Усиление электромагнитного излучения молекул в пластиковых микросферах с серебряной шляпкой
- Авторы: Сарычев A.K.1, Иванов А.В.1, Быков И.В.1, Басманов Д.В.2, Прусаков К.А.2, Мочалов К.Е.3,4
-
Учреждения:
- Институт теоретической и прикладной электродинамики РАН
- ФГБУ ФНКЦ ФХМ им. Ю.М. Лопухина ФМБА России
- Институт биоорганической химии им. академиков М.М. Шемякина и Ю.А. Овчинникова РАН
- РУДН
- Выпуск: № 6 (2024)
- Страницы: 28-35
- Раздел: Взаимодействие электромагнитного поля с материалами
- URL: https://bakhtiniada.ru/2949-0553/article/view/277687
- DOI: https://doi.org/10.24412/2949-0553-2024-614-28-35
- EDN: https://elibrary.ru/NSCPUZ
- ID: 277687
Цитировать
Полный текст
Аннотация
Изучается электродинамическая дипольная модель излучения молекул, помещенных в различные металлические оболочки. Модель качественно описывает вторичное излучение от сферических диэлектрических микрочастиц, покрытых серебряными нанослоями—«шляпками» различной формы. Серебряные наношляпки работают как плазмонные наноантенны и дают усиление сигнала гигантского комбинационного рассеяния (ГКР). Рассчитано изменение плотности потока энергии, излучаемой диполем, в зависимости от толщины нанослоя серебра поверх микрочастиц полистирола. Показано, что толщина и форма серебряных наношляпок существенно влияют на резонансные характеристики микрочастиц.
Ключевые слова
Полный текст
1. Введение
Гигантское комбинационное рассеяние (ГКР) является перспективным методом для высокочувствительного обнаружения сложных биологических объектов, включая бактерии, вирусы, белки и ферменты [1]. Преимущества оптического ГКР метода исследования определяются его высокой чувствительностью, быстротой, отсутствием реагентов и портативностью.
В зависимости от области практического применения ГКР сенсоры могут быть использованы в медицинской диагностике (Point-of-Care) для мониторинга в режиме реального времени различных биомаркеров, таких как глюкоза и гликированные белки в крови, обеспечивающих специфическую диагностику сахарного диабета, почечной недостаточности, гипотиреоза [2-4]; сердечно-сосудистых маркеров для диагностики острого инфаркта миокарда [5]; маркеров нейродегенеративных заболеваний, таких как болезнь Альцгеймера и Паркинсона [6, 7]; опухолевых маркеров [8]; гормона эстрадиола E2 для клинической диагностики преждевременного полового созревания [9] и других. Одной из основных областей практического использования является высокочувствительное быстрое обнаружение биопатогенов, в частности оспы обезьян и коронавируса SARS-CoV-2 и его штаммов [10]. ГКР метаповерхности можно помещать в жидкости для решения задач охраны окружающей среды и безопасности пищевых продуктов для мониторинга в реальном времени патогенных бактерий, пестицидов и токсичных молекул. Особенно остро стоит проблема пластиковых отходов, которые выбрасываются в окружающую среду, такую как почва и океаны. Остатки пластика могут разлагаться на микропластиковые полимерные частицы размером менее микрона и нанопластиковые частицы размером менее 100 нм. Эти частицы могут попадать в организм, в том числе с пищей, и серьезно влиять на здоровье и качество жизни. ГКР-сенсоры могут помочь обнаружить мелкие частицы микро- и нанопластика [11, 12]. Еще одно перспективное применение — идентификационные защитные метки. ГКР сенсоры можно встраивать в поверхности, подверженные изгибу, для маркировки удостоверений личности и документов, банкнот, бланков строгой отчетности и музейных экспонатов [13].
В работе [10] получены характерные спектры комбинационного рассеяния света и ГКР от рецептор связывающего домена (RBD) гликопротеина SARS-CoV-2. Предложен подход, позволяющий формировать металлодиэлектрические микрополости путем взаимодействия восстановленных тиольных групп S–гликопротеина RBD с поверхностью серебра, что позволяет получать спектры ГКР при концентрациях, достаточно низких для обнаружения антигенов вирусных белков на физиологически значимых уровнях (суб-фемтограммы). Показано, что увеличение добротности резонатора за счет покрытия диэлектрической RBD глобулы серебряной оболочкой толщиной 10 нм обеспечивает дополнительное десятикратное усиление сигнала ГКР.
В данной работе предложен резонатор в виде пластиковых микросфер с серебряной шляпкой. Такие микросферы могут быть эффективными для задач ГКР благодаря возбуждению плазмонных резонансов на поверхности.
2. Электромагнитная дипольная модель излучения молекул
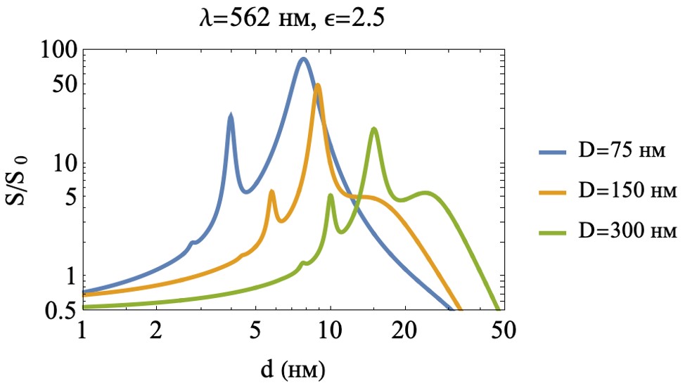
Для расчета усиления излучения от пластиковой микросферы в металлической оболочке воспользуемся простой моделью, в которой излучающий электрический диполь помещен внутри диэлектрической сферы радиуса 300 нм с показателем преломления 1.58 (соответствует показателю преломления полистирола [14]), которая расположена на гладком оптически непрозрачном слое серебра и покрыта серебряной наношляпкой. Поскольку процесс комбинационного рассеяния является некогерентным, мы можем рассматривать только один диполь в оболочке. Расстояние от диполя до серебряной оболочки выбрано 1 нм. Электрические поля колеблющегося электрического точечного диполя в металлической оболочке были получены в программе COMSOL, которая решает полную систему уравнений Максвелла методом конечных элементов. Компоненты электрических полей рассчитывались с металлической оболочкой и без нее, соответственно, во всей области моделирования. Идеально согласованные слои (PML) использовались для моделирования бесконечных областей. Рассчитано усиление плотности потока энергии электромагнитного поля S, излучаемого диполем, расположенным вблизи сферической серебряной оболочки на расстоянии 1 нм от ее внутренней поверхности, по отношению к плотности потока энергии электромагнитного поля , излучаемого диполем в вакууме. Усиление излучения в зависимости от толщины серебряной оболочки d при фиксированной длине волны 562 нм показано на Рис. 1, Рис. 2. Рассмотрен случай, когда диэлектрическая сфера касается гладкой оптически не прозрачной поверхности серебра (Рис. 3, Рис. 4.), а также случай, когда оболочка частично покрывает сферу и имеет форму “шляпки” — занимает половину ее площади (Рис. 5, Рис. 6.) и четверть площади (Рис. 7, Рис. 8).
Рис. 1. Усиление излучения S/S0 диполя, расположенного в верхней части серебряной оболочки на расстоянии 1 нм от оболочки в зависимости от толщины серебряной оболочки d для различных радиусов сферы: 75 нм (синяя кривая), 150 нм (оранжевая кривая), 300 нм (зеленая кривая)
Рис. 2. Усиление излучения S/S0 диполя, расположенного в верхней части серебряной оболочки на расстоянии 1 нм от оболочки при резонансной толщине оболочки: (а) 24 нм; (б) 15 нм; (в) 10 нм
Рис. 3. Усиление излучения S/S0 диполя, расположенного в верхней части серебряной оболочки на расстоянии 1 нм от оболочки в зависимости от толщины серебра. Сфера касается гладкой поверхности серебра
Рис. 4. Усиление излучения S/S0 диполя, расположенного в верхней части серебряной оболочки на расстоянии 1 нм от оболочки при резонансной толщине оболочки: (а) 16.5 нм; (б) 10.5 нм; (в) 8.1 нм
Рис. 5. Усиление излучения S/S0 диполя, расположенного в верхней части серебряной шляпки на расстоянии 1 нм от нее в зависимости от толщины серебра. Шляпка покрывает половину площади пластиковой сферы
Рис. 6. Усиление излучения S/S0 диполя, расположенного в верхней части серебряной шляпки на расстоянии 1 нм от нее при резонансной толщине: (а) 17 нм; (б) 8.3 нм; (в) 5.7 нм. Шляпка покрывает половину площади пластиковой сферы
Рис. 7. Усиление излучения S/S0 диполя, расположенного в верхней части серебряной шляпки на расстоянии 1 нм от нее в зависимости от толщины серебра. Шляпка покрывает четверть площади пластиковой сферы
Рис. 8. Усиление излучения S/S0 диполя, расположенного в верхней части серебряной шляпки на расстоянии 1 нм от нее при резонансной толщине шляпки: 6.5 нм. Шляпка покрывает четверть площади пластиковой сферы
Рассчитывалось среднее поверхностное значение S/S0 по нормали к поверхности сферы. Видно, что излучение S/S0 резонансно усиливается при реальной толщине серебра порядка 20 нм. Предполагается, что длина волны 562 нм является длиной волны излучения, т.е. вторичного излучения при стоксовом сдвиге см относительно длины волны накачки 532 нм (зеленый лазер, используемый в спектроскопии КР). Излучение диполя частично отражается металлической оболочкой и возбуждает поверхностные плазмоны. Плазмонное излучение отражается сферой обратно и частично выходит за пределы металлической оболочки. Электрическое поле резонансно возрастает при уменьшении толщины серебра и распространяется по всей поверхности полусферы. Интерес представляет случай, который соответствует реальному эксперименту – когда серебряная оболочка частично покрывает сферу. Изображение пластиковых микросфер диаметром 300 нм и покрытых нанослоем серебра толщиной 20 нм, полученное с помощью сканирующей-электронной микроскопии (СЭМ), представлено на Рис. 9. Для получения изображения микросфер с высоким увеличением использовался растровый электронный микроскоп Zeiss Merlin (Carl Zeiss AG, Германия). Микроскоп оснащен полевым катодом Шоттки и электронной оптикой GEMINI II. Изображения получали при ускоряющем напряжении 2 кВ (EHT), токе зонда 70 пА, увеличении 245 x103 , рабочем расстоянии 2.1 мм, в режиме высокого разрешения колоны и с помощью внутрилинзового детектора электронов.
Рис. 9. Сканирующая электронная микроскопия (СЭМ) пластиковых микросфер диаметром 300 нм, размещенных на гладком серебре и покрытых дополнительным серебром толщиной 20 нм
В этом случае поле сосредоточенно преимущественно в интерфейсе «серебро-пластик». Стоит отметить, что серебряная нанопленка толщиной менее 10 нм, полученная путем электронно-лучевого испарения в вакууме, может иметь островковую структуру, которая содержит кластеры серебра разного размера. В таком случае размер кластеров и расстояние между ними будет определять величину поля, возбуждаемого этими кластерами.
3. Заключение
Выполнено компьютерное моделирование излучения молекул, покрытых металлической наношляпкой. Модель качественно описывает вторичное комбинационное излучение сферических пластиковых частиц, частично покрытых тонкой серебряной пленкой. Модель позволяет рассчитать изменение сигнала ГКР в зависимости от толщины и формы металлического нанослоя поверх сферической диэлектрической частицы. Излучающий молекулярный диполь взаимодействует с металлической наношляпкой и возбуждает поверхностные плазмоны. Плазмонные колебания достигают максимальной величины, когда частота диполя близка к частоте плазмонного резонанса металлической наношляпки, а сам диполь расположен вблизи наношляпки.
Финансирование
Работа выполнена за счёт средств ИТПЭ РАН.
Об авторах
A. K. Сарычев
Институт теоретической и прикладной электродинамики РАН
Автор, ответственный за переписку.
Email: sarychev_andrey@yahoo.com
Россия, Москва
А. В. Иванов
Институт теоретической и прикладной электродинамики РАН
Email: sarychev_andrey@yahoo.com
Россия, Москва
И. В. Быков
Институт теоретической и прикладной электродинамики РАН
Email: sarychev_andrey@yahoo.com
Россия, Москва
Д. В. Басманов
ФГБУ ФНКЦ ФХМ им. Ю.М. Лопухина ФМБА России
Email: sarychev_andrey@yahoo.com
Россия, Москва
К. А. Прусаков
ФГБУ ФНКЦ ФХМ им. Ю.М. Лопухина ФМБА России
Email: sarychev_andrey@yahoo.com
Россия, Москва
К. Е. Мочалов
Институт биоорганической химии им. академиков М.М. Шемякина и Ю.А. Овчинникова РАН; РУДН
Email: sarychev_andrey@yahoo.com
Россия, Москва; Москва
Список литературы
- Kurochkin I.N., Eremenko A.V., Evtushenko E.G., Nechaeva N.L., Durmanov N.N., Guliev R.R., Ryzhikov I.A., Boginskaya I.A., Sarychev A.K., Ivanov A.V., Lagarkov A.N. SERS for Bacteria, Viruses, and Protein Biosensing. Macro, Micro, and Nano-Biosensors: Potential Applications and Possible Limitations., 2021. P. 75 – 94.
- Sun X. Glucose detection through surface-enhanced Raman spectroscopy: A review. Anal. Chim. Acta, 2022. V.1206. P. 339226.
- Dingari N.C., Horowitz G.L., Kang J.W., Dasari R.R., Barman I. Raman spectroscopy provides a powerful diagnostic tool for accurate determination of albumin glycation. PLOS ONE, 2012. V.7. P. e32406.
- Lin J., Lin J., Huang Z., Lu P., Wang J., Wang X., Chen R. Raman spectroscopy of human hemoglobin for diabetes detection. J. Innov. Opt. Health Sci., 2014. V.7. P. 1350051.
- Naz M., Shafique H., Majeed M.I., Nawaz H., Rashid N., Alshammari A., Albekairi N.A., Amber A., Zohaib M., Shahid U., Zafar F., Ali M., Shahid H. Surface-enhanced Raman spectroscopy (SERS) for the diagnosis of acute myocardial infarction (AMI) using blood serum samples. RSC Adv., 2024. V.14. P. 29151.
- Kim M., Huh S., Park H.J., Cho S.H., Lee M.Y., Jo S., Jung Y.S. Surface-functionalized SERS platform for deep learning-assisted diagnosis of Alzheimer’s disease. Biosens. Bioelectron., 2024. V. 251. P. 116128.
- Ge S., Chen G., Deng J., Gu Y., Mao Y., Zhou X., Li G., Multiplex signal amplification strategy-based early-stage diagnosis of Parkinson’s disease on a SERS-enabled LoC system. Anal. Chim. Acta., 2023. V. 1247. P. 340890.
- Kneipp J., Interrogating cells, tissues, and live animals with new generations of surface-enhanced Raman scattering probes and labels. ACS Nano., 2017. V. 11. P. 1136.
- Wang R., Chon H., Lee S., Cheng Z., Hong S.H., Yoon Y.H., Choo J., Highly sensitive detection of hormone estradiol E2 using surface-enhanced Raman scattering based immunoassays for the clinical diagnosis of precocious puberty. ACS Appl. Mater. Interfaces., 2016. V. 8. P. 10665.
- Sarychev A.K., Sukhanova A., Ivanov A.V., Bykov I.V., Bakholdin N.V., Vasin D.V., Gushchin. V.A., Tkachuk A.P., Nifontova G, Samokhvalov P.S., Karaulov A., Nabiev I., Label-free detection of the receptor-binding domain of the SARS-CoV-2 spike glycoprotein at physiologically relevant concentrations using surface-enhanced Raman spectroscopy. Biosensors, 2022. V. 12. P. 300.
- Mikac L., Rigó I., Himics L., Tolić A., Ivanda M., Veres M., Surface-enhanced Raman spectroscopy for the detection of microplastics. Appl. Surf. Sci., 2023. V. 608. P. 155239.
- Dey T., Microplastic pollutant detection by Surface Enhanced Raman Spectroscopy (SERS): a mini-review. Nanotechnol. Environ. Eng., 2023. V. 8. P. 41.
- Gubarev A.P., Shalygin A.N., Sarychev A.K., Ivanov A.V., Bykov I.V., Kuznetsov A.S., Odinokov S.B., Smyk A.F., Using molecular marking in security holograms. J. Opt. Technol., 2022. V. 89. P. 155.
- Sultanova N., Kasarova S., Nikolov I., Dispersion properties of optical polymers. Acta Physica Polonica A, 2009. V. 116. P. 585.
Дополнительные файлы











