A NEW STRATEGY FOR THE SYNTHESIS OF HIGHLY ACTIVE CATALYSTS BASED ON g-C3N4 FOR THE PHOTOCATALYTIC PRODUCTION OF HYDROGEN UNDER VISIBLE LIGHT
- Authors: Potapenko K.O.1, Cherepanova S.V.1, Kozlova E.A.1
-
Affiliations:
- Federal Research Center Boreskov Institute of Catalysis, Siberian Branch of the Russian Academy of Sciences
- Issue: Vol 513, No 1 (2023)
- Pages: 109-118
- Section: PHYSICAL CHEMISTRY
- URL: https://bakhtiniada.ru/2686-9535/article/view/252501
- DOI: https://doi.org/10.31857/S2686953523700243
- EDN: https://elibrary.ru/BJBEXX
- ID: 252501
Cite item
Full Text
Abstract
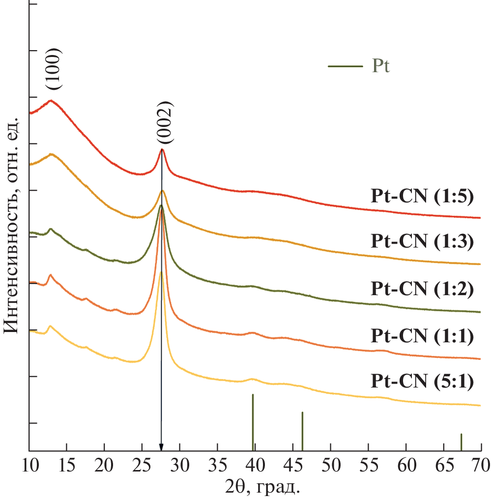
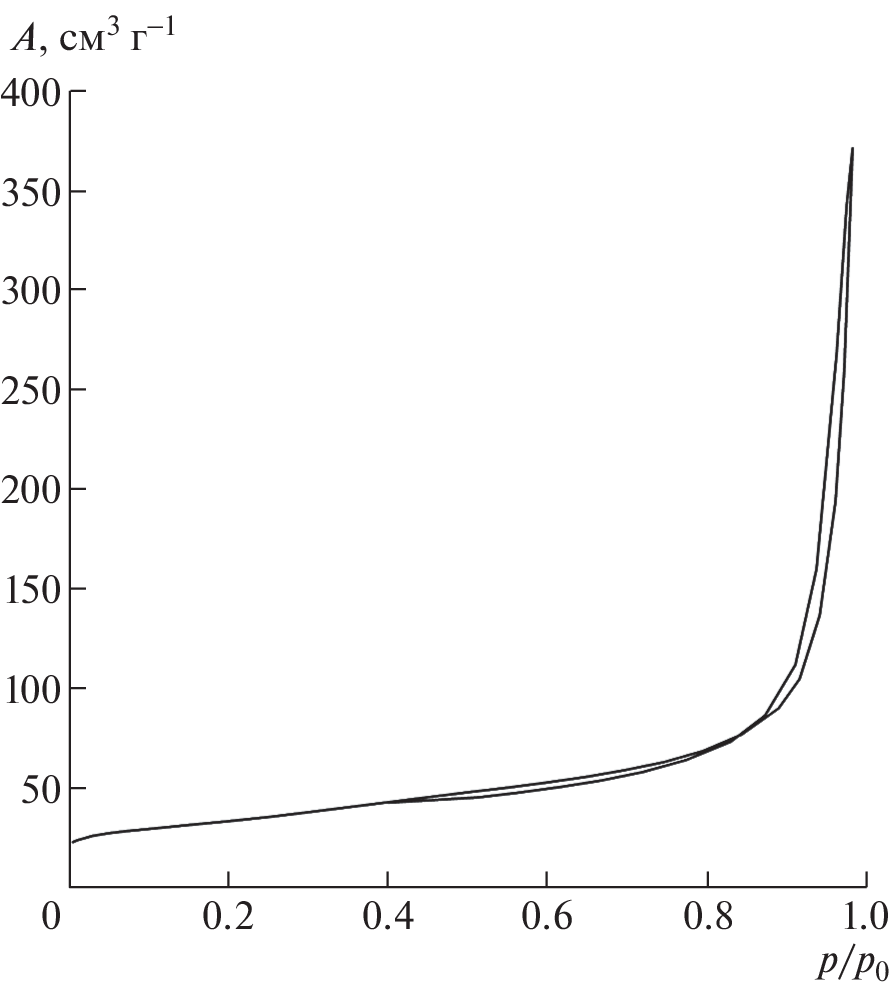
In this work, materials based on graphite-like carbon nitride were synthesized by thermal treatment of a mixture of melamine and urea and the effect of synthesis conditions on the photocatalytic activity of the samples was studied. As a cocatalyst, platinum (1 wt. %) was deposited on the surface of the synthesized g‑C3N4 samples. The photocatalysts were characterized by X-ray phase analysis, diffuse reflectance UV-vis spectro-scopy in the UV and visible range, and low-temperature nitrogen adsorption. Photocatalytic activity was determined in the reaction of hydrogen evolution from an aqueous solution of triethanolamine (10 vol. %) under visible light irradiation (λ = 425 nm). The optimal conditions for the synthesis of the photocatalyst 1% Pt/g-C3N4, obtained by calcination of a mixture of melamine and urea (1 : 3), were found, using which the rate of H2 evolution was 5.0 mmol g–1 h–1 with an apparent quantum efficiency of 2.5%. The developed synthetic approach makes it possible to obtain highly active catalysts due to the formation of an intermediate supramolecular melamine-cyanuric acid complex during the synthesis, which, upon further heating, turns into g-C3N4, which is characterized by a high specific surface area exceeding 100 m2 g–1.
Keywords
About the authors
K. O. Potapenko
Federal Research Center Boreskov Institute of Catalysis, Siberian Branch of the Russian Academy of Sciences
Email: kozlova@catalysis.ru
Russian Federation, 630090, Novosibirsk
S. V. Cherepanova
Federal Research Center Boreskov Institute of Catalysis, Siberian Branch of the Russian Academy of Sciences
Email: kozlova@catalysis.ru
Russian Federation, 630090, Novosibirsk
E. A. Kozlova
Federal Research Center Boreskov Institute of Catalysis, Siberian Branch of the Russian Academy of Sciences
Author for correspondence.
Email: kozlova@catalysis.ru
Russian Federation, 630090, Novosibirsk
References
- Ran J., Zhang J., Yu J., Jaroniec M., Qiao S.Z. // Chem. Soc. Rev. 2014. V. 43. P. 7787–7812. https://doi.org/10.1039/C3CS60425J
- Wu L.Z., Chen B., Li Z.J., Tung C.H. // Acc. Chem. Res. 2014. V. 47. P. 2177–2185. https://doi.org/10.1021/ar500140r
- Zamaraev K.I., Parmon V.N. // Catal. Rev. – Sci. Eng. 1980. V. 22. P. 261–324. https://doi.org/10.1080/03602458008066536
- Acar C., Dincer, I., Naterer G.F. // Int. J. Energy Res. 2016. V. 40. P. 1449–1473. https://doi.org/10.1002/er.3549
- Kozlova E.A., Parmon V.N. // Russ. Chem. Rev. 2017. V. 86. P. 870–906. https://doi.org/10.1070/rcr4739
- Yakushev A.A., Abel A.S., Averin A.D., Beletskaya I.P., Cheprakov A.V., Ziankou I.S., Bonneviot L., Bessmertnykh-Lemeune A. // Coord. Chem. Rev. 2022. V. 458. P. 214331. https://doi.org/10.1016/j.ccr.2021.214331
- Zenkov I.S., Yakushev A.A., Abel A.S., Averin A.D., Bessmertnykh-Lemeune A.G., Beletskaya I.P. // Russ. J. Org. Chem. 2021. V. 57. P. 1398–1404. https://doi.org/10.1134/S1070428021090025
- Morozkov G.V., Abel A.S., Filatov M.A., Nefedov S.E., Roznyatovsky V.A., Cheprakov A.V., Mitrofanov A.Yu., Ziankou I.S., Averin A.D., Beletskaya I.P., Michalak J., Bucher C., Bonneviot L., Bessmertnykh-Lemeune A. // Dalton Trans. 2022. V. 51. P. 13612–13630. https://doi.org/10.1039/D2DT01364A
- Wang X., Chen L., Chong S.Y., Little M.A., Wu Y., Zhu W.H., Clowes R., Yan Y., Zwijnenburg M.A., Sprick R.S., Cooper A.I. // Nature Chem. 2018. V. 10. P. 1180–1189. https://doi.org/10.1038/ s41557-018-0141-5
- Hu Z., Shen Z., Jimmy C.Y. // Green Chem. 2017. V. 19. P. 588–613. https://doi.org/10.1039/C6GC02825J
- Corredor J., Rivero M.J., Rangel C.M., Gloaguen F., Ortiz I. // J. Chem. Technol. Biotechnol. 2019. V. 94. P. 3049–3063. https://doi.org/10.1002/jctb.6123
- Matsumura M., Saho Y., Tsubomura H. // J. Phys. Chem. 1983. V. 87. P. 3807–3808. https://doi.org/10.1021/j100243a005
- Hayat A., Syed J.A.S., Al-Sehemi A.G., El-Nasser K.S., Taha T.A., Al-Ghamdi A.A., Amin M.A., Ajmal Z., Iqbal W., Palamanit A., Medina D.I., Nawawi W.I., Sohail M. // Int. J. Hydrogen Energy. 2022. V. 47. P. 10837–10867. https://doi.org/10.1016/j.ijhydene.2021.11.252
- Zhu B., Cheng B., Fan J., Ho W., Yu J. // Small Struct. 2021. V. 2. P. 2100086. https://doi.org/10.1002/sstr.202100086
- Vasilchenko D., Zhurenok A., Saraev A., Gerasimov E., Cherepanova S., Tkachev S., Plusnin P., Kozlova E. // Chem. Eng. J. 2022. V. 445. P. 136721. https://doi.org/10.1016/j.cej.2022.136721
- Wang X., Maeda K., Thomas A., Takanabe K., Xin G., Carlsson J.M., Domen K., Antonietti M. // Nature Mater. 2009. V. 8. P. 76–80. https://doi.org/10.1038/nmat2317
- Ye S., Wang R., Wu M.Z., Yuan Y.P. // Appl. Surf. Sci. 2015. V. P. 15–27. https://doi.org/10.1016/J.APSUSC.2015.08.173
- Topchiyan P., Vasilchenko D., Tkachev S., Sheven D., Eltsov I., Asanov I., Sidorenko N., Saraev A., Gerasimov E., Kurenkova A., Kozlova E. // ACS Appl. Mater. Interfaces. 2022. V. 14. P. 35600–35612. https://doi.org/10.1021/ACSAMI.2C07485
- Cao S., Low J., Yu J., Jaroniec M. // Adv. Mater. 2015. V. 27. P. 2150–2176. https://doi.org/10.1002/adma.201500033
- Zhong Y., Wang Z., Feng J., Yan S., Zhang H., Li Z., Zou Z. // Appl. Surf. Sci. 2014. V. 295. P. 253–259. https://doi.org/10.1016/J.APSUSC.2014.01.008
- Zhu B., Xia P., Ho W., Yu J. // Appl. Surf. Sci. 2015. V. 344. P. 188–195. https://doi.org/10.1016/J.APSUSC.2015.03.086
- Zhurenok A.V., Vasilchenko D.B., Kozlova E.A. // Int. J. Mol. Sci. 2023. V. 24. P. 346. https://doi.org/10.3390/IJMS24010346
- Han C., Gao Y., Liu S., Ge L., Xiao N., Dai D., Xu B., Chen C. // Int. J. Hydrogen Energy. 2017. V. 42. P. 22765–22775. https://doi.org/10.1016/J.IJHYDENE.2017.07.154
- Tian X., Sun Y.-J., He J.-Y., Wang X.-J., Zhao J., Qiao, S.-Z., Li F.-T. // J. Mater. Chem. A. 2019. V. 7. P. 7628–7635. https://doi.org/10.1039/C9TA00129H
- Niu P., Yin L.C., Yang Y.Q., Liu G., Cheng H.M. // Adv. Mater. 2014. V. 26. P. 8046–8052. https://doi.org/10.1002/ADMA.201404057
- Bian S.W., Ma Z., Song W.G. // J. Phys. Chem. C. 2009. V. 113. P. 8668–8672. https://doi.org/10.1021/JP810630K
- Wang J., Zhang C., Shen Y., Zhou Z., Yu J., Li Y., Wei W., Liu S., Zhang Y. // J. Mater. Chem. A. 2015. V. 3. P. 5126–5131. https://doi.org/10.1039/C4TA06778A
- Zhuang J., Lai W., Xu M., Zhou Q., Tang D. // ACS Appl. Mater. Interfaces. 2015. V. 7. P. 8330–8338. https://doi.org/10.1021/ACSAMI.5B01923
- Li X., Wen J., Low J., Fang Y., Yu J. // Sci. China Mater. 2014. V. 57. P. 70–100. https://doi.org/10.1007/S40843-014-0003-1
- Li R., Cui X., Bi J., Ji X., Li X., Wang N., Huang Y., Huang X., Hao H. // RSC Adv. 2021. V. 11. P. 23459–23470. https://doi.org/10.1039/d1ra03524j
- de Ávila S.G., Logli M.A., Matos J.R. // Int. J. Greenhouse Gas Control. 2015. V. 42. P. 666–671. https://doi.org/10.1016/J.IJGGC.2015.10.001
- Cui Y., Zhang J., Zhang G., Huang J., Liu P., Antonietti M., Wang X. // J. Mater. Chem. 2011. V. 21. P. 13032–13039. https://doi.org/10.1039/C1JM11961C
- Xu Q., Ma D., Yang S., Tian Z., Cheng B., Fan J. // Appl. Surf. Sci. 2019. V. 495. P. 143555. https://doi.org/10.1016/J.APSUSC.2019.143555
- Li Y., Zhong J., Li J. // Int. J. Hydrogen Energy. 2022. V. 47. P. 39886–39897. https://doi.org/10.1016/J.IJHYDENE.2022.09.147
- Wang X., Zhou C., Shi R., Liu Q., Waterhouse G.I.N., Wu L., Tung C.H., Zhang T. // Nano Res. 2019. V. 12. P. 2385–2389. https://doi.org/10.1007/S12274-019-2357-0
- Ding J., Sun X., Wang Q., Li D., Li X., Li X., Chen L., Zhang X., Tian X., Ostrikov K. // J. Alloys Compd. 2021. V. 873. P. 159871. https://doi.org/10.1016/J.JALLCOM.2021.159871
- Han C., Su P., Tan B., Ma X., Lv H., Huang C., Wang P., Tong Z., Li G., Huang Y., Liu Z. // J. Colloid Interface Sci. 2021. V. 581. P. 159–166. https://doi.org/10.1016/J.JCIS.2020.07.119
- Rao F., Zhong J., Li J. // Ceram. Int. 2022. V. 48. P. 1439–1445. https://doi.org/10.1016/J.CERAMINT.2021.09.130
- Xu Q., Cheng B., Yu J., Liu G. // Carbon. 2017. V. 118. P. 241–249. https://doi.org/10.1016/J.CARBON.2017.03.052
- Yang L., Huang J., Shi L., Cao L., Yu Q., Jie Y., Fei J., Ouyang H., Ye J. // Appl. Catal. B. 2017. V. 204. P. 335–345. https://doi.org/10.1016/J.APCATB.2016.11.047
- Alcudia-Ramos M.A., Fuentez-Torres M.O., Ortiz-Chi F., Espinosa-González C.G., Hernández-Como N., García-Zaleta D.S., Kesarla M.K., Torres-Torres J.G., Collins-Martínez V., Godavarthi S. // Ceram. Int. 2020. V. 46. P. 38–45. https://doi.org/10.1016/J.CERAMINT.2019.08.228
- Bi L., Zhang R., Zhang K., Lin Y., Wang D., Zou X., Xie T. // ACS Sustain. Chem. Eng. 2019. V. 7. P. 15137–15145. https://doi.org/10.1021/ACSSUSCHEMENG.9B04153
- Zhang S., Gao M., Zhai Y., Wen J., Yu J., He T., Kang Z., Lu S. // J. Colloid Interface Sci. 2022. V. 622. P. 662–674. https://doi.org/10.1016/J.JCIS.2022.04.165
- Lin Q., Li Z., Lin T., Li B., Liao X., Yu H., Yu C. // Chin. J. Chem. Eng. 2020. V. 28. P. 2677–2688. https://doi.org/10.1016/J.CJCHE.2020.06.037
- Vasilchenko D., Zhurenok A., Saraev A., Gerasimov E., Cherepanova S., Kovtunova L., Tkachev S., Kozlova E. // Int. J. Hydrogen Energy. 2022. V. 47. P. 11326–11340. https://doi.org/10.1016/J.IJHYDENE.2021.09.253
Supplementary files









