Effect of the solvent nature on the biological activity of gold-containing systems
- Authors: Voronova A.A.1, Naumkin A.V.1, Pereyaslavtsev A.Y.2, Batsalova T.3, Dzhambazov B.3, Vasil’kov A.Y.1
-
Affiliations:
- A.N. Nesmeyanov Institute of Organoelement Compounds, Russian Academy of Sciences
- Dukhov Automatics Research Institute
- Paisii Hilendarski University of Plovdiv
- Issue: Vol 514, No 1 (2024)
- Pages: 72-80
- Section: PHYSICAL CHEMISTRY
- URL: https://bakhtiniada.ru/2686-9535/article/view/256434
- DOI: https://doi.org/10.31857/S2686953524010085
- ID: 256434
Cite item
Full Text
Abstract
Gold nanoparticles were prepared by metal-vapor synthesis using isopropanol, acetone or toluene as dispersion media. The electronic states of the metal and the nature of the sorbed layer on the surface of the nanoparticles were studied. The analysis of photoelectron spectra of the obtained nanoparticles showed that regardless of the synthesis conditions, gold in all samples is in the Au0, Au+ and Au3+ states and a carbon-containing shell is present on all types of metal particles. The study of anticancer activity of nanoparticles in vitro with human cell lines showed the dependence of biological activity on their interaction time of samples obtained in toluene dispersion medium. The metabolic activity of gold nanoparticles obtained in isopropanol or acetone medium decreased in the earliest period of testing.
Full Text
Одной из основных проблем современной химиотерапии рака является биологическое распределение лекарственных соединений в организме, вызывающее токсичность и сильные побочные эффекты. Разработка новых наноразмерных систем адресной доставки лекарств, обладающих избирательностью по отношению к раковым клеткам, является перспективным решением данной задачи [1]. Малый диаметр наночастиц металла позволяет им проникать в раковые клетки при системной доставке, что повышает терапевтический успех лечения [2].
Живые биосистемы благодаря своим ферментам способны перерабатывать биоорганический материал, содержащийся в поверхностном слое наночастиц. В результате обнажается поверхность металла, и под действием активных форм кислорода наночастицы распадаются на более мелкие фрагменты, реакционная способность которых значительно выше, чем у исходных наночастиц, за счет большего вклада поверхностной энергии. В этом случае в непосредственной близости от атакуемых клеток образуются цитотоксические тела, способные эффективно подавлять раковые клетки. Все это стимулирует изучение как состава и структуры образующихся наночастиц, так и функциональных свойств получаемых систем, и взаимосвязи между их свойствами и структурой [2, 3].
В настоящее время наиболее изученными в данной области являются наночастицы золота (Au НЧ), которые представляют собой уникальные объекты, имеющие большой потенциал для применения в области биомедицины и нанотехнологий. Они инертны по отношению к клеткам человека, обладают антибактериальными и противоопухолевыми свойствами [3] и являются перспективными объектами для совершенствования наноносителей лекарственных препаратов для химиотерапии.
Состав поверхности играет ключевую роль в катализе, биологической активности и других свойствах Au НЧ. Значительный вклад поверхностной энергии и чрезвычайно высокая реакционная способность наночастиц золота приводит к сорбции на их поверхности продуктов реакционной среды, в которой они получены, и позволяет модифицировать ее биологически активными молекулами: лекарствами или белками [4–6].
Природа растворителя для синтеза наночастиц золота существенно влияет на их размер, морфологию, структуру и физико-химические свойства [7], и может изменять заряд их поверхности и способность к взаимодействию с другими молекулами. Положительно заряженные Au НЧ эффективно связываются с отрицательно заряженной поверхностью мембраны клетки, усиливая фагоцитоз [8]. Наночастицы золота с отрицательным зарядом проявляют более высокую цитотоксичность, что может быть связано с повышенной степенью их поглощения. Однако и отрицательно, и положительно заряженные Au НЧ безопасны для применения в биомедицине [9–11].
Целью работы был сравнительный анализ биологической активности (антибактериальной и противораковой) наночастиц золота, полученных методом металло-парового синтеза (МПС) с использованием трех органических растворителей различной природы. Изучено влияния природы растворителя на состав углеводородного слоя на поверхности наночастиц металла.
В качестве органической дисперсионной среды при получении органозолей золота использовали три растворителя: изопропанол, ацетон или толуол. Изопропанол и ацетон сушили и перегоняли над цеолитами, а толуол – над натрием в атмосфере очищенного Ar, затем дегазировали в вакууме путем чередования циклов замораживания-размораживания. Для получения наночастиц золота использовался экологически чистый метод МПС [12–14]. Совместную конденсацию паров золота и органического лиганда проводили в статическом реакторе. Путем резистивного нагрева в вакууме 10–4 мм рт. ст. молибденовой лодочки, заполненной кусочками Au (99.99%) получали пары металла. Пары органического реагента и металла совместно конденсировались на стенках реактора, охлаждаемого жидким азотом. После завершения синтеза охлаждение прекращали, конденсат нагревали до комнатной температуры, а полученный органозоль перемещали в атмосфере аргона в сосуд Шленка. Избыток органозоля удаляли, а оставшуюся чернь Au высушивали в вакууме при 80°C. Методом МПС были получены три системы наночастиц золота: Au–изопропанол (AuIs), Au–ацетон (AuAc) и Au–толуол (AuTol).
Морфологию поверхности наночастиц золота изучали методом сканирующей электронной микроскопии (СЭМ) с использованием микроскопа Hitachi TM4000Plus (Япония) при ускоряющем напряжении 15 кВ в режиме вторичных электронов. Энергодисперсионные рентгеновские исследования проводили с использованием спектрометра QUANTAS 75 (Bruker, США).
Au НЧ анализировали методом просвечивающей электронной микроскопии (ПЭМ) с использованием прибора JEOL JEM 2100F/UHR (Япония).
Рентгеновские фотоэлектронные спектры (РФЭС) регистрировали с использованием спектрометров Theta Probe (Thermo Fisher Scientific, Великобритания) и Axis Ultra DLD (Kratos Ltd., Великобритания) с использованием монохроматического излучения AlKα при мощности рентгеновской пушки 150 Вт. Обзорные спектры и спектры высокого разрешения регистрировали при энергиях пропускания 160 и 40 эВ и с размерами шага 1 и 0.1 эВ соответственно. Размер анализируемой области составлял около 300 × 700 мкм. Предварительная калибровка энергетической шкалы спектрометров соответствовала следующим пиковым значениям стандартных образцов (металлическая поверхность, очищенная ионным распылением): Au 4f7/2 – 83.96 эВ, Ag 3d5/2 – 368.21 эВ и Cu 2p3/2 – 932.62 эВ. Для устранения эффекта зарядки образцов использовали нейтрализатор. Учет поверхностной зарядки осуществляли по состоянию С–С/С–Н, выделенному в спектрах C 1ѕ, которому была приписана энергия 285.0 эВ.
Исследование цитотоксичности и потенциальных противоопухолевых эффектов наночастиц Au проводили in vitro с использованием четырех клеточных линий человека: A549 (ATCC CCL-185), выделенная из карциномы легких человека; HeLa (ATCC CCL-2), клеточная линия аденокарциномы шейки матки человека; HT-29 (ATCC HTB-38 HT29), полученная из колоректальной аденокарциномы; FL, выделенная из амниона человека (NBIMCC 94; предоставлена Национальным банком промышленных микроорганизмов и клеточных культур, Болгария), выделенной из амниона человека. Клеточная линия FL служила нераковым контролем. Концентрация анализируемых образцов составляла 200 мкг мл–1. Образцы наночастиц суспендировали в фосфатно-солевом буфере Dulbecco (DPBS) (Merck KGaA, Дармштадт, Германия) в концентрации 5 мг мл–1 и обрабатывали ультразвуком в течение 5 мин. Для достижения тестовых концентраций суспензии наночастиц Au разводили в стандартной культуральной среде. Клетки выращивали в среде, содержащей полученные наночастицы, в течение 24, 48, 72, 96 и 120 ч при стандартных условиях: 37°C, воздушная смесь с 5%-м содержанием CO2; все клеточные линии культивировали в модифицированной среде Dulbecco Eagle’s medium (DMEM) с добавлением 10% фетальной телячьей сыворотки, 100 мкг мл–1 стрептомицина и 100 МЕ пенициллина (Merck KGaA, Дармштадт, Германия). Противоопухолевый препарат митомицин С служил положительным контролем для всех тестов на цитотоксичность.
Рис. 1. Микрофотографии образца AuIs: ПЭМ высокого разрешения (а), электронная дифракционная картина ПЭМ высокого разрешения (б) и СЭМ (в).
Микрофотографии ПЭМ высокого разрешения образца AuIs (рис. 1а) дают представление о форме отдельных наночастиц, кристаллической решетке и позволяют рассчитать ее параметры. Электронная дифракционная картина выбранной области ПЭМ высокого разрешения (рис. 1б) отображает полосы решетки со значениями d-интервала 2.35 и 2.04 Å, которые могут быть отнесены к плоскостям (111) и (200) Au0 соответственно. Это указывает на то, что наночастицы золота имеют гранецентрированную кубическую решетку, и подтверждается данными, полученным методом порошковой рентгеновской дифракции [15]. На микрофотографии СЭМ образца AuIs, полученного после удаления изопропанола, видно, что частицы металла объединяются в агрегаты размером 60–120 нм (рис. 1в).
Рис. 2. СЭМ-изображение морфологии наночастиц AuAc (a) и их элементных отображений: C (б), O (в) и Au (г).
При картировании образца AuAc (рис. 2) зарегистрировано однородное распределение кислородсодержащего углеродного материала на поверхности частиц Au.
Энергодисперсионный рентгеновский спектр, характеризующий элементный состав AuAc, приведен на рис. 3. Наличие большого количества углеродного материала является показателем активной сорбции ацетона и/или его фрагментов на поверхности металла.
Известно, что металлические наночастицы обладают высокой поверхностной энергией, их поверхность не может оставаться чистой, а покрывается слоями окружающей среды. Можно предположить, что высокоактивные наночастицы металлов сорбируют углеводороды. Ранее была показана высокая реакционная способность металлических кластеров, полученных методом МПС, по отношению к углеводородам [16, 17]. Однако присутствие исходных реагентов (ацетон, толуол и др.) в составе органических фрагментов углеводородной оболочки исследователями ранее не зарегистрировано и не описано. Наличие органических фрагментов может свидетельствовать о том, что углеводородный слой на поверхности наночастиц состоит из продуктов деструкции органических реагентов и их последующих превращений при контакте с кислородом воздуха и водой на высокоактивной поверхности наночастиц золота.
Для исследования различных химических/физических форм элементов в приповерхностной области материалов ведущим аналитическим методом является рентгеновская фотоэлектронная спектроскопия с информационной глубиной 5–7 нм. В сравнении со спектрами энергодисперсионного анализа, регистрируемыми на воздухе, спектры РФЭС измеряются в сверхвысоком вакууме и не содержат данных об адсорбированных газообразных продуктах, удаляемых при откачке, что приводит к отличиям в концентрациях элементов, определяемых этими методами.
В обзорных спектрах исследуемых образцов наряду с пиками, соответствующими золоту, присутствуют пики элементов, входящих в состав растворителей. Элементный состав поверхности исследуемых образцов, полученный по результатам обзорных спектров, представлен в табл. 1.
Рис. 3. Энергодисперсионный рентгеновский спектр образца АuAc: C, 56.6 aт. %; О, 43.3 aт. %; Au, 0.1 aт. %.
На рис. 4 показаны спектры С 1s, представленные в виде суммы нескольких гауссовых профилей с использованием химических сдвигов для соответствующих химических групп [18]. Следует отметить, что химические сдвиги для групп C–O/C–O–C и C(O)O идентичны в спектрах всех образцов, однако в образце AuTol отсутствуют группы C=O/O–C–O. Характеристики данных спектров представлены в табл. 2.
Таблица 1. Концентрации элементов на поверхности исследуемых образцов, рассчитанные по обзорным спектрам РФЭС
Образец | Концентрация, ат. % | ||
Au | O | C | |
AuIs | 18.9 | 6.7 | 74.4 |
AuAc | 25.3 | 16.0 | 58.7 |
AuTol | 19.5 | 21.2 | 59.3 |
Характеристики спектров Au 4f (рис. 4г) приведены в табл. 3. Установлено, что золото находится в основном состоянии Au0, но также регистрируется присутствие Au+ и Au3+ [15, 19–21]. Разница в энергиях связи пиков Au 4f7/2 может быть вызвана размерным эффектом: чем меньше размер наночастиц, тем выше энергия связи фотоэлектронного пика, при этом наблюдается его уширение [22]. Формы спектров образцов AuIs, AuAc и AuTol практически идентичны. Отсутствие существенных различий в спектрах образцов может быть обусловлено как идентичностью углеродных фрагментов, сорбированных на поверхности наночастиц, так и нестабильностью этих продуктов, и возможностью протекания процессов восстановления, сопровождающих регистрацию спектров [23, 24].
Рис. 4. Фотоэлектронные спектры C 1s образцов AuIs (а), AuAc (б), AuTol (в) и Au 4f всех исследуемых образцов (г).
Таблица 2. Характеристики фотоэлектронных спектров: энергии связи Есв, полные ширины пика на половине высоты (ПШПВ) и относительные интенсивности (Iотн) фотоэлектронных пиков, принадлежащих различным химическим группам в спектрах C 1s
Образец | Характеристика спектра | Химическая группа | |||
C–C/C–H | C–O/C–O–C | C=O/O–C–O | C(O)O | ||
AuIs | Есв, эВ | 285.0 | 286.5 | 287.7 | 289.2 |
ПШПВ, эВ | 1.38 | 1.38 | 1.38 | 1.47 | |
Iотн, отн. ед. | 0.85 | 0.08 | 0.04 | 0.04 | |
AuAc | Есв, эВ | 285.0 | 286.5 | 287.7 | 289.3 |
ПШПВ, эВ | 1.37 | 1.38 | 1.38 | 1.68 | |
Iотн, отн. ед. | 0.77 | 0.11 | 0.05 | 0.06 | |
AuTol | Есв, эВ | 285.0 | 286.6 | – | 289.3 |
ПШПВ, эВ | 1.71 | 1.71 | – | 1.71 | |
Iотн, отн. ед. | 0.72 | 0.18 | – | 0.1 | |
Были исследованы бактерицидный потенциал синтезированных образцов и их цитотоксичность в отношении клеток человека.
При оценке антибактериальной активности Au HЧ изучена диффузия на агаровых дисках с использованием грамотрицательного штамма Escherichia coli (ATCC 25922) и грамположительного штамма Bacillus cereus (ATCC 11778). Образцы наносили на стерильный диск диаметром 6 мм, который помещали на питательный агар, засеянный бактериями, и инкубировали при 37°С в течение 24 ч. Все образцы анализировали в трех повторностях. Положительным контролем служил буферный раствор объемом 20 мкл, содержащий 20 МЕ пенициллина и 20 мкг стрептомицина.
Таблица 3. Характеристики фотоэлектронных спектров Au 4f
Образец | Au 4f7/2, эВ | Au 4f5/2, эВ | Au 4f5/2–Au 4f7/2, эВ |
AuIs | 84.3 | 88.0 | 3.7 |
AuAc | 84.7 | 88.4 | 3.7 |
AuTol | 84.4 | 88.1 | 3.7 |
Исследование антибактериальной активности (табл. 4) показало слабый бактерицидный эффект наночастиц Au в отношении грамотрицательных бактерий.
Оценка потенциала цитотоксичности наночастиц проведена in vitro двумя методами: MTT-тест (3-(4,5-диметилтиазол-2-ил)-2,4-дифенилтетразолий бромид) и тест на нейтральный красный (НК). МТТ-тест позволяет оценить метаболическую активность митохондрий и жизнеспособность клеток [25]. Тест на НК показывает функциональность лизосом и жизнеспособность клеточной культуры после обработки тест-агентом [26]. При использовании этих тестов для группы клеточных линий, которая включает как раковые, так и нераковые клетки, возможно определение общих цитотоксических эффектов, специфической для органелл токсичности и противоопухолевого потенциала.
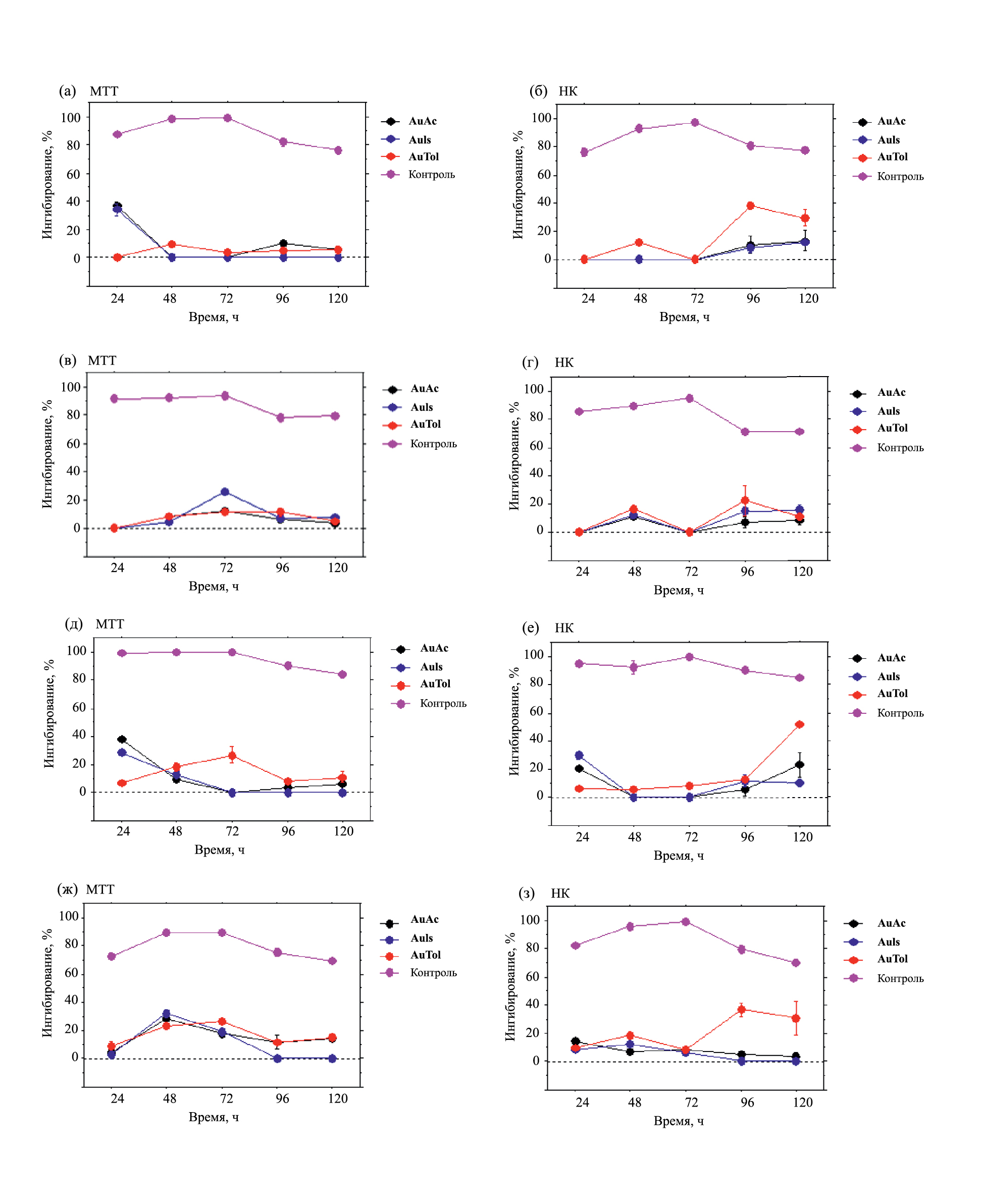
Согласно данным МТТ-теста, метаболическая активность клеток A549 снижается в присутствии AuAc и AuIs в течение 24 ч (рис. 5а). AuTol не оказывал выраженного ингибирующего действия на клеточную метаболическую активность. Несмотря на то, что обработка AuTol не влияла существенно на метаболическую активность A549, ее действие на клетки на уровне лизосом проявилось после достаточного длительного времени инкубации, что было обнаружено с помощью НК-теста – максимальное ингибирование наблюдалось в интервале 96–120 ч (рис. 5б). Для AuIs и AuAc был зарегистрирован слабый ингибирующий эффект только после 72 ч инкубации.
Максимальная ингибирующая активность AuIs для клеток FL зарегистрирована через 72 ч. Для AuAc и AuTol наблюдался плавный рост активности и плавное снижение с максимумами через 72 и 96 ч соответственно (рис. 5в). В целом, обнаруженные при тесте на НК продольные ингибирующие реакции клеток FL при обработке AuTol были слабее по сравнению с линиями раковых клеток (рис. 5г).
Клетки HeLa показали сниженную метаболическую активность при МТТ-тесте при обработке AuAc и AuIs через 24 ч (рис. 5д). В случае AuTol пик ингибирования наблюдался через 72 ч. При проведении теста на НК установлено, что при применении AuTol метаболическая активность клеток снижается при увеличении времени инкубации. Для АuIs продемонстрировано снижение метаболической активности и жизнеспособности клеток через 24 ч, а AuAc – через 24 и 120 ч соответственно (рис. 5е).
Установлено, что для клеток НТ-29 МТТ AuIs индуцирует снижение метаболической активности через 48–72 ч, в то время как AuAc и AuTol демонстрируют стабильное ингибирование с максимумами через 48 и 72 ч соответственно (рис. 5ж). Тест на НК показал, что AuAc снижает жизнеспособность клеток через 24 ч с дальнейшим плавным снижением. Для АuIs был установлен одинаковый процент торможения во всех временных точках (рис. 5з). AuTol больше всего влиял на функциональность лизосом и жизнеспособность клеток HT-29 в интервале 96–120 ч. Эти данные согласуются с данными для ячеек A549. Для HeLa характерна аналогичная тенденция с более сильным ответом через 120 ч.
Таблица 4. Антибактериальная активность наночастиц Au
Образец | Зона ингибирования, мм | |
E. coli | B. cereus | |
AuAc | 10.0 ± 0.4 | 8.48 ± 0.75 |
AuTol | 7.5 ± 0.5 | 6.6 ± 0.1 |
AuIs | 14.5 ± 0.7 | 6.9 ± 0.1 |
Контроль | 25.5 ± 0.7 | 23.8 ± 0.6 |
Рис. 5. Оценка цитотоксичности наночастиц золота in vitro в зависимости от времени инкубирования. Ингибирование клеточной метаболической активности, определенное с помощью МТТ-теста с клетками A549 (a), FL (в), HeLa (д) и HT-29 (ж). Результаты теста на НК для клеток A549 (б), FL (г), HeLa (е) и HT-29 (з). Клетки культивировали в среде, содержащей 200 мкг мл–1 AuIs, AuAc или AuTol в течение 24, 48, 72, 96 и 120 ч. Все образцы были проанализированы трижды.
Таким образом, в данной работе впервые была изучена природа сорбированного слоя на поверхности наночастиц, полученных с использованием трех различных органических растворителей. Наличие химических групп CO/COC и C(O)O было зарегистрировано в спектрах всех образцов, тогда как в образце AuTol группы C=O/O–C–O отсутствовали. Независимо от природы растворителя золото, в основном, находится в состоянии Au0, но также наблюдается присутствие Au+ и Au3+.
Образцы, полученные с использованием трех растворителей разной природы, не продемонстрировали выраженного антибактериального эффекта в отношении грамотрицательных бактерий, но в случае AuIs наблюдается ингибирующий эффект в отношении E. coli.
Впервые in vitro изучена динамика активности наночастиц золота, полученных методом МПС, в зависимости от времени их взаимодействия с клеточными линиями человека. Образец AuTol снижал жизнеспособность линий раковых клеток A549, HeLa и HT-29 после достаточно длительного периода воздействия (96 и 120 ч). Этот эффект был обнаружен при проведении НК-теста, что говорит о специфическом цитотоксическом механизме действия AuTol, направленном на лизосомы. Эти результаты указывают на противоопухолевый эффект, поскольку ингибирование жизнедеятельности нераковых клеток FL было вдвое ниже, по сравнению с линиями раковых клеток. Метаболическая активность клеток A549 и HeLa снижалась через 24 ч после обработки наночастицами AuAc и AuIs, причем эти эффекты не были обнаружены при более длительной инкубации. Ингибирующее действие AuAc и AuIs на клетки HT-29 проявилось в более поздние сроки – 48 и 72 ч соответственно.
Проведенные исследования показали перспективность применения наночастиц золота, обладающих собственной антибактериальной и противоопухолевой активностью. Это может быть использовано для повышения эффективности химиотерапевтических агентов за счет проявления синергетического эффекта при их конъюгации с наночастицами металлов.
БЛАГОДАРНОСТИ
РФЭС-исследования проведены с использованием научного оборудования Центра исследования строения молекул Института элементоорганических соединений РАН им. А.Н. Несмеянова.
ИСТОЧНИКИ ФИНАНСИРОВАНИЯ
Работа выполнена при финансовой поддержке Российского фонда фундаментальных исследований (грант № 20-53-18006) и Национального научного фонда Болгарии проект № КП-06-РУСИЯ/1. РФЭС-Исследования выполнены в рамках Государственного задания №075-03-2023-642 Министерства науки и высшего образования Российской Федерации.
СОБЛЮДЕНИЕ ЭТИЧЕСКИХ СТАНДАРТОВ
В данной работе исследования на человеке или животных не проводились.
КОНФЛИКТ ИНТЕРЕСОВ
Авторы данной работы заявляют об отсутствии конфликта интересов.
About the authors
A. A. Voronova
A.N. Nesmeyanov Institute of Organoelement Compounds, Russian Academy of Sciences
Email: alexandervasilkov@yandex.ru
Russian Federation, 119334 Moscow
A. V. Naumkin
A.N. Nesmeyanov Institute of Organoelement Compounds, Russian Academy of Sciences
Email: alexandervasilkov@yandex.ru
Russian Federation, 119334 Moscow
A. Yu. Pereyaslavtsev
Dukhov Automatics Research Institute
Email: alexandervasilkov@yandex.ru
Russian Federation, 127030 Moscow
T. Batsalova
Paisii Hilendarski University of Plovdiv
Email: alexandervasilkov@yandex.ru
Faculty of Biology
Bulgaria, 4000 PlovdivB. Dzhambazov
Paisii Hilendarski University of Plovdiv
Email: alexandervasilkov@yandex.ru
Faculty of Biology
Bulgaria, 4000 PlovdivA. Yu. Vasil’kov
A.N. Nesmeyanov Institute of Organoelement Compounds, Russian Academy of Sciences
Author for correspondence.
Email: alexandervasilkov@yandex.ru
Russian Federation, 119334 Moscow
References
- Mioc A., Mioc M., Ghiulai R., Voicu M., Racoviceanu R., Trandafirescu C., Dehelean C., Coricovac D., Soica C. // Curr. Med. Chem. 2019. V. 26. № 35. P. 6493–6513. https://doi .org/10.2174/0929867326666190506123721
- Riley R.S., Day E.S. // Wiley Interdiscip. Rev. Nanomed. Nanobiotechnol. 2017. V. 9. № 4. P. e1449. https://doi .org/10.1002/wnan.1449
- Penders J., Stolzoff M., Hickey D.J., Andersson M., Webster T.J. // Int. J. Nanomedicine. 2017. V. 12. P. 2457–2468. https://doi .org/10.2147/IJN.S124442
- Zhang J., Mou L., Jiang X. // Chem. Sci. 2020. V. 11. № 4. P. 923–936. https://doi .org/10.1039/C9SC06497D
- Vigderman L., Zubarev E.R. // Adv. Drug Deliv. Rev. 2013. V. 65. № 5. P. 663–676. https://doi .org/10.1016/j.addr.2012.05.004
- Siddique S., Chow J.C.L. // Appl. Sci. 2020. V. 10. № 11. P. 3824–3844. https://doi .org/10.3390/app10113824
- Voronova A.A., Naumkin A.V., Vasil’kov A.Yu. // INEOS OPEN. 2022. V. 5. № 3. P. 79–84. https://doi .org/10.32931/io2215a
- Wang P., Wang X., Wang L., Hou X., Liu W., Chen C. // Sci. Technol. Adv. Mater. 2015. V. 16. № 3. P. 034610. https://doi .org/10.1088/1468-6996/16/3/034610
- Srijampa S., Buddhisa S., Ngernpimai S., Leelayuwat C., Proungvitaya S., Chompoosor A., Tippayawat P. // Bioconjugate Chem. 2020. V. 31. № 4. P. 1133–1143. https://doi .org/10.1021/acs.bioconjchem.9b00847
- Schaeublin N.M., Braydich-Stolle L.K., Schrand A.M., Miller J.M., Hutchison J., Schlager J.J., Hussain, S.M. // Nanoscale. 2011. V. 3. № 2. P. 410–420. https://doi .org/10.1039/C0NR00478B
- Zhang R., Kiessling F., Lammers T., Pallares R.M. // Drug Deliv. Transl. Res. 2023. V. 13. № 2. P. 378–385. https://doi .org/10.1007/s13346-022-01232-4
- Vasil’kov A., Tseomashko N., Tretyakova A., Abidova A., Butenko I., Pereyaslavtsev A., Arkharova N., Volkov V., Shtykova E. // Coatings. 2023. V. 13. № 8. P. 1315. https://doi .org/10.3390/coatings13081315
- Rubina M.S., Pigaleva M.A., Butenko I.E., Budnikov A.V., Naumkin A.V., Gromovykh T.I., Lutsenko S.V., Vasil’kov A.Yu. // Dokl. Phys. Chem. 2019. V. 488. P. 146–150. https://doi .org/10.1134/S0012501619100026
- Vasil’kov A., Migulin D., Naumkin A., Volkov I., Butenko I., Golub A., Sadykova V., Muzafarov A. // Pharmaceutics. 2023. V. 15. № 3. P. 809. https://doi .org/10.3390/pharmaceutics15030809
- Vasil’kov A., Voronova A., Batsalova T., Moten D., Naumkin A., Shtykova E., Volkov V., Teneva I., Dzhambazov B. // Materials. 2023. V. 16. № 8. P. 3238. https://doi .org/10.3390/ma16083238
- Davis S.C., Klabunde K.J. // J. Am. Chem. Soc. 1978. V. 100. № 18. P. 5973–5974. https://doi .org/10.1021/Ja00486A076
- Davis S.C., Severson S.J., Klabunde K.J. //J. Am. Chem. Soc. 1981. V. 103. № 11. P 3024–3029. https://doi .org/10.1021/Ja00401A019.
- Beamson G., Briggs D. High resolution XPS of Organic Polymers. Chichester, Wiley, 1992. 295 p.
- Casaletto M.P., Longo A., Martorana A., Prestianni A., Venezia A.M. // Surf. Interface Anal. 2006. V. 38. № 4. P. 215–218. https://doi .org/10.1002/sia.2180
- Pireaux J.J., Chtaïb M., Delrue J.P., Thiry P.A., Liehr M., Caudano R. // Surf. Sci. 1984. V. 1. № 141. P. 211–220. https://doi .org/10.1016/0039-6028(84)90206-1
- Pireaux J.J., Liehr M., Thiry P.A., Delrue J.P., Caudano R. // Surf. Sci. 1984. V. 1. № 141. P. 221–232. https://doi .org/10.1016/0039-6028(84)90207-3
- Peters S., Peredkov S., Neeb M., Eberhardt W., Al-Hada M. // Surf. Sci. 2013. V. 608. P. 129–134. https://doi .org/10.1016/j.susc.2012.09.024
- Koslowski B., Boyen H.G., Wilderotter C., Kästle G., Ziemann P., Wahrenberg R., Oelhafen P. // Surf. Sci. 2001. V. 475. №1–3. P. 1–10. https://doi .org/10.1016/S0039-6028(00)00986-9
- Tsai H., Hu E., Perng K., Chen M., Wu J.C., Chang Y.S. // Surf. Sci. 2003. V. 537. № 1–3. P. L447–L450. https://doi .org/10.1016/S0039-6028(03)00640-X
- Xiong P., Huang X., Ye N., Lu Q., Zhang G., Peng S., Wang H., Liu Y. // Adv. Sci. 2022. V. 9. № 16. P. 2106049. https://doi .org/10.1002/advs.202106049
- Repetto G., Del Peso A., Zurita J.L. // Nat. Protoc. 2008. V. 3. № 7. P. 1125–1131. https://doi .org/10.1038/nprot.2008.75
Supplementary files







