Effect of shungite plate thickness on its electrophysical properties: technological and geophysical aspects
- Autores: Golubev Y.A.1, Antonets I.V.2
-
Afiliações:
- Komi SC UB RAS
- Pitirim Sorokin Syktyvkar State University
- Edição: Nº 10 (2024)
- Páginas: 40-45
- Seção: Scientific articles
- URL: https://bakhtiniada.ru/2712-7761/article/view/274676
- DOI: https://doi.org/10.19110/geov.2024.10.5
- ID: 274676
Citar
Texto integral
Resumo
This brief report presents the results of our study of the effect of shungite sample thickness (both shungite rocks and vein forms comparable to higher anthraxolites) on their electrophysical properties. The study was conducted by measuring impedance in the frequency range of 0.05–15 MHz. Shungite samples with a carbon content of 96, 95, 73, and 38 at. % and a thickness ranging from 5 mm to 12–15 μm were studied. A significant increase in resistance was found with a decrease in sample thickness to 100 μm or less. In this case, the inductive resistance typical of shungite macrosamples changes to capacitive resistance or only active resistance appears. Thus, it is shown that not only the total content, but also the form and dimensionality of the occurrence of such carbon affects the electrophysical properties of the rock. The obtained results can be used to interpret electrical exploration data of rocks containing disordered carbon (shungites, anthraxolites) in vein and lenticular form, and also to show new prospects for the use of such carbon in the development of functional materials.
Palavras-chave
Texto integral
Введение
Природные формы sp2 гибридизированного углерода имеют разную структурную упорядоченность — от близкого к идеальному представлению графита до турбостратного графитоподобного стеклоуглерода, и при этом имеют хорошую проводимость (~ 102–104 См/м) вне зависимости от их структурной упорядоченности (Golubev, Antonets, 2022). Это свойство достаточно широко используется в геофизических исследованиях, а также определяет перспективность применения природных углеродсодержащих веществ в современных технологиях (Vieira, 2022).
Фазовый и минеральный состав, текстурно-структурное строение являются ключевыми факторами, определяющими величину и тип электрического сопротивления горной породы (Пархоменко, 1965; Ерофеев, 1994). Эти параметры являются основными при интерпретации результатов электроразведочных методов, таких как метод сопротивления, радиопросвечивание, скважинная разведка, для дифференциации пород. Электропроводность позволяет наиболее контрастно дифференцировать горные породы и используется как главный параметр в большинстве методов электроразведки (Семенов, 1968; Якубовский, 1980). Присутствие углерода в форме графита разной степени упорядоченности существенно снижает сопротивление многих горных пород, в частности гнейсов, песчаников и сланцев (Гречухин, 1980; Kulikov et al., 2021). Высокая проводимость углеродистого вещества как с графитовой структурой, так и с разупорядоченной графитоподобной делает существенным влияние таких включений даже в малой их концентрации на электрофизические характеристики горных пород, особенно имеющих низкую собственную проводимость. Например, показано влияние текстурно-структурного строения шунгитовых пород на их электропроводность и, соответственно, на результаты геофизических измерений, а также на радиофизические свойства (Зайцев, Ковалевский, 2005; Голубев, Антонец, 2017).
При этом шунгитовый углерод со структурной точки зрения характеризуется как разупорядоченный графитоподобный углерод, а жильные его формы сопоставимы с широко распространенными в земной коре антраксолитами (только на территории России это, например, антраксолиты Кольского п-ова, Полярного и Приполярного Урала, Новой Земли, многочисленных проявлений в Сибири (Филиппов, 2013)), имеющих схожую структуру углерода и хорошие проводящие свойства. Некоторые авторы (В. А. Успенский, В. Ф. Пеньков, М. М. Филиппов) рассматривают высокоуглеродистый шунгит как высший антраксолит. Антраксолиты часто заполняют трещины и стилолитовые швы в породах, формируя как моно-, так и полиминеральные жилы, при этом их размеры распределяются в широком диапазоне — от десятков сантиметров до единиц и долей микрометра (Филиппов, 2013). Вместе с тем антраксолиты часто связаны с проявлениями нефти, что придает дополнительную актуальность проблеме оценки электрофизических свойств таких веществ. Кроме того, электропроводностью обладают и антрациты, залегающие пластами разной мощности.
Если о влиянии толщины слоя графита, вплоть до его моноатомного слоя (графена), на электрофизические свойства имеется многочисленная теоретическая и экспериментальная информация, количество которой лавинообразно растет после осуществления возможности изучения графена (Novoselov et al., 2004; Морозов и др., 2008), то о влиянии толщины слоя на проводящие свойства разупорядоченного углерода данные практически отсутствуют. В настоящее время шунгиты вызывают большой материаловедческий интерес в связи с высоким потенциалом применения углеродных материалов в различных технологических процессах при создании экранирующих материалов, аккумуляторов, суперконденсаторов, электрохимических и термических датчиков (Kovalevski, 2008; Chou et al., 2018; Vieira. 2022; Golubev, Antonets, 2022). Наполнители из разных форм углерода (графен, нанотрубки, фуллерены) используются в композитных материалах, причем многие приложения требуют малой (вплоть до микрометров) толщины таких материалов (Chung, 2001; 2012; Thomassin et al., 2013; Gupta, Tai, 2019). Шунгитовый углерод в многочисленных работах использовался как проводящий наполнитель для создания экранирующих материалов на основе полимеров либо как спрессованный порошок. Электрофизические свойства шунгитовых пород изучались на макрообразцах или образцах из спрессованного шунгитового порошка (Berezkin, et al., 1997; Kovalevski, et al., 2005; Lyn’kov, et al., 2009; Golubev, 2013; Emelyanov, et al., 2013; Moshnikov, Kovalevski, 2016). В работах (Golubev et al., 2019; Antonets et al., 2021) была описана интересная особенность экранирования шунгитовыми породами: изготовленные из них пластинки толщиной от миллиметра до 100 микрометров отражают почти 100 % падающего СВЧ-излучения. При уменьшении толщины пластинок до 10–20 мкм для образцов с содержанием углерода > 55 % отражение остается практически стопроцентным, а вот для среднеуглеродистых шунгитов (17–55 %) отражение резко уменьшается с поглощением около половины падающего излучения. Такая критичная зависимость СВЧ-свойств шунгита от толщины пластины привлекла внимание, и в данной работе нами было проведено изучение импеданса пластин шунгитов в зависимости от толщины. Выбранный диапазон частот (0.05–15 МГц) используется как в разных геофизических приложениях, вроде скважинной радиоразведки (Dai et al., 2020), так и для шахтной радиосвязи, в частности в угольных шахтах. Образец для анализа влияния толщины пластины на импеданс и проводимость был выбран в диапазоне резкого уменьшения отражения СВЧ-излучения (17–55 %). Дополнительно изучены высокоуглеродистые образцы шунгитов (высшие антраксолиты). Целью данного сообщения является выявление связи электрофизических свойств шунгитов (как маркерных представителей природных разупорядоченных углеродистых веществ высокой степени метаморфизма) с толщиной образцов, а также с содержанием углерода и микроструктурными характеристиками для шунгитовых пород.
Материалы и методы
Пластины шунгита размером 2.5×1.5 см и толщиной 2–3 мм были вырезаны из цельных кусков породы. Они приклеивались канадским бальзамом на стандартное лабораторное стекло толщиной 2.5 мм и шлифовались до нужной толщины. Из шунгитовой породы Зажогинского месторождения были изготовлены тонкие пластины толщиной 800, 500, 300 и 100 мкм, а из высокоуглеродистых шунгитов Нигозерского и Шуньгского месторождений — ультратонкие пластинки толщиной 10–15 мкм. Ключевые характеристики образцов приведены в таблице 1.
Таблица 1. Образец, месторождение, толщина пластины, содержание углерода С и проводимость σ массивных (толщиной 5 мм) пластин
Table 1. Sample, deposit, plate thickness, carbon content C and conductivity σ of massive (5 mm thick) plates
Код образца Sample code | Месторождение Deposit | Толщина, мкм Thickness, mcm | C, ат. % | σ (См/м) σ (Сm/m) |
ShSh1 ShSh2 ShN1 ShZ3-8 ShZ3-5 ShZ3-3 ShZ3-1 | Шуньга / Shunga Шуньга / Shunga Нигозеро / Nigozero Зажогино / Zazhogino Зажогино / Zazhogino Зажогино / Zazhogino Зажогино / Zazhogino | 12 ± 2 15 ± 2 12 ± 2 800 ± 10 500 ± 10 300 ± 10 100 ± 5 | 95 73 96 38 38 38 38 | 4000–6000 2000–4000 1500 1000–2000 – // – – // – – // – |
Примечание. Измерение полного сопротивления осуществлялось при помощи измерителя иммитанса Е7-29 по методике, изложенной в работе (Golubev et al., 2024) в диапазоне частот 0.05–15 МГц.
Note. The total resistance was measured by E7-29 immittance meter using the method described in (Golubev et al., 2024) in the frequency range of 0.05–15 MHz.
Остатки породы, из которых были изготовлены пластины, измельчали и использовали для определения содержания углерода с помощью экспресс-анализатора AN-7529M автоматическим кулонометрическим титрованием по значению pH.
Микроструктуру изучали с помощью сканирующего электронного микроскопа (СЭМ) Tescan MIRA3. Для исследования элементного состава использовали рентгеновскую энергодисперсионную спектрометрию (ЭДС) с использованием программного обеспечения AZTEC (Oxford Instruments). Микрозонд работал при токе эмиссии 100 мкА, токе образца 100 пА, ускоряющем потенциале 20 кВ и размере пятна для элементного анализа диаметром 100 нм.
Результаты
На рис. 1 приведены частотные зависимости полного сопротивления (импеданса) Z образцов Зажогинского месторождения ShZ3, имеющих разную толщину. Импеданс включает в себя сумму активного (омического) сопротивления R, которое, как правило, не зависит от частоты переменного тока, и реактивного сопротивления, которое зависит от частоты тока. Реактивное сопротивление складывается из ёмкостного, связанного с ёмкостью C и уменьшающегося с ростом частоты тока, и индуктивного, определяемого индуктивностью L и увеличивающегося с ростом частоты тока.
Рис. 1. Зависимость импеданса от толщины образцов шунгита ShZ3
Fig. 1. Dependence of impedance on sample thickness for ShZ3 shungites
Эти два типа реактивного сопротивления возникают при наличии в цепи переменного тока конденсаторов (ёмкостное) и катушек индуктивности (индуктивное). Конденсатор в цепи переменного тока попеременно заряжается и разряжается, то есть обеспечивает движение заряда и протекание тока. Причем чем выше частота тока, тем быстрее происходят циклы «заряд — разряд» и тем меньше ёмкостное сопротивление. Индуктивность характеризует магнитные свойства электрической цепи, вызывающие появление магнитного поля в токопроводящем контуре и препятствующие протеканию в нем переменного тока под действием электродвижущей силы самоиндукции, что сопровождается появлением дополнительного сопротивления (индуктивного).
Для возникновения индуктивности достаточно замкнутого либо даже разомкнутого контура из витой изолированной проволоки, причем даже одного витка для малой индуктивности. Индуктивность также может возникать в системе из параллельно расположенных проволок, расстояние между которыми больше их диаметра. В шунгитовом углероде (а в общем — в разупорядоченном углероде) роль таких проволок могут играть ленты из графеновых слоев протяженностью несколько десятков (возможно и сотен) нанометров и шириной до десяти нанометров (Golubev, Antonets, 2022; Golubev et al., 2024). Эти ленты содержат от трех до десяти искривлённых графеновых слоев и часто переплетаются между собой, а также разделяются на две или три изолированные ленты.
Результаты показывают, что при уменьшении толщины шунгитовых пластин происходит значительное увеличение импеданса. Если при толщине 500 и 800 мкм вид частотной зависимости (пологий участок в диапазоне частот 0.1–2 МГц со значительным подъемом при дальнейшем росте частоты) и значение импеданса (~ 0.7 Ом) практически одинаковы, то при уменьшении толщины пластины до 300 мкм величина импеданса на пологом участке растет в 3–4 раза, а загиб становится едва заметным и смещается в сторону больших частот (около 10 МГц по сравнению с 2–3 МГц для образцов ShZ3_5 и ShZ3_8). При толщине пластины 100 мкм величина импеданса еще больше растет (до 3.3 Ом), а зависимость становится прямолинейной во всем измеренном диапазоне частот.
Наиболее наглядно изменение типа и величины сопротивления при утонении образцов можно показать на примере высокоуглеродистых шунгитов с содержанием углерода около 95 % (рис. 2). Если частотные зависимости импеданса для макрообразцов являются характерными для индуктивного типа сопротивления, то эти же образцы в ультратонких пластинках показывают отсутствие частотной зависимости импеданса (образец ShN1) либо слабовыраженное присутствие емкостного типа сопротивления (образец ShSh1).
Рис. 2. Частотные зависимости импеданса образцов ShSh1 и ShN1 для ультратонких пластинок (толщиной 12 мкм) и макрообразцов (толщиной 5 мм). Для последних образцов зависимости взяты из работы (Golubev et al., 2024)
Fig. 2. Frequency dependences of the impedance of samples ShSh1 and ShN1 for ultra-thin plates (12 μm thick) and macrosamples (5 mm thick). For the latter samples, the dependences are taken from (Golubev et al., 2024)
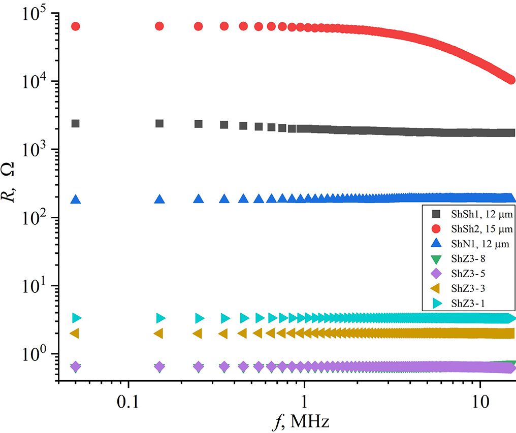
Активное сопротивление образцов имеет существенную зависимость от толщины пластины, что видно на рис. 3. Образцы высокоуглеродистых шунгитов, имеющие при равной толщине образца в несколько раз меньшее сопротивление, чем среднеуглеродистые шунгиты, здесь показывают в разы большее сопротивление ультратонких пластинок.
Рис. 3. Зависимость активного сопротивления образцов шунгитов разной толщины от частоты
Fig. 3. Dependence of active resistance of shungite samples of different thickness on the frequency
Таким образом, в тонких и ультратонких пластинах шунгита (толщиной 12–15 и 100 мкм) происходит смена типа сопротивления. Если в объемных образцах, описанных ранее в статье (Golubev et al., 2024), и исследованных в данной работе пластинах толщиной до 300 микрометров включительно присутствует индуктивный тип сопротивления, то ультратонкие пластинки шунгита показывают присутствие только активного сопротивления в измеренном диапазоне частот (кроме одного образца (ShSh2) с ёмкостным типом сопротивления и с аналогичным слабовыраженным для образца ShSh1).
Обсуждение
Проведенные измерения показывают влияние толщины пластины на две электрофизические характеристики шунгитов. Во-первых, происходит рост сопротивления при уменьшении толщины образца. Начиная с толщины 300 мкм и менее этот рост становится значительным, увеличивая сопротивление на несколько порядков. Во-вторых, происходит смена типа сопротивления. Если для макрообразцов шунгитов характерным является индуктивный тип сопротивления, то при уменьшении толщины пластины шунгита до 100 мкм реактивная составляющая импеданса исчезает и остается только активное сопротивление. Причем небольшой отрицательный наклон частотной зависимости импеданса для ультратонких образцов ShSh1 и ShSh2 свидетельствует о переходе к емкостному типу сопротивления.
Особенности проводимости природного разупорядоченного углерода определяются его многоуровневой структурой. На молекулярном уровне это графеновые слои, частично изогнутые и содержащие дефекты, на надмолекулярном уровне это наноразмерные пачки плоских либо изогнутых графеновых слоев, многослойные протяженные ленты и глобулы, образующие более крупные агрегаты (блоки, цепочки), достигающие микрометровых размеров (Golubev et al., 2024). Дополнительно на электропроводность влияет микропористость.
На молекулярном уровне в разупорядоченном углероде ключевое значение играет его собственная электронная проводимость, обусловленная большим количеством графенсодержащих структур. Процедура приготовления шунгитовых пластинок не сопровождается термическим либо барическим воздействием, достаточным для изменения молекулярной структуры шунгитового углерода, поэтому возможное влияние модификации молекулярной структуры на изменение электрофизических свойств при утонении образцов можно исключить. Также можно исключить и возможность изменения надмолекулярной структуры в нашем эксперименте ввиду отсутствия признаков существенного (выше 60 °С) нагрева приготовляемых образцов.
Значительный рост сопротивления среднеуглеродистых (38 %) пластинок шунгита наиболее вероятно связан с их микроструктурными особенностями. Эти шунгиты представляют собой углерод-минеральные композиты, в которых в матрице из разупорядоченного углерода размещаются микрокристаллы минералов, преимущественно кварца, пирита и алюмосиликатов (рис. 4), со средними размерами от 7 до 12 мкм (Golubev et al., 2019). По отношению к углероду они являются диэлектриками, так как их проводимость на порядки ниже, чем у шунгитового углерода. Разброс размеров у микрокристаллов большой, а концентрация при С < 73 % достаточно высока. В случае ультратонких пластинок (10–15 мкм толщиной) такие микрокристаллы могут перекрывать и всю толщину пластинки, что, учитывая их высокую концентрацию, существенно ограничивает число токопроводящих путей в сравнении с макрообразцами и с пластинами толщиной сотни микрометров.
Рис. 4. Типичный пример распределения в углеродной (красный цвет) матрице шунгита ShZ3 микрокристаллов кварца (зеленый цвет) и алюмосиликатов (синий цвет). Выборочный элементный контраст изображения сканирующей электронной микроскопии
Fig. 4. A typical example of the distribution of quartz microcrystals (green) and aluminosilicates (blue) in the carbon (red) matrix of ShZ3 shungite. Selective elemental contrast of the scanning electron microscopy image
Рост сопротивления у высокоуглеродистых образцов может быть связан с надмолекулярной структурой углерода. В отличие от графита, имеющего слоистую анизотропную структуру, шунгитовый углерод имеет изотропную структуру, в которой распространение тока происходит сложными путями в силу хаотичного распределения наиболее связных, протяженных и, соответственно, наиболее выгодных для протекания тока структурных элементов. Произведенное при утонении критичное уменьшение толщины образца может обрезать значительную часть этих путей, что и снижает проводимость.
Потеря реактивного (индуктивного) сопротивления, вероятнее всего, связана с общим ростом активного сопротивления, при котором вклад индуктивного (реактивного) сопротивления в импеданс теряется на фоне возросшего активного сопротивления. Смена типа сопротивления на емкостное, так же, как и рост общего сопротивления, скорее всего, связана с обрезанием многих путей распространения тока при утонении шунгитовой пластинки, что делает преобладающим протекание тока через менее протяженные (пачечные) структуры, которые в совокупности с порами и примесями некоторых элементов (Si, N, S) в молекулярной форме могут формировать микроконденсаторы (Golubev et al., 2024).
В геологической среде проводящий графитоподобный углерод разной степени упорядоченности (от хорошо кристаллизованного графита до стеклоподобного углерода) слагает как крупные по мощности, иногда достигающие нескольких метров слои и линзы в горных породах, так и достаточно протяженные, но при этом тонкие мили- и микроразмерные жилки. Такие образования могут быть широко развиты в довольно больших по объему геологических телах, насыщая их и оказывая существенное влияние на их электрофизические свойства. Результат данного исследования показывает, что важной характеристикой породы является не только концентрация углерода, но и форма его присутствия. Изученные в работе образцы в виде пластин из шунгита могут быть сопоставлены с шунгитовыми и антраксолитовыми жилками и линзами, а обнаруженная в данной работе зависимость величины и типа сопротивления пластин из шунгита от толщины показывает возможность учета таких особенностей для понимания и коррекции данных электроразведки при изучении содержащих подобные образования горных пород в зависимости от их дисперсности и мощности, а также для оценки возможностей шахтной радиосвязи.
Для решения технических задач материаловедения, связанных прежде всего с потребностями электроники, связи, контроля состояния строительной инфраструктуры, а также с проблемами экстенсивного роста электромагнитного загрязнения, нарушающего работу окружающего электрооборудования и наносящего ущерб человеку, животным и растениям, используются материалы из разупорядоченного углерода шунгитов. Они имеют те же уникальные особенности, что и широко используемые полимерные композиты, содержащие наполнители на основе углерода (например, графита, нановолокон и нанотрубок), — это сочетание электропроводности, полимерной гибкости и малого веса (Golubev et al., 2019; Antonets et al., 2021). Технологические приложения таких материалов относятся прежде всего к электронике (например, возможность изготовления гибких и легких малоразмерных материалов для экранирования в малогабаритных устройствах), связи (для уменьшения веса и габаритов, например, волноводных элементов в антенных СВЧ-устройствах) и строительной инфраструктуре (самоопределение деформации/повреждения строений и фундаментов). Значительное изменение электрофизических свойств при утонении до десятков микрометров открывает новые перспективы для разработки функциональных материалов на основе природного и синтетического разупорядоченного углерода.
Заключение
Изучение зависимости электрофизических свойств шунгитов с разным содержанием углерода (38, 73, 95 и 96 %) от толщины образца показало, что уменьшение толщины до первых сотен микрометров вызывает существенный (до двух порядков) рост активного сопротивления в образцах. В имеющих индуктивный тип сопротивления шунгитах после утонения образца до 100 микрометров реактивное сопротивление перестает вносить вклад в полное сопротивление (импеданс), а для некоторых высокоуглеродистых образцов при толщине 10–15 микрометров происходит переход к ёмкостному типу сопротивления. Такое изменение электрофизических свойств при утонении имеет как материаловедческое значение для технологий разработки новых функциональных материалов на основе разупорядоченного углерода для нужд электроники, связи и строительства, так и геофизическое при интерпретации данных электроразведки углеродсодержащих горных пород.
Работа подготовлена в рамках государственного задания ФГБОУ ВО «СГУ им. Питирима Сорокина» от 17.01.2024 № 075-03-2024-162 по теме «Влияние структуры на статические и динамические электропроводящие свойства разупорядоченного углерода». В работе использовано оборудование ЦКП «Геонаука» ИГ ФИЦ Коми НЦ УрО РАН.
Sobre autores
Ye. Golubev
Komi SC UB RAS
Autor responsável pela correspondência
Email: yevgenygolubev74@mail.ru
Institute of Geology
Rússia, SyktyvkarI. Antonets
Pitirim Sorokin Syktyvkar State University
Email: yevgenygolubev74@mail.ru
Rússia, Syktyvkar
Bibliografia
- Голубев Е. А., Антонец И. В. Влияние некоторых минералого-петрографических особенностей на отражение шунгитовыми породами СВЧ-излучения в диапазоне 26–39 ГГц // Вестник геонаук. 2017. № 5. C. 43–48. Golubev Ye. A., Antonets I. V. Influence of some mineralogical and petrographic features on the reflection of microwave radiation in the range of 26–39 GHz by shungite rocks. Vestnik of Geosciences, 2017, No. 5, pp. 43–48.
- Гречухин В. В. Изучение угленосных формаций электрическими методами. М.: Недра, 1980. 360 с. Grechukhin V. V. Study of coal-bearing formations by electrical methods. Moscow: Nedra, 1980, 360 p. (in Russian)
- Ерофеев Л. Я. Электрические свойства минералов и горных пород. Томск: Изд-во ТПУ, 1994. 54 с. Erofeev L. Ya. Electrical properties of minerals and rocks. Tomsk: TPU Publishing House, 1994, 54 p. (in Russian)
- Зайцев Г. Н., Ковалевский В. В. Влияние структуры и влажности шунгитовых пород на их электрические свойства // Геология и полезные ископаемые Карелии. Петрозаводск: КарНЦ РАН, 2006. Вып. 9. 135–139. Zaitsev G. N., Kovalevsky V. V. Influence of structure and humidity of shungite rocks on their electrical properties. Geology and mineral resources of Karelia. No. 9, Petrozavodsk: Karelian RC of RAS, 2006, pp. 135–139. (in Russian)
- Морозов С. В., Новоселов К. С., Гейм А. К. Электронный транспорт в графене. УФН // 2008. № 178. С. 776–780. Morozov S. V., Novoselov K. S., Geim A. K. Electron transport in graphene. Usp. Fiz. Nauk, 2008, V. 178, pp. 776–780. (in Russian)
- Пархоменко Э. И. Электрические свойства горных пород. М.: Наука, 1965. 164 с. Parkhomenko E. I. Electrical properties of rocks. Moscow: Nauka, 1965, 164 p. (in Russian)
- Семенов А. С. Электроразведка методом естественного электрического поля. М.: Недра, 1968. 380 с. Semenov A. S. Electrical exploration by the method of natural electric field. Moscow: Nedra, 1968, 380 p. (in Russian)
- Филиппов М. М. Антраксолиты. СПб.: ВНИГРИ, 2013. 296 с. Filippov M. M. Anthraxolites, VNIGRI: Saint Petersburg, Russia, 2013. (in Russian).
- Якубовский Ю. В. Электроразведка: Учебник для вузов. 2-е изд., перераб. М., 1980. 384 с. Yakubovsky Yu. V. Electrical prospecting: Textbook for universities. 2nd ed., revised. Moscow, 1980, 384 p. (in Russian)
- Antonets I. V., Golubev Ye. A., Shcheglov V. I., Shiyong Sun Electromagnetic shielding effectiveness of lightweight and flexible ultrathin shungite plates. Current Applied Physics. 2021. Vol. 29. pp. 97–106.
- Berezkin V. I., Kholodkevich S. V., Konstantinov P. P. Hall effect in the natural glassy carbon of shungites. Phys. Solid State. 1997. Vol. 39. pp. 1590–1593.
- Chou N. H., Pierce N., Lei Y., Perea-L´opez N., Fujisawa K., Subramanian S., Robinson J. A., Chen G., Omichi K., Rozhkov S. S., Rozhkova N. N., Terrones M., Harutyunyan A. R. Carbon-rich shungite as a natural resource for efficient Li-ion battery electrodes. Carbon. 2018. Vol. 130. pp. 105–111.
- Chung D. D. L. Electromagnetic interference shielding effectiveness of carbon materials. Carbon. 2001. Vol. 39. pp. 279–285.
- Chung D. D. L. Carbon materials for structural self-sensing, electromagnetic shielding and thermal interfacing. Carbon. 2012. Vol. 50. pp. 3342–3353.
- Dai L.; Hu H.; Jiang J.; Sun W.; Li H.; Wang M.; Vallianatos F.; Saltas V. An Overview of the Experimental Studies on the Electrical Conductivity of Major Minerals in the Upper Mantle and Transition Zone. Materials. 2020. Vol. 13. Pp. 408.
- Golubev E. A. Electrophysical properties and structural features of shungite (natural nanostructured carbon). Phys. Solid State. 2013. Vol. 55. pp. 1078–1086.
- Golubev Ye. A., Antonets I. V. Electrophysical Properties and Structure of Natural Disordered sp2 Carbon. Nanomaterials. 2022. Vol. 12. No. 21. pp. 3797.
- Golubev Ye. A., Antonets I. V., Shcheglov V. I. Static and dynamic conductivity of nanostructured carbonaceous shungite geomaterials. Materials Chemistry and Physics. 2019. Vol. 226. pp. 195–203.
- Golubev Ye. A., Antonets I. V., Korolev R. I., Prikhodko A. S., Borgardt N. I., Shiyong Sun. Characterization of nanostructure of naturally occurring disordered sp2 carbon by impedance spectroscopy. Materials Chemistry and Physics. 2024. Vol. 317. pp. 129–181.
- Gupta S., Tai N.-H. Carbon materials and their composites for electromagnetic interference shielding effectiveness in X-band. Carbon. 2019. Vol. 152. pp. 159–187,
- Emelyanov S., Kuzmenko A., Rodionov V., Dobromyslov M. Mechanisms of Microwave Absorption in carbon compounds from shungite. J. Nano Electron. Phys. 2013. Vol. 5, pp. 04023 (3pp).
- Kovalevski V. V. In: S. V. Krivovichev (eds), Minerals as Advanced Materials I. Springer, Berlin, Heidelberg. 2008.
- Kovalevski V. V., Prikhodko A. V., Buseck P. R. Diamagnetism of natural fullerenelike carbon. Carbon. 2005. Vol. 43. pp. 401–405.
- Kulikov V. A., Yakovlev A. G., Polikarpova V. A. Some problems of electrical geophysical prospecting methods used for exploration of ore deposits. Geodynamics & Tectonophysics. 2021. Vol. 12 (3). pp. 731–747.
- Lyn’kov L. M., Borbot’ko T. V., Krishtopova E. A. Radio-absorbing properties of nickel-containing shungite powder. Tech. Phys. Lett. 2009. Vol. 35. pp. 410–411.
- Moshnikov I. A., Kovalevski V. V. Electrophysical properties of shungites at low temperatures. Nanosyst. Phys. Chem. Math. 2016. Vol. 1. pp. 214–219.
- Novoselov K. S., Geim A. K., Morozov S. V., Jiang D., Zhang Y., Dubonos S.V., Grigorieva I.V., Firsov A.A. Electric Field Effect in Atomically Thin Carbon Films. Science. 2004. Vol. 306. No. 5696. pp. 666–669.
- Thomassin J. M., Jerome C., Pardoen T., Bailly C., Huynen I., Detrembleur C. Polymer/carbon based composites as electromagnetic interference (EMI) shielding materials. Mater. Sci. Eng. R. 2013. Vol. 74. pp. 211–232.
- Vieira L. S. A review on the use of glassy carbon in advanced technological applications. Carbon. 2022. Vol. 186, pp. 282–302.
Arquivos suplementares





