SYNTHESIS OF NEW POLYFUNCTIONAL CYCLIC KETALS BASED ON SUBSTITUTED 4-METHYLENE-1,3-DIOXOLANES
- Authors: Borisova Y.G.1, Raskildina G.Z.1, Belyaeva E.R.1, Musin A.I.1, Sultanova R.M.1, Zlotskii S.S.1
-
Affiliations:
- Ufa State Petroleum Technological University (USPTU)
- Issue: Vol 513, No 1 (2023)
- Pages: 82-85
- Section: CHEMISTRY
- URL: https://bakhtiniada.ru/2686-9535/article/view/252497
- DOI: https://doi.org/10.31857/S2686953523600198
- EDN: https://elibrary.ru/YCNLIA
- ID: 252497
Cite item
Full Text
Abstract
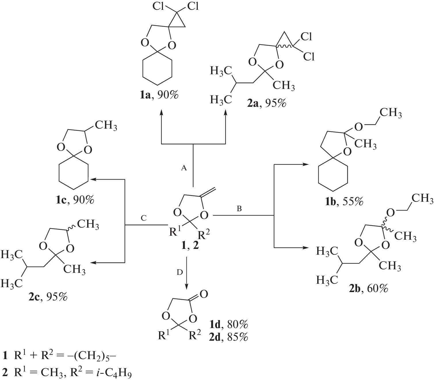
Methods for the preparation of new polyfunctional heterocyclic compounds based on the addition dichlorocarbene and ethanol to the terminal double bond of 2,2-disubstituted 4-methylene-1,3-dioxolanes, as well as on hydrogenation and ozonolysis of this bond, are proposed.
Keywords
About the authors
Yu. G. Borisova
Ufa State Petroleum Technological University (USPTU)
Author for correspondence.
Email: yulianna_borisova@mail.ru
Russian Federation, 450064, Ufa
G. Z. Raskildina
Ufa State Petroleum Technological University (USPTU)
Email: yulianna_borisova@mail.ru
Russian Federation, 450064, Ufa
E. R. Belyaeva
Ufa State Petroleum Technological University (USPTU)
Email: yulianna_borisova@mail.ru
Russian Federation, 450064, Ufa
A. I. Musin
Ufa State Petroleum Technological University (USPTU)
Email: yulianna_borisova@mail.ru
Russian Federation, 450064, Ufa
R. M. Sultanova
Ufa State Petroleum Technological University (USPTU)
Email: yulianna_borisova@mail.ru
Russian Federation, 450064, Ufa
S. S. Zlotskii
Ufa State Petroleum Technological University (USPTU)
Email: yulianna_borisova@mail.ru
Russian Federation, 450064, Ufa
References
- Morariu S., Bercea M. // Polym. Int. 2004. V. 53. P. 1253–1258. https://doi.org/10.1002/pi.1503
- Frauenrath H., Runsink J. // J. Org. Chem. 1988. 53. № 9. P. 1860–1862. https://doi.org/10.1021/jo00244a004
- Jang W.-C., Bae J.-S., Gong M.-S. // Bull. Korean Chem. Soc. 1999. V. 20. №. 12. P. 1433.
- Yusifli F., Ramazanov G., Guliyev A. // J. Chem. Chem. Eng. 2019. V.13. P. 76–81. https://doi.org/10.17265/1934-7375/2019.02.003
- Kazaryan P.I., Avakyan S.V., Gevorkyan A.A., Kulinko-vich R.G., Panosyan G.A. // Chem. Heterocycl. Compd. 1983. V. 19. P. 1267–1273. https://doi.org/10.1007/BF00842826
- Myasoedova Yu.V., Sakhabutdinova G.N., Belyaeva E.R., Raskil’dina G.Z., Ishmuratov G.Yu., Zlotsky S.S. // Dokl. Chem. 2022. V. 504. P. 74–78. https://doi.org/10.1134/S0012500822600109
- Schmidt E.Yu., Bidusenko I.A., Ushakov I.A., Trofi-mov B.A. // Mendeleev Commun. 2018. V. 28. №. 5. P. 513–514. https://doi.org/10.1016/j.mencom.2018.09.021
- You Tianpa, Guo Hemin, Qiao Xiaoxin, Xu Xiaoming, Lu Fei // Huaxue Wuli Xuebao. 1996. V. 9. № 4. P. 378–380.
- Oparina L.A., Vysotskaya O.V., Stepanov A.V., Gusaro-va N.K., Trofimov B.A. Russ. J. Org. Chem. 2012. V. 48. № 9. P. 1162–1167. https://doi.org/10.1134/S1070428012090023
Supplementary files



