STUDYING ANTITUMOR ACTIVITY IN VITRO IODO-δ-LACTONES 5Z,9Z-DIENOIC ACID
- Authors: Makarova E.K.1, Ishbulatov I.V.1, Makarov А.А.1, Dzhemileva L.U.2, Dzhemilev U.M.2, D’yakonov V.A.2
-
Affiliations:
- Institute of Petrochemistry and Catalysis, Ufa Federal Research Center, Russian Academy of Sciences
- N.D. Zelinsky Institute of Organic Chemistry Russian Academy of Sciences
- Issue: Vol 513, No 1 (2023)
- Pages: 54-61
- Section: CHEMISTRY
- URL: https://bakhtiniada.ru/2686-9535/article/view/252493
- DOI: https://doi.org/10.31857/S2686953523600277
- EDN: https://elibrary.ru/UWUBSS
- ID: 252493
Cite item
Full Text
Abstract
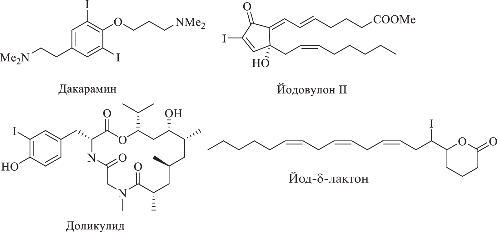
A previously undescribed phenyl-substituted iodo-δ-lactone of 11‑phenylundeca-5Z,9Z-dienoic acid was synthesized using the Ti-catalyzed intermolecular cross-cyclomagnesiation of an aromatic 1,2-diene with an O‑containing allene at the key stage in a 94% yield. The in vitro cytotoxic activity of the obtained alkyl- and phenyl-substituted iodo-δ-lactones 5Z,9Z-dienoic acids was studied in relation to the cell lines Jurkat, K562, U937, HL60, Hek293, and the effect on the cell cycle and the ability to induce apoptosis with using flow cytometry.
Keywords
About the authors
E. Kh. Makarova
Institute of Petrochemistry and Catalysis, Ufa Federal Research Center, Russian Academy of Sciences
Author for correspondence.
Email: makarovaelina87@gmail.com
Russian Federation, 450075, Ufa
I. V. Ishbulatov
Institute of Petrochemistry and Catalysis, Ufa Federal Research Center, Russian Academy of Sciences
Email: makarovaelina87@gmail.com
Russian Federation, 450075, Ufa
А. А. Makarov
Institute of Petrochemistry and Catalysis, Ufa Federal Research Center, Russian Academy of Sciences
Email: makarovaelina87@gmail.com
Russian Federation, 450075, Ufa
L. U. Dzhemileva
N.D. Zelinsky Institute of Organic Chemistry Russian Academy of Sciences
Email: makarovaelina87@gmail.com
Russian Federation, 119991, Moscow
U. M. Dzhemilev
N.D. Zelinsky Institute of Organic Chemistry Russian Academy of Sciences
Email: makarovaelina87@gmail.com
Russian Federation, 119991, Moscow
V. A. D’yakonov
N.D. Zelinsky Institute of Organic Chemistry Russian Academy of Sciences
Email: makarovaelina87@gmail.com
Russian Federation, 119991, Moscow
References
- Wang L., Zhou X., Fredimoses M., Liao S., Liu Y. // RSC Adv. 2014. V. 4. № 101. P. 57350–57376. https://doi.org/10.1039/c4ra09833a
- Dembitsky V.M. // Nat. Prod. Commun. 2006. V. 1. № 2. P. 139–175. https://doi.org/10.1177/1934578x0600100210
- Kyeremeh K., Acquah K.S., Appiah-Opong R., Deng M., Jaspars H. // J. Chem. Applications. 2014. V. 1. № 1. P. 1–4.
- Aiello A., Fattorusso E., Imperatore C., Menna M., Müller W. // Mar. Drugs. 2010. V. 8. № 2. P. 285–291. https://doi.org/10.3390/md8020285
- Andavan G.S.B., Lemmens-Gruber R. // Mar. Drugs. 2010. V. 8. № 3. P. 810–834. https://doi.org/10.3390/md8030810
- Hiroyuki I., Hiroki S., Hideo,K., Kiyoyuki Y. // Tetrahedron. 1994. V. 50. № 45. P. 12853–12882. https://doi.org/10.1016/s0040-4020(01)81206-0
- Shen Y.-C., Cheng Y.-B., Lin Y.-C., Guh J.-H., Teng C.-M., Ko C.-L. // J. Nat. Prod. 2004. V. 67. № 4. P. 542–546. https://doi.org/10.1021/np030435a
- Williams P.G., Yoshida W.Y., Moore R.E., Paul V.J. // Org. Lett. 2003. V. 5. P. 4167–4170. https://doi.org/10.1021/ol035620u
- Kigoshi H., Kanematsu K., Yokota K., Uemura D. // Tetrahedron. 2000. V. 56. № 46. P. 9063–9070. https://doi.org/10.1016/s0040-4020(00)00759-6
- Hwang B.S., Lee K., Yang C., Jeong E.J., Rho J.-R. // J. Nat. Prod. 2013. V. 76. № 12. P. 2355–2359. https://doi.org/10.1021/np400793r
- Maiese W.M., Lechevalier M.P., Lechevalier H.A., Korshalla J., Kuck N., Fantini A., Wildey M.J., Thomas J., Greenstein M. // J. Antibiot. 1989. V. 42. P. 558–563.
- Zhao B., Konno S., Wu J.M., Oronsky A.L. // Cancer Lett. 1990. V. 50. № 2. P. 141–147. https://doi.org/10.1016/0304-3835(90)90244-r
- Nicolaou K.C., Hale C.R.H., Nilewski C. // Chem. Rec. 2012 V. 12. № 4. P. 407–441. https://doi.org/10.1002/tcr.201200005
- Ricart A.D. // Clin. Cancer Res. 2011. V. 17. № 20. P. 6417–6427. https://doi.org/10.1158/1078-0432.ccr-11-0486
- Gartner R., Rank P., Ander B. // Hormones. 2010. V. 9. № 1. P. 60–66.
- Boeynaems J.M., Hubbard W.C. // J. Biol. Chem. 1980. V. 255. P. 9001–9004. https://doi.org/10.1016/S0021-9258(19)70513-4
- Thomasz L., Oglio R., Salvarredi L., Perona M., Rossich L., Copelli S., Pisarev M., Juvenal G. // Mol. Cell Endocrinol. 2018. V. 470. P. 115–126. https://doi.org/10.1016/j.mce.2017.10.004
- Nava-Villalba M., Nucez-Anita R.E., Bontempo A., Aceves C. // Mol. Cancer. 2015. V. 14. P. 168. https://doi.org/10.1186/s12943-015-0436-8
- Arroyo-Helguera O., Rojas E., Delgado G., Aceves C. // Endocr. Relat. Cancer. 2008. V. 15. P. 1003–1011. https://doi.org/10.1677/ERC-08-0125
- Aceves C., Mendieta I., Anguiano B., Delgado-Gonza-lez E. // J. Mol. Sci. 2021. V. 22. P. 1228. https://doi.org/10.3390/ijms22031228
- D’yakonov V.A., Makarov A.A., Dzhemileva L.U., Makarova E.Kh., Khusnutdinova E.K., Dzhemilev U.M. // Chem. Commun. 2013. V. 49. P. 8401–8403. https://doi.org/10.1039/C3CC44926B
- D’yakonov V.A., Dzhemileva L.U., Makarov A.A., Mulyukova A.R., Baev D.S., Khusnutdinova E.K., Tolstikova T.G., Dzhemilev U.M. // Bioorg. Med. Chem. Lett. 2015. V. 25. № 11. P. 2405–2408. https://doi.org/10.1016/j.bmcl.2015.04.011
- D’yakonov V.A., Dzhemileva L.U., Makarov A.A., Mu-lyukova A.R., Baev D.S., Khusnutdinova E.K., Tolstiko-va T.G., Dzhemilev U.M. // Curr. Cancer Drug Targets. 2015. V. 15. № 6. P. 504–510. https://doi.org/10.2174/1568009615666150506093155
- D’yakonov V.A., Dzhemileva L.U., Makarov A.A., Mu-lyukova A.R., Baev D.S., Khusnutdinova E.K., Tolstiko-va T.G., Dzhemilev U.M. // Med. Chem. Res. 2016. V. 25. № 1. P. 30–39. https://doi.org/10.1007/s00044-015-1446-1
- D’yakonov V.A., Makarov A.A., Dzhemileva L.U., Makarova E.Kh., Ramazanov I.R., Dzhemilev U.M. // Cancers. 2021. V. 13. № 8. P. 1808. https://doi.org/10.3390/cancers13081808
- Maкarov A.A., Ishbulatov I.V., Makarova E.Kh., D’yakonov V.A., Dzhemilev U.M. // Russ. J. Org. Chem. 2022. V. 58. № 12. P. 1954–1958. https://doi.org/10.1134/S1070428022120259
- Tyagi R., Shimpukade B., Blattermann S., Kostenisb E., Ulven T. // Med. Chem. Commun. 2012. V. 3. P. 195–198. https://doi.org/10.1039/C1MD00231G
- Kuang J., Ma S. // J. Org. Chem. 2009. V. 74. P. 1763. https://doi.org/10.1021/jo802391x
Supplementary files







