Analytical proof of the scaling laws applicability for additive manufacturing
- Authors: Fomin V.M.1, Golyshev A.A.1, Medvedev A.E.1, Malikov A.G.1
-
Affiliations:
- Khristianovich Institute of Theoretical and Applied Mechanics, Siberian Branch of the Russian Academy of Sciences
- Issue: Vol 518, No 1 (2024)
- Pages: 64-68
- Section: МЕХАНИКА
- URL: https://bakhtiniada.ru/2686-7400/article/view/282890
- DOI: https://doi.org/10.31857/S2686740024050104
- EDN: https://elibrary.ru/HXGZBX
- ID: 282890
Cite item
Full Text
Abstract
It is shown that the problem of describing the technology of additive laser deposition can be considered within the framework of a self-similar thermal conductivity equation. It is shown that, under certain conditions, the depth of substrate penetration is well described by a self-similar solution. Based on the obtained self-similar solution, a two-parameter dependence of the penetration depth on the Peclet number (the ratio of the scanning speed to the rate of temperature change in the material) and dimensionless enthalpy (the ratio of the specific energy absorbed by the material and the energy required for melting) was obtained. It is shown that the obtained analytical dependence describes the experimental data quite accurately.
Full Text
При разработке новых материалов с помощью аддитивных технологий необходимо иметь возможность быстро оценить глубину и ширину проплава подложки для многочисленных комбинаций мощности лазерного излучения, скорости сканирования и размера лазерного пучка [1, 2]. Это позволит существенно уменьшить количество экспериментов и сэкономить время. Численное моделирование позволяет уменьшить количество натурных экспериментов, но тем не менее требует проведения сотен численных расчетов для различных параметров процесса лазерной наплавки.
Для уменьшения количества натурных и численных экспериментов исследуются законы подобия (или, как их еще называют, законы масштабирования) процессов лазерной наплавки [3–6]. В этих работах показано, что параметры зоны проплавления зависят от двух безразмерных параметров – нормализованной энтальпии и числа Пекле (отношения скорости сканирования к скорости изменения температуры в материале). В работе [4] на основе простой тепловой модели [7] были получены интерполяционные формулы в виде степенных функций от двух параметров (числа Пекле и нормализованной энтальпии), описывающих форму “ванны” расплава (ширину и глубину). В работе [5] показано, что независимо от объемной доли керамики безразмерные геометрические параметры единичного трека (глубина, ширина и высота) зависят от числа Пекле и нормализованной энтальпии. Эти зависимости были аппроксимированы алгебраическими выражениями.
УРАВНЕНИЯ ТЕПЛОПРОВОДНОСТИ ДЛЯ ЛАЗЕРНОГО НАГРЕВА
Рассмотрим тепловой процесс образования “ванны” расплава, не учитывая слой порошка, движение расплава и испарение материала. Некоторые обоснования такого упрощения задачи лазерной наплавки приведены в работе [4]: 1) теплопроводность порошка намного меньше, чем подложки; 2) порошок имеет более высокую абсорбционную способность, чем расплавленная поверхность; 3) параметры лазерной обработки будут в основном определяться на поздней стадии процесса, а влияние порошка в основном сказывается на начальном этапе. Не будет учитываться теплота плавления подложки, поскольку для металлов она мала по сравнению с энергией, необходимой для нагрева материала до температуры плавления.
Рассмотрим лазерный луч, сканирующий подложку со скоростью вдоль прямой линии по поверхности. Поверхность при этом нагревается. Рассмотрим одномерную задачу теплопроводности вглубь поверхности (координата ). Одномерное уравнение теплопроводности в эйлеровых координатах для случаев плоской , осевой и сферической симметрии имеет вид
(1)
где – удельная теплоемкость, – плотность теплового потока, – постоянная плотность среды, – коэффициент теплопроводности, – температура.
Перейдем к массовым переменным Лагранжа:
. (2)
Тогда одномерное уравнение теплопроводности в массовых переменных Лагранжа координатах запишется в виде
. (3)
В процессе лазерной наплавки луч движется по прямой вдоль поверхности. Число Пекле процесса обычно больше единицы – луч движется быстрее, чем изменяется температура в подложке, поэтому для описания процесса теплообмена в подложке лучше всего подходит одномерное приближение с осевой симметрией . В этом случае уравнения (2) и (3) станут следующими:
. (4)
ПОСТАНОВКА АВТОМОДЕЛЬНОЙ ЗАДАЧИ
Будем рассматривать процесс теплообмена при лазерной наплавке в автомодельной постановке. Пусть в момент времени вдоль оси симметрии выделяется энергия . В последующие моменты времени тепло распространяется от оси симметрии. В начальный момент времени среда является холодной:
. (5)
Если начальная температура , то замена переменной возвращает граничное условие к условию с холодной средой.
В данной постановке автомодельная задача для уравнений (4) с условием (5) была решена в работе [8]. Автомодельное решение [8] имеет вид
. (6)
Переходя к размерным переменным Эйлера из решения (6) и первого уравнения системы (4) найдем распределение температуры в среде:
, (7)
где α = λ/сρ – коэффициент температуропроводности.
СРАВНЕНИЕ С ЭКСПЕРИМЕНТАМИ
Рассмотрим эксперименты по прямому лазерному выращиванию металлокерамических треков [5].
Для описания термодинамических процессов введем число Пекле [9]:
, (8)
где – скорость сканирования, – диаметр лазерного пучка. Число Пекле представляет собой отношение скорости сканирования к скорости изменения температуры в материале и не учитывает процесс поглощения лазерного излучения и плавление материала.
Введем безразмерный энергетический параметр процесса лазерной наплавки – безразмерную энтальпию . Она представляет собой отношение удельной энергии, поглощенной материалом, к энергии, необходимой для плавления:
, (9)
где – изменение энтальпии, – энтальпия плавления [3], – температура плавления, – интегральный коэффициент поглощения, – мощность лазерного излучения.
Время действия лазерного излучения на подложку зависит от скорости сканирования и диаметра лазерного пучка с некоторым коэффициентом : . За это время глубина проплава достигнет значения . На границе проплава температура станет равной температуре плавления: . Энергия, которая выделяется при сканировании подложки лазером, равна . Подставляя значения времени и энергии в уравнение (7) и используя безразмерные параметры (8) и (9), получим формулу для радиуса проплава:
, (10)
где – параметр, – коэффициент формы проплава [5], – ширина проплава, – глубина проплава.
Формула предполагает, что “ванна” проплава имеет полукруглую форму, т.е. коэффициент . Это связано с одномерным решением с осевой симметрией. В реальности “ванна” проплава не всегда имеет полукруглую форму. На рис. 1 приведены схема и фотографии поперечных сечений единичных треков, показывающие переход от режима теплопроводности к режиму “кинжального” проплавления с характерными значениями безразмерной энтальпии и безразмерного числа Пекле . Поэтому для расчета некруглой формы проплава в формулу введен коэффициент .
Рис. 1. Схема (а) и фотографии поперечных сечений единичных треков при лазерной наплавке порошковой смеси ВТ-6 + 10% масс. SiC: режим теплопроводности ( , ) (б); режим “кинжального” проплавления ( , ) (в).
Экспериментальные данные работы [5] обсчитаны по формуле (10). Результаты сравнения экспериментов и теоретической формулы приведены на рис. 2 и 3.
Рис. 2. Безразмерная полуширина проплава w/2D в зависимости от безразмерной энтальпии B. Сравнение экспериментальных результатов (кружки) с расчетами (линия) по формуле (10) при n = 0.35, k = 1.
Рис. 3. Безразмерная полуширина проплава w/2D в зависимости от числа Пекле Pe. Сравнение экспериментальных результатов (кружки) с расчетами (линия) по формуле (10) при n = 0.35, k = 1.
Из рис. 2, 3 видно, что формула (10) хорошо описывает экспериментальные данные, за исключением больших чисел безразмерной энтальпии. Это может объясняться тем, что происходит переход от режима теплопроводности к режиму “кинжального” проплавления, для которого характерно наличие парогазового канала и глубокое проникновение излучения внутрь подложки с существенным ее проплавлением. Как результат, происходит изменение коэффициента поглощения лазерного излучения материалом , который учитывается в расчетах безразмерной энтальпии.
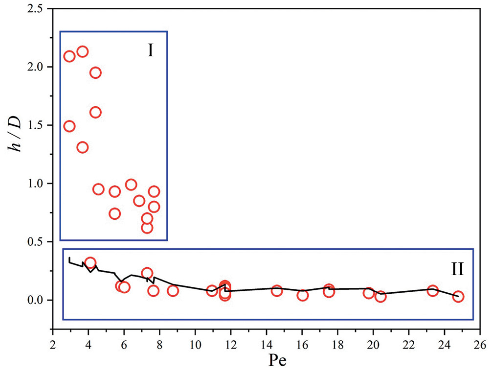
На рис. 4 показано сравнение экспериментальных [5] и расчетных по формуле данных по глубине проплавления. Видно, что формула (10) хорошо описывает эксперименты с зоной теплопроводности, но не описывает зону “кинжального” проплавления.
Рис. 4. Безразмерная глубина проплава h/D в зависимости от числа Пекле Pe. Сравнение экспериментальных результатов (кружки) с расчетами (линия) по формуле (10) при n = 0.35, k = 1. Выделены области: I – зона “кинжального” проплавления, II – зона теплопроводности.
ЗАКЛЮЧЕНИЕ
Задача описания технологии аддитивного лазерного выращивания рассмотрена в рамках автомодельного уравнения теплопроводности. Показано, что решение автомодельной задачи для уравнения теплопроводности с осевой симметрией хорошо описывает параметры “ванны” расплава. Получена двухпараметрическая зависимость ширины и глубины проплава от числа Пекле и безразмерной энтальпии. Проведено сравнение с экспериментальными данными [5]. Показано, что полученная аналитическая зависимость хорошо описывает экспериментальные данные c режимом теплопроводности, но не описывает “кинжальный” режим проплавления.
ИСТОЧНИК ФИНАНСИРОВАНИЯ
Работа выполнена в рамках государственного задания ИТПМ СО РАН.
About the authors
V. M. Fomin
Khristianovich Institute of Theoretical and Applied Mechanics, Siberian Branch of the Russian Academy of Sciences
Author for correspondence.
Email: fomin@itam.nsc.ru
Academician of the RAS
Russian Federation, NovosibirskA. A. Golyshev
Khristianovich Institute of Theoretical and Applied Mechanics, Siberian Branch of the Russian Academy of Sciences
Email: alexgol@itam.nsc.ru
Russian Federation, Novosibirsk
A. E. Medvedev
Khristianovich Institute of Theoretical and Applied Mechanics, Siberian Branch of the Russian Academy of Sciences
Email: medvedev@itam.nsc.ru
Russian Federation, Novosibirsk
A. G. Malikov
Khristianovich Institute of Theoretical and Applied Mechanics, Siberian Branch of the Russian Academy of Sciences
Email: smalik707@yandex.ru
Russian Federation, Novosibirsk
References
- Mukherjee T., DebRoy T. Control of asymmetric track geometry in printed parts of stainless steels, nickel, titanium and aluminum alloys // Computational Materials Science. 2020. V. 182. 109791. https://doi.org/10.1016/J.COMMATSCI.2020.109791
- Громов В.Е., Иванов Ю.Ф., Ефимов М.О., Шлярова Ю.А. Структура и свойства высокоэнтропийного сплава ALCRFECONI после электронно-ионно-плазменной обработки // Доклады РАН. Физика, технические науки. 2023. T. 511. № 1. С. 5–9. https://doi.org/10.31857/S2686740023040041
- Weaver J.S., Heigel J.C., Lane B.M. Laser spot size and scaling laws for laser beam additive manufacturing // J. Manufacturing Processes. 2022. V. 73. № August 2021. P. 26–39. https://doi.org/10.1016/j.jmapro.2021.10.053
- Rubenchik A.M., King W.E., Wu S.S. Scaling laws for the additive manufacturing // J. Materials Processing Technology. 2018. V. 257. P. 234–243. https://doi.org/10.1016/j.jmatprotec.2018.02.034
- Golyshev A.A., Malikov A.G. Scaling laws for the additive manufacturing of the AISI 316 L deposited by laser surface cladding and direct metal deposition methods // Optik. 2023. V. 295. August. № 171506. https://doi.org/10.1016/j.ijleo.2023.171506
- Голышев А.А., Сибирякова Н.А. Законы подобия при прямом лазерном вырашивании металлокерамических треков // Прикладная механика и техническая физика. 2023. V. 64. № 5. P. 102–107. https://doi.org/10.15372/PMTF202315287
- Eagar T.W., Tsai N.S. Temperature Fields Produced By Traveling Distributed Heat Sources // Welding Journal (Miami, Fla). 1983. V. 62. № 12. P. 346–355.
- Волосевич П.П., Леванов Е.И. Автомодельные решения задач газовой динамики и теплопереноса. М.: Изд-во МФТИ, 1997. 240 с.
- Mukherjee T., Manvatkar V., De A., DebRoy T. Dimensionless numbers in additive manufacturing // Journal of Applied Physics. 2017. V. 121. № 064904. https://doi.org/10.1063/1.4976006
Supplementary files






