SINGLE-, DOUBLE- AND MULTI-WALLED CARBON NANOTUBES AS ELECTRICALLY CONDUCTIVE ADDITIVES IN LITHIUM-ION BATTERY CATHODES
- Authors: Babkin A.V.1, Kubarkov A.V.1, Drozhzhin O.A.1, Urvanov S.A.2, Filimonenkov I.S.2, Tkachev A.G.3, Mordkovich V.Z.2, Sergeyev V.G.1, Antipov E.V.1,4
-
Affiliations:
- Department of Chemistry, Lomonosov Moscow State University
- Technological Institute for Superhard and Novel Carbon Materials
- Tambov State Technical University
- Skolkovo Institute of Science and Technology
- Issue: Vol 508, No 1 (2023)
- Pages: 26-34
- Section: CHEMISTRY
- URL: https://bakhtiniada.ru/2686-9535/article/view/135954
- DOI: https://doi.org/10.31857/S268695352260074X
- EDN: https://elibrary.ru/EWASMU
- ID: 135954
Cite item
Full Text
Abstract
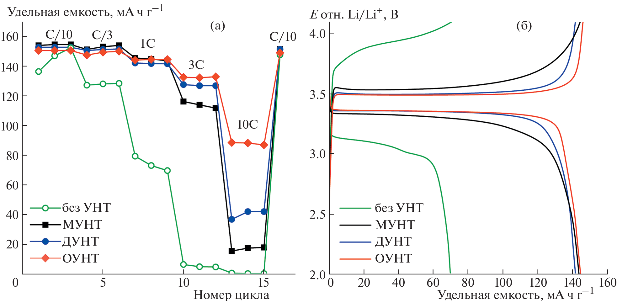
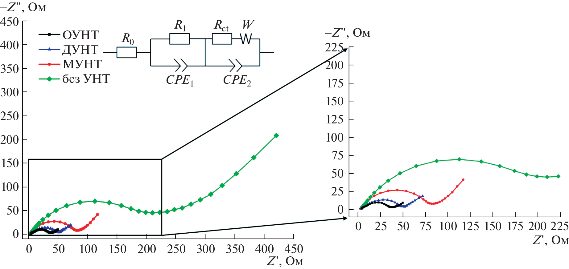
The paper presents a comparative study of the characteristics of lithium iron phosphate positive electrodes with various types of commercially available carbon nanotubes – single-walled (SWCNT), double-walled (DWCNT) and multi-walled (MWCNT). Electrochemical characteristics of the cathode materials were investigated using electrochemical impedance spectroscopy and galvanostatic charge/discharge measurements. Cyclic stability at various current densities was estimated. The best electrochemical characteristics are exhibited by cathode materials with SWCNT (advantage over DWCNT at discharge rates higher than 10C) and DWCNT (advantage over SWCNT during prolonged cycling). During cycling at a current density of 1C, the greatest loss of capacity was demonstrated by the MWCNT-based electrode. At the same time, the electrodes with SWCNT and DWCNT demonstrated satisfactory capacity retention after 50 charge/discharge cycles: over 94 and over 98%, respectively.
About the authors
A. V. Babkin
Department of Chemistry, Lomonosov Moscow State University
Author for correspondence.
Email: A.V.Babkin93@yandex.ru
Russian, 119991, Moscow
A. V. Kubarkov
Department of Chemistry, Lomonosov Moscow State University
Email: evgeny.antipov@gmail.com
Russian, 119991, Moscow
O. A. Drozhzhin
Department of Chemistry, Lomonosov Moscow State University
Email: evgeny.antipov@gmail.com
Russian, 119991, Moscow
S. A. Urvanov
Technological Institute for Superhard and Novel Carbon Materials
Email: evgeny.antipov@gmail.com
Russian, 108840, Troitsk, Moscow
I. S. Filimonenkov
Technological Institute for Superhard and Novel Carbon Materials
Email: evgeny.antipov@gmail.com
Russian, 108840, Troitsk, Moscow
A. G. Tkachev
Tambov State Technical University
Email: evgeny.antipov@gmail.com
Russian, 392000, Tambov
V. Z. Mordkovich
Technological Institute for Superhard and Novel Carbon Materials
Email: evgeny.antipov@gmail.com
Russian, 108840, Troitsk, Moscow
V. G. Sergeyev
Department of Chemistry, Lomonosov Moscow State University
Email: evgeny.antipov@gmail.com
Russian, 119991, Moscow
E. V. Antipov
Department of Chemistry, Lomonosov Moscow State University; Skolkovo Institute of Science and Technology
Author for correspondence.
Email: evgeny.antipov@gmail.com
Russian, 119991, Moscow; Russian, 121205, Moscow
References
- Natarajan S., Aravindan V. // ACS Energy Lett. 2018. V. 3. № 9. P. 2101–2103. https://doi.org/10.1021/acsenergylett.8b01233
- Heidari E.K., Kamyabi-Gol A., Sohi M.H., Ataie A. // J. Ultrafine Grained Nanostruct. Mater. 2018. V. 51. № 1. P. 1–12. https://doi.org/10.22059/JUFGNSM.2018.01.01
- Satyavani T.V.S.L, Ramya Kiran B., Rajesh Kumar V., Srinivas Kumar A., Naidu S.V. // Eng. Sci. Technol., Int. J. 2016. V. 19. № 1. P. 40–44. https://doi.org/10.1016/j.jestch.2015.05.011
- Shih J., Lin G., James Li Y., Tai-Feng Hung, Rajan J., Karuppiah C., Chun-Chen Y. // Electrochim. Acta. 2022. V. 419. 140356. https://doi.org/10.1016/j.electacta.2022.140356
- Rajoba S.J., Jadhav L.D., Patil P.S., Tyagi D.K., Varma S., Wani B.N. // J. Electron. Mater. 2017. V. 46. P. 1683–1691. https://doi.org/10.1007/s11664-016-5212-z
- Zhou X., Wang F., Zhu Y., Liu Z. // J. Mater. Chem. 2011. V. 21. P. 3353–3358. https://doi.org/10.1039/C0JM03287E
- Liu T., Sun S., Zhao Z., Li X., Sun X., Cao F., Wu J. // RSC Adv. 2017. V. 7. P. 20882–20887. https://doi.org/10.1039/C7RA02155K
- Qi X., Blizanac B., DuPasquier A., Miodrag Ol., Li J., Winter M. // Carbon. 2013. V. 64. P. 334–340. https://doi.org/10.1016/j.carbon.2013.07.083
- Ji X., Mu Y., Liang J., Jiang T., Zeng J., Lin Z., Lin Y., Yu J. // Carbon. 2021. V. 176. P. 21–30. https://doi.org/10.1016/j.carbon.2021.01.128
- Juarez-Yescas C., Ramos-Sánchez G., González I. // J. Solid State Electrochem. 2018. V. 22. P. 3225–3233. https://doi.org/10.1007/s10008-018-4021-0
- Chen Y., Zhang H., Chen Y., Qin G., Lei X., Liu L. // Mater. Sci. Forum. 2018. V. 913. P. 818–830. https://doi.org/10.4028/www.scientific.net/msf.913.818
- Fiyadh S.S., AlSaadi M.A., Jaafar W.Z., AlOmar M.Kh., Fayaed S.S., Mohd N.S., Hin L.S., El-Shafie A. // J. Cleaner Prod. 2019. V. 230. P. 783–793. https://doi.org/10.1016/j.jclepro.2019.05.154
- Zhang R., Zhang Y., Zhang Q., Xie H., Qian W., Wei F. // ACS Nano. 2013.V. 7. № 7. P. 6156–6161. https://doi.org/10.1021/nn401995z
- Garg A., Chalak H.D., Belarbi M-O., Zenkour A.M., Sahoo R. // Compos. Struct. 2021. V. 272 P. 114234. https://doi.org/10.1016/j.compstruct.2021.114234
- Zhang S., Hao A., Nguyen N., Oluwalowo A., Liu Z., Dessureault Y., Gyu J.P., Liang R. // Carbon. 2019. V. 144. P. 628–638. https://doi.org/10.1016/j.carbon.2018.12.091
- Li J., Ma P., Chow W., To C., Tang B. Kim J.-K. // Adv. Funct. Mater. 2007. V. 17. P. 3207–3215. https://doi.org/10.1002/adfm.200700065
- Wang K., Wu Y., Luo S., He X., Wang J., Jiang K., Fan S. // J. Power Sources. 2013. V. 233. P. 209–215. https://doi.org/10.1016/j.jpowsour.2013.01.102
- Belharouak I., Johnson C., Amine K. // Electrochem. Commun. 2005. V. 7. № 10. P. 983–988. https://doi.org/10.1016/j.elecom.2005.06.019
- Filimonenkov I.S., Urvanov S.A., Zhukova E.A., Karae-va A.R., Skryleva E.A., Mordkovich V.Z., Tsirlina G.A. // J. Electroanal. Chem. 2018. V. 827. P. 58–63. https://doi.org/10.1016/j.jelechem.2018.09.004
- Filimonenkov I.S., Urvanov S.A., Kazennov N.V., Tarelkin S.A., Tsirlina G.A., Mordkovich V.Z. // J. Appl. Electrochem. 2022. V. 52. P. 487–498. https://doi.org/10.1007/s10800-021-01652-z
- Meddings N., Heinrich M., Overney F., Lee J.S., Ruiz V., Napolitano E., Seitz S., Hinds G., Raccichini R., Gaberšček M., Park J. // J. Power Sources. 2020. V. 480. P. 228742. https://doi.org/10.1016/j.jpowsour.2020.228742
- Zhao N., Zhi X., Wang L., Liu Y., Liang G. // J. Alloys Compd. 2015. V. 645. P. 301–308. https://doi.org/10.1016/j.jallcom.2015.05.097
- Jin B., Gu H.B., Zhang W., Park K.H., Sun G. // J. Solid State Electrochem. 2008. V. 12. P. 1549–1554. https://doi.org/10.1007/s10008-008-0509-3
- Wei X., Guan Y., Zheng X., Zhu Q., Shen J., Qiao N., Zhou S., Xu B. // Appl. Surf. Sci. 2018, V. 440. P. 748–754. https://doi.org/10.1016/j.apsusc.2018.01.201
- Tian R., Alcala N., O’Neill S.J., Horvath D.V., Coelho J., Griffin A.J., Zhang Y., Nicolosi V., O`Dwyer C., Cole-man J.N. // ACS Appl. Energy Mater. 2020. V. 3. № 3. P. 2966–2974. https://doi.org/10.1021/acsaem.0c00034
- Dreyer W., Jamnik J., Guhlke C., Huth R., Moskon J., Gaberscer M. // Nat. Mater. 2010. V. 9. P. 448–453. https://doi.org/10.1038/nmat2730
- Fu Y., Wei Q., Zhang G., Zhong Y., Moghimian N., Tong X., Sun S. // Materials. 2019. V. 12. P. 842. https://doi.org/10.3390/ma12060842
- Zeng H., Ji X., Tsai F., Zhang Q., Jiang T., Li R. K.Y., Shi H., Luan S., Shi D. // Solid State Ionics. 2018. V. 320. P. 92–99. https://doi.org/10.1016/j.ssi.2018.02.040
- Li J., Ma P., Chow W., To C., Tang B., Kim J.-K. // Adv. Funct. Mater. 2007. V.17. P. 3207–3215. https://doi.org/10.1002/adfm.200700065
- Liu X-M., Huang D.Z., Oh S.-W., Zhang B., Ma P.-C., Yuen M.M.F., Kim J.‑K. // Compos. Sci. Technol. 2012. V. 72. № 2. P. 121–144. https://doi.org/10.1016/j.compscitech.2011.11.019
- Napolskiy F., Avdeev M., Yerdauletov M., Ivankov O., Bocharova S., Ryzhenkova S., Kaparova B., Mirono-vich K., Burlyaev D., Krivchenko V. // Energy Technol. 2020. V. 8. № 6. P. 2000146. https://doi.org/10.1002/ente.202000146
- Yoo J.-K., Oh Y., Park T., Lee K.E., Um M.-K., Yi J.-W. // Energy Technol. 2019. V. 7. № 5. 1800845. https://doi.org/10.1002/ente.201800845
Supplementary files








