Cardiopulmonary resuscitation of neonate at delivery room
- Authors: Aleksandrovich Y.S.1, Ivanov D.O.1, Pshenisnov K.V.1
-
Affiliations:
- St. Petersburg State Pediatric Medical University, Ministry of Healthcare of the Russian Federation
- Issue: Vol 10, No 4 (2019)
- Pages: 5-16
- Section: Editorial
- URL: https://bakhtiniada.ru/pediatr/article/view/18543
- DOI: https://doi.org/10.17816/PED1045-16
- ID: 18543
Cite item
Abstract
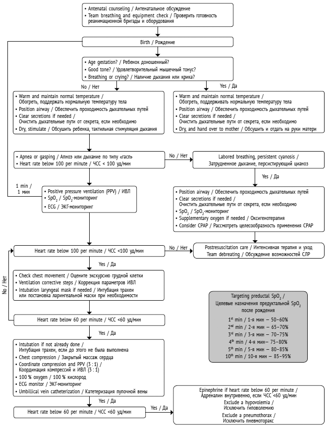
Improving the cardiopulmonary resuscitation quality in the delivery room is one of the most pressing issues in modern neonatology. Despite the fact that in recent years the number of surviving infants with low and extremely low birth weight has been steadily increasing, the nursing outcome is not enough favourable with unsatisfying quality of life. The cardiopulmonary resuscitation protocols have been regularly updated and upgraded (every five years in the last twenty years). This helps to improve resuscitation outcome. In 2015 the American Heart Association and the European Resuscitation Council issued the new edition of the guidelines on basic and advanced cardiopulmonary resuscitation in children, including infants. The guidelines are believed to improve the quality of resuscitation care in the delivery room and to contribute to a better neurological outcome.
Full Text
##article.viewOnOriginalSite##About the authors
Yuri S. Aleksandrovich
St. Petersburg State Pediatric Medical University, Ministry of Healthcare of the Russian Federation
Author for correspondence.
Email: Jalex1963@mail.ru
MD, PhD, Dr Med Sci, Professor, Head, Department of Anesthesiology, Resuscitation and Emergency Pediatrics, Faculty of Postgraduate Education
Russian Federation, 2, Litovskay street, Saint-Peterburg, 194100Dmitry O. Ivanov
St. Petersburg State Pediatric Medical University, Ministry of Healthcare of the Russian Federation
Email: doivanov@yandex.ru
ORCID iD: 0000-0002-0060-4168
MD, PhD, Dr Med Sci, Professor, Rector
Russian Federation, 2, Litovskay street, Saint-Peterburg, 194100Konstantin V. Pshenisnov
St. Petersburg State Pediatric Medical University, Ministry of Healthcare of the Russian Federation
Email: Psh_k@mail.ru
ORCID iD: 0000-0003-1113-5296
SPIN-code: 8423-4294
MD, PhD, Associate Professor of Anesthesiology, Intensive Care and Emergency Pediatrics Postgraduate Education
Russian Federation, 2, Litovskay street, Saint-Peterburg, 194100References
- Александрович Ю.С., Пшениснов К.В. Сердечно-легочная реанимация в педиатрической практике: основы и изменения 2015 года // Педиатр. - 2016. – Т. 7. – № 1. – С. 5–15. [Alexandrovich YS, Pshenisnov KV. Modern principles of cardiopulmonary resuscitation in pediatric practice. Pediatrician (St. Peterburg). 2016;7(1):5-15. (In Russ.)]. https://doi.org/10.17816/PED715-15.
- Александрович Ю.С., Пшениснов К.В. Сердечно-легочная реанимация у детей. – СПб.: Издательство СПбГПМУ, 2018. - 208 с. [Aleksandrovich YS, Pshenisnov KV. Serdechno-legochnaya reanimatsiya u detey. Saint Petersburg: Izdatel’stvo SPbGPMU; 2018. 208 p. (In Russ.)]
- Arnon S, Dolfin T, Reichman B, et al. Delivery room resuscitation and adverse outcomes among very low birth weight preterm infants. J Perinatol. 2017;37(9): 1010-16. https://doi.org/10.1038/jp.2017.99.
- Ballot DE, Agaba F, Cooper PA, et al. A review of delivery room resuscitation in very low birth weight infants in a middle income country. Matern Health Neonatol Perinatol. 2017;3:9. https://doi.org/10.1186/s40748-017-0048-y.
- Borrhomée S, Merbouche S, Kern-Duciau N, Boize P. Umbilical vein catheterization through Wharton’s jelly: a possibility for a fast and safe way to deliver treatments in the delivery room? Arch Pediatr. 2019;26(6):381-384. https://doi.org/10.1016/j.arcped.2019.05.004.
- Cho SJ, Shin J, Namgung R. Initial resuscitation at delivery and short term neonatal outcomes in very-low-birth-weight infants. J Korean Med Sci. 2015;30(Suppl 1):S45-S51. https://doi.org/10.3346/jkms.2015.30.S1.S45.
- Finer NN, Horbar JD, Carpenter JH. Cardiopulmonary resuscitation in the very low birth weight infant: the Vermont Oxford Network experience. Pediatrics. 1999;104(3 Pt 1):428-434. https://doi.org/10.1542/peds.104.3.428.
- Kapadia VS, Wyckoff MH. Epinephrine use during newborn resuscitation. Front Pediatr. 2017;5:97. https://doi.org/10.3389/fped.2017.00097.
- Knol R, Brouwer E, Klumper FJCM, van den Akker T, et al. Effectiveness of stabilization of preterm infants with intact umbilical cord using a purpose-built resuscitation table-study protocol for a randomized controlled trial. Front Pediatr. 2019;7:134. https://doi.org/10.3389/fped.2019.00134.
- Lee J, Lee JH. A clinical scoring system to predict the need for extensive resuscitation at birth in very low birth weight infants. BMC Pediatr. 2019;19(1):197. https://doi.org/10.1186/s12887-019-1573-9.
- American Heart Association, American Academy of Pediatrics, et al. Textbook of neonatal resuscitation. Ed. by GM Weiner, J Zaichkin. 7th ed. American Academy of Pediatrics; 2016. 328 p.
- Pejovic NJ, Myrnerts Höök S, Byamugisha J, et al. Neonatal resuscitation using a supraglottic airway device for improved mortality and morbidity outcomes in a low-income country: study protocol for a randomized trial. Trials. 2019;20(1):444. https://doi.org/10.1186/s13063-019-3455-8.
- Stine CN, Koch J, Brown LS, et al. Quantitative end-tidal CO2 can predict increase in heart rate during infant cardiopulmonary resuscitation. Heliyon. 2019;5(6):e01871. https://doi.org/10.1016/j.heliyon.2019.e01871.
- Wyckoff MH, Aziz K, Escobedo MB, et al. Part 13: neonatal resuscitation: 2015 American Heart Association guidelines update for cardiopulmonary resuscitation and emergency cardiovascular care. Circulation. 2015;132(Suppl 2):S543-S560. https://doi.org/10.1161/CIR.0000000000000267.
- Wylliea J, Bruinenbergb J, Roehr СС, et al. European Resuscitation Council Guidelines for Resuscitation 2015 Section 7. Resuscitation and support of transition of babies at birth. Resuscitation. 2015;95:249-263. https://doi.org/ 10.1016/j.resuscitation.2015.07.029.
Supplementary files





