NONEQUILIBRIUM NUCLEAR SPIN STATES OF ETHYLENE DURING ACETYLENE HYDROGENATION WITH PARAHYDROGEN OVER IMMOBILIZED IRIDIUM COMPLEXES
- Authors: Skovpin I.V.1, Sviyazov S.V.1,2, Burueva D.B.1, Kovtunova L.M.1,3, Nartova A.V.3, Kvon R.I.3, Bukhtiyarov V.I.3, Koptyug I.V.1
-
Affiliations:
- International Tomography Center, Siberian Branch of the Russian Academy of Sciences
- Novosibirsk State University
- Boreskov Institute of Catalysis, Siberian Branch of the Russian Academy of Sciences
- Issue: Vol 512, No 1 (2023)
- Pages: 120-129
- Section: PHYSICAL CHEMISTRY
- URL: https://bakhtiniada.ru/2686-9535/article/view/247191
- DOI: https://doi.org/10.31857/S2686953522600933
- EDN: https://elibrary.ru/HPUROO
- ID: 247191
Cite item
Full Text
Abstract
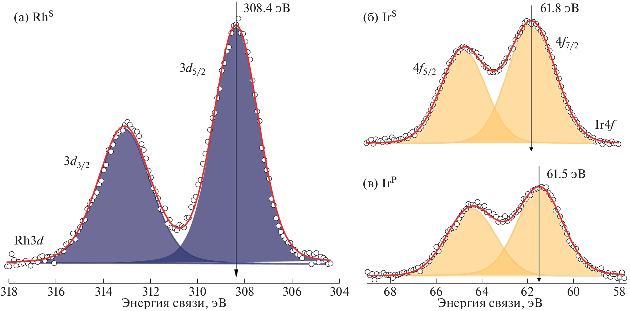
In this work rhodium and iridium immobilized complexes were prepared and characterized by X-ray photoelectron spectroscopy. For the first time, hyperpolarized 13C-ethylene was detected directly in the gas phase during acetylene hydrogenation with parahydrogen on immobilized iridium complexes. The line shape of polarized 13С‑ethylene unambiguously indicates that the hydrogen addition to the triple bond of acetylene on immobilized iridium complexes proceeds via syn-addition. It has been shown that the selective acetylene hydrogenation with parahydrogen over immobilized iridium complexes is an effective chemical method for enriching the nuclear spin isomers of ethylene.
About the authors
I. V. Skovpin
International Tomography Center, Siberian Branch of the Russian Academy of Sciences
Email: koptyug@tomo.nsc.ru
Russian Federation, 630090, Novosibirsk
S. V. Sviyazov
International Tomography Center, Siberian Branch of the Russian Academy of Sciences; Novosibirsk State University
Email: koptyug@tomo.nsc.ru
Russian Federation, 630090, Novosibirsk; Russian Federation, 630090, Novosibirsk
D. B. Burueva
International Tomography Center, Siberian Branch of the Russian Academy of Sciences
Email: koptyug@tomo.nsc.ru
Russian Federation, 630090, Novosibirsk
L. M. Kovtunova
International Tomography Center, Siberian Branch of the Russian Academy of Sciences; Boreskov Institute of Catalysis, Siberian Branch of the Russian Academy of Sciences
Email: koptyug@tomo.nsc.ru
Russian Federation, 630090, Novosibirsk; Russian Federation, 630090, Novosibirsk
A. V. Nartova
Boreskov Institute of Catalysis, Siberian Branch of the Russian Academy of Sciences
Email: koptyug@tomo.nsc.ru
Russian Federation, 630090, Novosibirsk
R. I. Kvon
Boreskov Institute of Catalysis, Siberian Branch of the Russian Academy of Sciences
Email: koptyug@tomo.nsc.ru
Russian Federation, 630090, Novosibirsk
V. I. Bukhtiyarov
Boreskov Institute of Catalysis, Siberian Branch of the Russian Academy of Sciences
Email: koptyug@tomo.nsc.ru
Russian Federation, 630090, Novosibirsk
I. V. Koptyug
International Tomography Center, Siberian Branch of the Russian Academy of Sciences
Author for correspondence.
Email: koptyug@tomo.nsc.ru
Russian Federation, 630090, Novosibirsk
References
- Bos A.N.R., Westerterp K.R. // Chem. Eng. Process. Process Intensif. 1993. V. 32. P. 1–7. https://doi.org/10.1016/0255-2701(93)87001-B
- Zhivonitko V.V., Kovtunov K.V., Chapovsky P.L., Kop-tyug I.V. // Angew. Chem. Int. Ed. 2013. V. 52. P. 13251–13255. https://doi.org/10.1002/anie.201307389
- Chapovsky P.L., Zhivonitko V.V., Koptyug I.V. // J. Phys. Chem. A. 2013. V. 117. P. 9673–9683. https://doi.org/10.1021/jp312322f
- Гельмуханов Ф.Х., Шалагин А.М. // Письма в ЖЭТФ. 1979. V. 29. P. 773–776.
- Sun Z.-D., Takagi K., Matsushima F. // Science. 2005. V. 310. P. 1938–1941. https://doi.org/10.1126/science.1120037
- Eills J., Budker D., Cavagnero S., Chekmenev E.Y., Elliott S.J., Jannin S., Lesage A., Matysik J., Meersmann T., Prisner T., Reimer J.A., Yang H., Koptyug I.V. // Chem. Rev. 2023. V. 123. P. 1417–1551. https://doi.org/10.1021/acs.chemrev.2c00534
- Ковтунов К.В., Буруева Д.Б., Свиязов С.В., Сальников О.Г., Гудсон Б.М., Чекменев Э.Ю., Коптюг И.В. // Изв. АН. Сер. Хим. 2021. V. 12. P. 2382–2389.
- Покочуева Е.В., Святова А.И., Буруева Д.Б., Коптюг И.В. // Изв. АН. Сер. Хим. 2023. V. 1. P. 1–19.
- Duckett S.B., Mewis R.E. // Acc. Chem. Res. 2012. V. 45 P. 1247–1257. https://doi.org/10.1021/ar2003094
- Koptyug I.V., Kovtunov K.V., Burt S.R., Anwar M.S., Hilty C., Han S.-I., Pines A., Sagdeev R.Z. // J. Am. Chem. Soc. 2007. V. 129. P. 5580–5586. https://doi.org/10.1021/ja068653o
- Kovtunov K.V., Beck I.E., Bukhtiyarov V.I., Koptyug I.V. // Angew. Chem. Int. Ed. 2008. V. 47. P. 1492–1495. https://doi.org/10.1002/anie.200704881
- Kovtunov K.V., Zhivonitko V.V., Skovpin I.V., Barskiy D.A., Koptyug I.V. // Top. Curr. Chem. 2013. V. 338. P. 123–180. https://doi.org/10.1007/128_2012_371
- Pokochueva E.V., Burueva D.B., Kovtunova L.M., Bukhtiyarov A.V., Gladky A.Yu., Kovtunov K.V., Koptyug I.V., Bukhtiyarov V.I. // Faraday Discuss. 2021. V. 229. P. 161–175. https://doi.org/10.1039/C9FD00138G
- Burueva D.B., Kovtunov K.V., Bukhtiyarov A.V., Barskiy D.A., Prosvirin I.P., Mashkovsky I.S., Baeva G.N., Bukhtiyarov V.I., Stakheev A.Yu., Koptyug I.V. // Chem. Eur. J. 2018. V. 24. P. 2547–2553. https://doi.org/10.1002/chem.201705644
- Zhao E.W., Maligal-Ganesh R., Xiao C., Goh T.-W., Qi Z., Pei Y., Hagelin-Weaver H.E., Huang W., Bowers C.R. // Angew. Chem. Int. Ed. 2017. V. 56. P. 3925–3929. https://doi.org/10.1002/anie.201701314
- Corma A., Salnikov O.G., Barskiy D.A., Kovtunov K.V., Koptyug I.V. // Chem. Eur. J. 2015. V. 21. P. 7012–7015. https://doi.org/10.1002/chem.201406664
- Skovpin I.V., Zhivonitko V.V., Koptyug I.V. // Appl. Magn. Reson. 2011. V. 41. P. 393–410. https://doi.org/10.1007/s00723-011-0255-z
- Skovpin I.V., Zhivonitko V.V., Kaptein R., Koptyug I.V. // Appl. Magn. Reson. 2013. V. 44. P. 289–300. https://doi.org/10.1007/s00723-012-0419-5
- Skovpin I.V., Zhivonitko V.V., Prosvirin I.P., Khabibulin D.F., Koptyug I.V. // Z. Phys. Chem. 2017. V. 231. P. 575–592. https://doi.org/10.1515/zpch-2016-0824
- Skovpin I.V., Kovtunova L.M., Nartova A.V., Kvon R.I., Bukhtiyarov V.I., Koptyug I.V. // Catal. Sci. Technol. 2022. V. 12. P. 3247–3253. https://doi.org/10.1039/D1CY02258J
- Crabtree R.H., Morris G.E. // J. Organomet. Chem. 1977. V. 135. P. 395–403. https://doi.org/10.1016/S0022-328X(00)88091-2
- Yamada T., Matsuo T., Ogawa A., Ichikawa T., Kobayashi Y., Masuda H., Miyamoto R., Bai H., Meguro K., Sawama Y., Monguchi Y., Sajiki H. // Org. Process Res. Dev. 2018. V. 23. P. 462–469. https://doi.org/10.1021/acs.oprd.8b00291
- Huang L., Ang T.P., Wang Z., Tan J., Chen J., Wong P.K. // Inorg. Chem. 2011. V. 50. P. 2094–2111. https://doi.org/10.1021/ic100824e
- Crudden C.M., Sateesh M., Lewis R. // J. Am. Chem. Soc. 2005. V. 127. P. 10045–10050. https://doi.org/10.1021/ja0430954
- Holsboer F., Beck W., Bartunik H.D. // J. Chem. Soc., Dalt. Trans. 1973. P. 1828–1829. https://doi.org/10.1039/DT9730001828
- Fernando N.K., Cairns A.B., Murray C.A., Thompson A.L., Dickerson J.L., Garman E.F., Ahmed N., Ratcliff L.E., Regoutz A. // J. Phys. Chem. A. 2021. V. 125. P. 7473–7488. https://doi.org/10.1021/acs.jpca.1c05759
- Bowers C.R., Weitekamp D.P. // J. Am. Chem. Soc. 1987. V. 109. P. 5541–5542. https://doi.org/10.1021/ja00252a049
- Salnikov O.G., Kovtunov K.V., Barskiy D.A., Khudorozhkov A.K., Inozemtseva E.A., Prosvirin I.P., Bukhtiya-rov V.I., Koptyug I.V. // ACS Catal. 2014. V. 4. P. 2022–2028. https://doi.org/10.1021/cs500426a
- Giordano G., Crabtree R.H., Heintz R.M., Forster D., Morris D.E. Di-μ-chloro-bis(η4-1,5-cyclooctadlene) dirhodium (I). In: Inorganic syntheses. V. 19. Shri-ver D.F. (Ed.). John Wiley & Sons, 1979. P. 218–220. https://doi.org/10.1002/9780470132500.ch50
- Moulder J.F., Stickle W.F., Sobol P.E., Bomben K.D. Handbook of X-ray photoelectron spectroscopy. 2nd edn. Perkin-Elmer Corp., Eden Priarie, MN, USA, 1992.
- XPSPEAK, свободно распространяемое программное обеспечение для анализа спектров РФЭС // http://xpspeak.software.informer.com/4.1/ (ссылка активна на 27.12.2022).
- Квон Р.И., Нартова АВ., Ковтунова Л.М., Бухтияров В.И. // Журн. структ. хим. 2023. V. 64. P. 106142. https://doi.org/10.26902/JSC_id106142
Supplementary files






