DFT STUDY OF KETO-ENOL EQUILIBRIUM AND GLOBAL ELECTROPHILICITY OF HYDROXYMALEIMIDE DERIVATIVES
- Authors: Panov A.A.1
-
Affiliations:
- Gause Institute of New Antibiotics
- Issue: Vol 508, No 1 (2023)
- Pages: 111-116
- Section: PHYSICAL CHEMISTRY
- URL: https://bakhtiniada.ru/2686-9535/article/view/135972
- DOI: https://doi.org/10.31857/S2686953522600325
- EDN: https://elibrary.ru/EVQYQM
- ID: 135972
Cite item
Full Text
Abstract
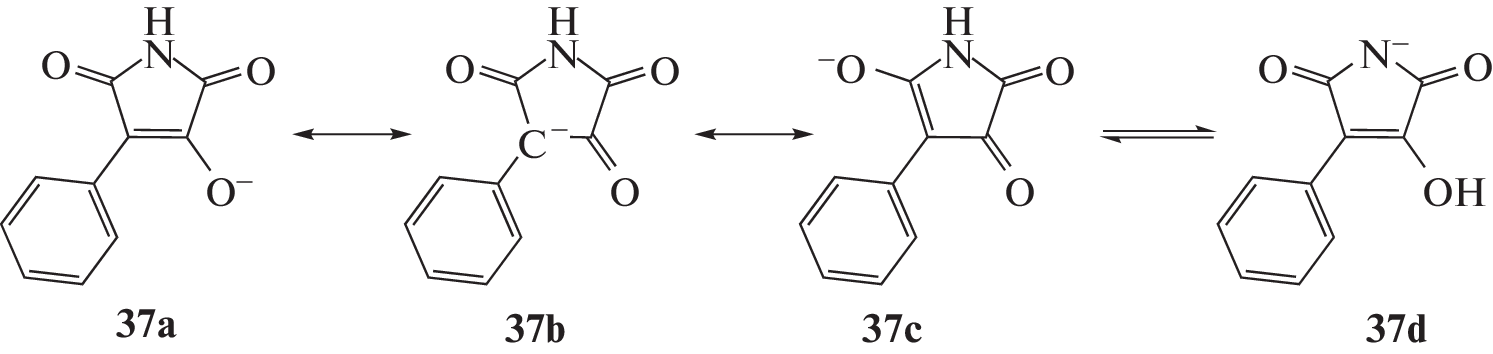
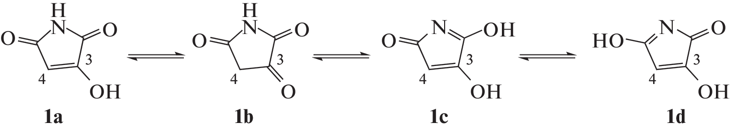
For 36 3-hydroxymaleimide derivatives energies of enol and keto forms were calculated by DFT method. The results clearly show that with only few exceptions, enol form is energetically more favourable by 16–60 kJ mol–1, with energy difference depending on 4-substituent. Global electrophilic index was calculated for all the compounds in question, showing that keto form is generally more electrophilic, with electrophilicity strongly dependending on 4-substituent. Two possible structures of hydroxymaleimide anion were evaluated, with deprotonated oxygen atom being the most energetically favourable.
Keywords
About the authors
Alexey A. Panov
Gause Institute of New Antibiotics
Author for correspondence.
Email: 7745243@mail.ru
Russian, 119021, Moscow
References
- Zaleska B., Lis S. // Synthesis. 2001. V. 6. P. 811–827. https://doi.org/10.1055/s-2001-13398
- Zhang J., Liu M., Huang M., Liu H., Yan Y., Zhang X. // Org. Chem. Front. 2021. V. 8 (10). P. 2268–2273. https://doi.org/10.1039/D1QO00128K
- Zhang J., Liu M., Huang M., Li W., Zhang X. // ChemistrySelect. 2021. V. 6 № 18. P. 4556–4561. https://doi.org/10.1002/slct.202100722
- Howard E.G. Jr. 4-Negative functionally substituted 2,3,5-trichalcogenpyrrolidines, their salts, and methods for preparing them. Patent US 2832790. 1958.
- Salmon-Legagner F., Oliver Y., Bobin C. // Compt. Rend. 1964. V. 258. P. 6456–6457.
- Gerzon K. Novel 2,3-dioxopyrrolidine-3-thiosemi-carbazones. US3285933A, 1964.
- Rooney C.S., Randall W.C., Streeter K.B., Ziegler C., Cra-goe E.J.Jr, Schwam H., Michelson S.R., Williams H.W., Eichler E., Duggan D.E., Ulm E.H., Noll R.M. // J. Med. Chem. 1983. V. 26. P. 700–714. https://doi.org/10.1021/jm00359a015
- Tanaka M., Sagawa S., Hoshi J.-I., Shimoma F., Yasue K., Ubukata M., Ikemoto T., Hase Y., Takahashi M., Sasase T., Ueda N., Matsushita M., Inaba T. // Bioorg. Med. Chem. 2006. V. 14. P. 5781–5794. https://doi.org/10.1016/j.bmc.2006.05.033
- Simonov A.Y., Panov A.A., Trenin A.S., Korolev A.M., Lavrenov S.N. // Pharm. Chem. J. 2021. V. 54 P. 1263–1268. https://doi.org/10.1007/s11094-021-02352-w
- Panov A.A., Simonov A.Y., Korolev A.M. // Russ. J. Org. Chem. 2019. V. 55. P. 1847–1852. https://doi.org/10.1134/S1070428019120066
- Sakamoto Y., Kurihara T. // Yakugaku zasshi. 1979. V. 99. № 8. P. 818–823 (японский). https://doi.org/10.1248/yakushi1947.99.8_818
- Neese F. // Wiley Interdisciplinary Reviews Comp. Mol. Sci. 2012. V. 2. P. 73–78. https://doi.org/10.1002/wcms.81
- Weigend F., Ahlrichs R. // Phys. Chem. Chem. Phys. 2005. V. 7. P. 3297–3305. https://doi.org/10.1039/B508541A
- Weigend F. // Phys. Chem. Chem. Phys. 2006. V. 8. P. 1057–1065. https://doi.org/10.1039/B515623H
- Riplinger C., Sandhoefer B., Hansen A., Neese F. // J. Chem. Phys. 2013. V. 139 P. 134101. https://doi.org/10.1063/1.4821834
- Barone V., Cossi M. // J. Phys. Chem. A. 1998 V. 102. № 11. P. 1995–2001. https://doi.org/10.1021/jp9716997
- Pérez P., Domingo L.R., Aizman A., Contreras R. The electrophilicity index in organic chemistry. In: Theoretical and computational chemistry. Toro-Labbé A. (Ed.). Elsevier: Amsterdam, 2007. P. 139–201. https://doi.org/10.1016/S1380-7323(07)80010-0
Supplementary files









