop Surg. 2002;10(2):138-151.
- Villalta SA, Nguyen HX, Deng B, et al. Shifts in macrophage phenotypes and macrophage competition for arginine metabolism affect the severity of muscle pathology in muscular dystrophy. Hum Mol Genet. 2009;18(3):482-496. https://doi.org/10.1093/hmg/ddn376.
Supplementary files





