Self-similar solutions of the bed deformation

Capa

Citar

Texto integral

Resumo

In this paper, a conclusion about the self-similar behavior of the bed surface evolution is made. It is based on the analysis of experimental and numerical studies of the bed surface evolution under the mechanical impact of liquid flow. The bottom wave has a form close to one period of a sinusoidal function with a time-varying wavelength and constant steepness. A method of constructing the automodel dependence of the bed surface on time and spatial coordinate in analytical form is proposed. It was shown that it is enough to select five bottom surfaces with given wavelengths from a series of shapes. Next, the mean values of shear stresses are calculated for them, and the rates of change of wavelengths are found. Then a degree of approximation of the wavelength dependence of its rate of change is determined, and, finally, the exact solution of the corresponding differential equation is obtained. Comparison with experimental data and numerical solutions shows that the solution error does not exceed a few percent and that computational time is reduced by 25–30 times.

Texto integral

Традиционно для изучения деформаций дна, возникающих под воздействием протекающего по нему гидродинамического потока, используют нестационарные русловые модели [1], требующие значительных вычислительных затрат [2]. Поскольку результаты решения таких задач используются в большом количестве прикладных проектов (прокладка трубопроводов по дну рек [3, 4], деформирование донной поверхности в нижних бьефах гидроузлов [5–7], воздействия движителей судов на дно [8] и т.д.), то возможность сокращения времени расчета имеет большое значение для практики.

В работе выполнен анализ возможности использования автомодельного характера донной деформации для значительного сокращения расчетного времени руслового процесса, эволюционирующего в автомодельном приближении.

1. Автомодельный размыв дна

Экспериментальные данные донной поверхности, размываемой под действием гидродинамического потока [3–8], показывают, что данные процессы имеют автомодельный характер [9–11]. На рис. 1 представлены серии экспериментальных кривых, из которых видно, что донную поверхность во все моменты времени можно представить в следующем виде:

σxζ0(t)=ζ(t,x)ζ0(t)=sin2πqxζ0(t), qxζ0(t)(0, 1)   0,  qxζ0(t)(0, 1) (1)

q=ζ0/λ. (2)

Физически величина q равна крутизне донной волны и по данным экспериментов различных русловых процессов является постоянной величиной. Например, по данным экспериментальных кривых для эволюции донной поверхности под трубой на дне реки q = ζ0 / λ = 0.08 (рис. 1а [11]). Другой пример эволюции донной поверхности под воздействием плоской придонной струи (течение из-под щита), по данным работы [6], изображен на рис. 1б. Из него видно, что для шести различных моментов времени сохраняется синусоидальная форма донной поверхности, меняются длина и амплитуда донной волны, а их отношение остается постоянным.

 

Рис. 1. Эволюция донной поверхности: а – под трубой на дне реки [11], б – под воздействием плоской придонной струи по данным работы [6], 1 – синусоидальная аппроксимация.

 

Автомодельные синусоидальные формы (1) изображены на рис. 1 в виде сплошных линий. Изменение амплитуды волны ζ0(t) и ее длины λ(t) во времени аппроксимируются степенными функциями

λ=αtβ,ζ0=qαtβ. (3)

Например, для автомодельных донных форм на рис. 1б α = 70, β = 1 / 8.

2. Математическая постановка задачи

При описании эволюции уровня донной поверхности ζ используется закон сохранения донного материала (уравнение Экснера)

1εζt+Gx=0, (4)

где G – объемный расход влекомых наносов для частиц грунта, движущихся в активном придонном слое, ε – пористость донного материала.

Для замыкания уравнения (4) используется теоретическая зависимость

G=G0TTc3/2ηTTc1+Γ,Γ=1tgϕζx,Tc=T0c1+Γ,G0=g0gρsρwρw,g0=43κ tgφ,T0c=98κ2tgϕρsρwgdcx, (5)

где Tc – критическое придонное касательное напряжение, Tc0 – критическое напряжение на ровном дне, η(z) – функция Хевисайда.

Теоретическая зависимость (5) подтверждена всеми наиболее известными и надежными экспериментальными данными. Уравнения (5) и (4) совместно с уравнениями гидродинамики представляют собой замкнутую, но весьма сложную систему уравнений, позволяющую рассчитывать эволюцию донной поверхности под воздействием различных гидродинамических факторов: течение под трубой, под воздействием придонной струи и другие. Используя автомодельную геометрию донной волны, можно описать ее эволюцию, сократив расчетное время почти на два порядка.

3. Уравнение для распределения напряжения на донной поверхности при отсутствии транзитных наносов

С помощью автомодельного решения (1) можно найти распределение напряжения на донной поверхности. Для этого подставим его в уравнение Экснера. Для производной по времени функции ζ(t, x) имеем

ζt=qλ˙sin2πλ(t)x+λcos2πλ(t)x2πxλ2(t)λ˙==qλ˙sin2πλ(t)x+2πxλ(t)cos2πλ(t)x,λ˙=dλdt.

Проинтегрируем уравнение Экснера (4) по x:

(1ε)0xζtdx+G(t,x)=G(0),0xζtdx=qλ˙xsin2πxλλ1cos2πxλπ==q2πλ˙λΦ(ξ)G(t,x)G(0)=(1ε)q2πλ˙(t)λ(t)Φ(ξ),Φ(ξ)=22cosξξsinξ,ξ=2πxλ.

Отсюда, предполагая, что G(0) – (транзитный расход наносов) равен нулю, с помощью (5) получим уравнение для распределения напряжения на донной поверхности T:

G0TTc3/2ηTTc1+Γ=(1ε)q2πλ˙(t)λ(t)Φ(ξ),

разрешая которое относительно T, найдем

TT0c=12πqtgφcosξ++(1+Γ(ξ))Φ(ξ)2/3 Λt2/3,Λ(t)=1εq2πλ˙(t)λ(t)G0T0c3/2,Γ=1tgϕζx=2πqtgφcosξ,ξ=2πλ(t)x. (6)

Графики функций Φ(ζ) и Г(ζ), входящих в (6), изображены на рис. 2а, 2б соответственно.

 

Рис. 2. Графики функций Ф(ξ) (а) и Г(ξ) (б).

 

С помощью (6) можно получить связь среднего значения напряжения на донной волне с функцией Λ(t):

 T¯(λ)T0c=12π02πTT0cdξ=1+-Λ2/3,-=12π02π12πqtgφcosξ2/3Φξ2/3dξ.

Коэффициент С при изменении множителя 2πqtgφ на интервале (0.4, 0.8) меняется незначительно в пределах (1.97, 2.01). Поэтому можно принять

 T¯(λ)T0c=12π02πTT0cdξ=1+2Λ2/3. (7)

Разрешая с помощью (6) это уравнение относительно dλ / dt, получим дифференциальное соотношение:

dλdt=KλT¯(λ)T0c13/2,K=πG0T0c3/22(1ε)q. (8)

4. Схема расчета эволюции автомодельной донной волны

Предлагается следующий алгоритм для расчета эволюции донной волны в автомодельной форме (3) с помощью уравнения (8). Пусть имеется набор донных волн в виде (1) с длинами волн λ1, λ2, ..., λk. Для каждой донной волны λi из решения уравнений гидродинамики численно находится распределение напряжений на равномерной сетке донной волны: T1, T2, ..., TN. По этим значениям по формулам

 T¯(λ)T0c=1Ni=1NTiT0c,T0c=9κ2tgϕ8cx(ρsρw)gd

вычисляются значения

T¯(λ1)/T0c, T¯(λ2)/T0c, ..., T¯(λk)/T0c

и из дифференциального соотношения (8) находится таблица значений производных

λ˙1λ1,  λ˙2λ2, ..., λ˙kλk,λ˙i=dλidt.

Аппроксимация табличных значений в виде

dλdt=Aλn (9)

находится методом наименьших квадратов. Из условия минимума функции

F=i=1k(lnλ˙ilnA+nlnλi)2

получаем систему двух линейных относительно lnA и n уравнений

i=1k(lnλ˙ilnA+nlnλi)=0,i=1k(lnλ˙ilnA+nlnλi)lnλi=0.  (10)

В свою очередь, уравнение (9) имеет точное решение

λ(t)=n+1A1/n+1t1/n+1.  (11)

После подстановки в него найденных из системы уравнений (10) значений A и n получаем функцию λ(t). Такой подход позволяет существенно сократить расчетное время.

5. Расчетный пример

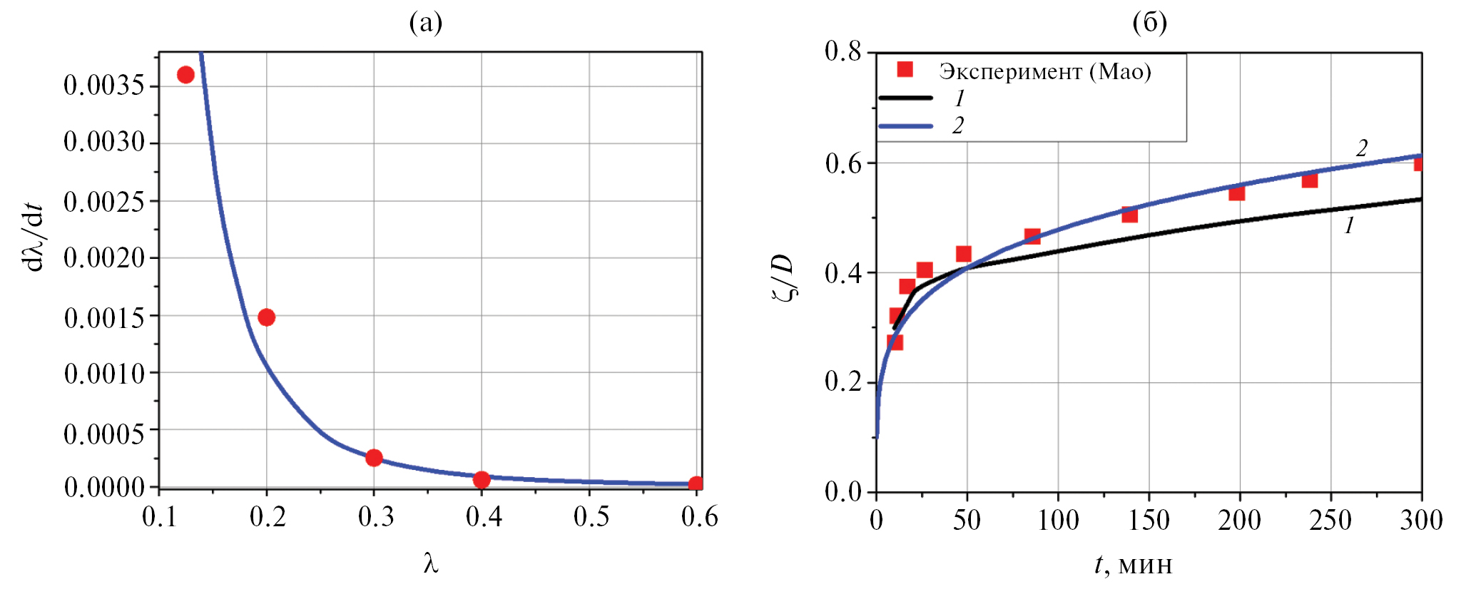
Для численного расчета напряжений на синусоидальном дне использовался открытый программный комплекс OpenFOAM. Рассматривались обтекания цилиндра (диаметр D = 0.1 м) с различными формами донной поверхности потоком воды со скоростью 0.4 м/c. Определялись напряжения на донной поверхности для синусоидальных форм с длинами волн λ = 0.125, 0.2, 0.3, 0.4, 0.6 и крутизной q = a / λ = 0.08. На рис. 3 представлены постановка задачи (а) и различные формы донных синусоидальных волн (б); результаты расчета обтекания цилиндра над донными волнами: длина волны 3D (в) и длина волны 6D (г).

 

Рис. 3. Постановка задачи обтекания цилиндра: а – схема расчетной области. Гin – входная граница, Гout – выходная граница, Гbed – донная граница, Гtop – верхняя граница; б – формы донной поверхности; результаты расчета обтекания цилиндра над донными волнами: в – длина волны 3D; г – длина волны 6D.

 

По результатам численного моделирования для пяти значений длин волн λ с крутизной волн q = 0.08 получены средние напряжения T¯=0.99,0.84,  0.56,  0.46,  0.42. Данные для песка на дне в системе СИ: диаметр песчинок d = 0.00035, пористость ε = 0.35, параметр Кармана ê = 0.25, коэффициент сопротивления песчаных частиц cx = 0.55, предельный угол трения tg φ = 0.5, плотность песка ρs = 2650, плотность воды ρw = 1000. Напряжение на бесконечности ~0.36. Транзитные наносы отсутствуют.

По представленным данным определяем

G0=43κ tgφ gρsρwρw=0.0000209,T0c=9κ2tgϕ8cx(ρsρw)gd=0.362,K=πG0T0c3/22(1ε)q=0.000194

и с помощью (8) находим значения скорости изменения длины волны dλ / dt = 0.00355, 0.00147, 0.000262, 0.0000686, 0.0000209.

Результаты расчетов представлены в табл. 1.

 

Таблица 1

λ

a

T¯dλ/dt

1.25D

0.1

0.99

0.00355

2D

0.16

0.84

0.00147

3D

0.24

0.56

0.000262

4D

0.32

0.46

0.0000686

6D

0.48

0.42

0.0000209

 

Методом наименьших квадратов из системы уравнений (10) находим коэффициенты интерполяционной функции λ˙=Aλn lnA = −12.47, A = 0.00000385, n = 3.42. Сравнение интерполяционной кривой λ˙=Aλn с представленными в табл. 1 красными точками приведено на рис. 4а. Решение определяется по формуле (11). Подставляя найденные значения A, n, получим

λ(t)(м)  ​= ​ 0.0834t(c)0.226 ​= ​ 0.211t(мин)0.226 .

График зависимости

ζ(t)/D = 0.0169  t0.226/D

изображен на рис. 4б синей линией в сравнении с экспериментальными данными [11] и результатами расчета непрерывного размыва донной поверхности и деформации сетки [12].

 

Рис. 4. Сравнение результатов: а – расчетные точки со степенной аппроксимацией; б – расчет [12] (1), экспериментальные данные [11] (красные точки), предложенная модель (2).

 

Из графика видно удовлетворительное совпадение численного расчета и эксперимента с теоретической моделью. Погрешность вычислений ζ(t) не превышает нескольких процентов. При этом численное моделирование гидродинамики с учетом размыва требует до 8 ч. Определение напряжений для 5 рассмотренных случаев и решение задачи по предложенному алгоритму составило порядка 15 мин, т.е. расчетное время сократилось в 30 раз. Стоит отметить, что предложенная модель зависит от численных результатов напряжений на донной поверхности, которые напрямую определяются моделью турбулентности и их коэффициентами, реализацией пристеночных функций, расчетной сеткой, что может привести к увеличению погрешности расчета. Можно также отметить, что точность расчета практически не изменится, если выбрать из таблицы значения только для четырех длин волн λ=:1.25D,3D,4D. При этом время сократится на 20%.

Таким образом, предложенная модель позволяет дать приемлемую оценку глубины размыва донной поверхности за расчетное время, почти на два порядка меньшее прямого численного моделирования.

Источник финансирования

Исследования выполнены за счет гранта Российского научного фонда № 23-71-10091.

×

Sobre autores

А. Petrov

Ishlinsky Institute for Problems in Mechanics of the Russian Academy of Sciences

Autor responsável pela correspondência
Email: petrovipmech@gmail.com
Rússia, Moscow

I. Potapov

Computing Center of the FEB RAS

Email: petrovipmech@gmail.com

Хабаровский федеральный исследовательский центр

Rússia, Khabarovsk

A. Epikhin

Ivannikov Institute for System Programming of the Russian Academy of Sciences

Email: petrovipmech@gmail.com
Rússia, Moscow

Bibliografia

  1. Петров А.Г., Потапов И.И. Избранные разделы русловой динамики. М.: Ленанд, 2019. 244 с.
  2. Беликов В.В., Алексюк А.И. Модели мелкой воды в задачах речной гидродинамики. М.: РАН, 2020. 346 с.
  3. Sandra Paskin. The Self-Burial of Seabed Pipelines // Thesis. University of London. 1993. 361 p.
  4. Dey S., Navneet P. Singh Clear-Water Scour below Underwater Pipelines under Steady Flow // J. Hydraul. Eng. 2008. V. 134. № 5. P. 588–600.
  5. Chatterjee S.S., Ghosh S.N., Chatterjee M. Local scour due to submerged horizontal jet // J. Hydraulic Engineering. 1994. V. 120. № 8. Р. 937–991.
  6. Dey S., Sarkar A. Scour Downstream of an Apron Due to Submerged Horizontal Jets // J. Hydraulic Engineering. 2006. V. 132. № 3. March 1. Р. 246–257.
  7. Aamir M., Ahmad Z. Hydraulics of submerged jets causing scour downstream of a rough rigid apron // 14th International Symposium on River Sedimentation. Chengdu, China. 2019. September 16–19. Р. 1–10.
  8. Samma H., Amir Khosrojerdi, Masoumeh Rostam-Abadi, Mojtaba Mehraein, Yovanni Cataño-Lopera. Numerical simulation of scour and flow field over movable bed induced by a submerged wall jet // IWA Publishing 2020. J. Hydroinformatics. 2020. V. 22. № 2. Р. 386–401.
  9. Седов Л.И. Методы подобия и размерности в механике. М.: Наука, Гл. ред. физ.-мат. лит., 1987. 432 с.
  10. Ландау Л.Д., Лифшиц Е.М. Теоретическая физика. Т. 6. Гидродинамика. М.: Физматлит, 2015. 728 с.
  11. Mao Y. The interaction between a pipeline and an erodible bed. Ser. Paper 39. Institute of Hydrodynamics and Hydraulic Engineering, Technical Univ. of Denmark, Lyngby, Denmark. 1986
  12. Liang D., Huang J., Zhang J., Shi S., Zhu N., Chen J. Three-Dimensional Simulations of Scour around Pipelines of Finite Lengths // J. Mar. Sci. Eng. 2022. V. 10. P. 106. https://doi.org/10.3390/jmse10010106

Arquivos suplementares

Arquivos suplementares
Ação
1. JATS XML
2. Fig. 1. Evolution of the bottom surface: a – under a pipe on the river bottom [11], b – under the influence of a flat bottom jet according to data from [6], 1 – sinusoidal approximation.

Baixar (191KB)
3. Fig. 2. Graphs of functions Ф(ξ) (a) and Г(ξ) (b).

Baixar (99KB)
4. Fig. 3. Statement of the problem of flow past a cylinder: a – scheme of the computational domain. Гin – input boundary, Гout – output boundary, Гbed – bottom boundary, Гtop – upper boundary; b – shapes of the bottom surface; results of calculation of flow past a cylinder over bottom waves: c – 3D wavelength; g – 6D wavelength.

Baixar (388KB)
5. Fig. 4. Comparison of results: a – calculated points with power approximation; b – calculation [12] (1), experimental data [11] (red dots), proposed model (2).

Baixar (201KB)

Nota

Presented by Academician of the RAS R.I. Nigmatullin


Declaração de direitos autorais © Russian Academy of Sciences, 2024

Согласие на обработку персональных данных с помощью сервиса «Яндекс.Метрика»

1. Я (далее – «Пользователь» или «Субъект персональных данных»), осуществляя использование сайта https://journals.rcsi.science/ (далее – «Сайт»), подтверждая свою полную дееспособность даю согласие на обработку персональных данных с использованием средств автоматизации Оператору - федеральному государственному бюджетному учреждению «Российский центр научной информации» (РЦНИ), далее – «Оператор», расположенному по адресу: 119991, г. Москва, Ленинский просп., д.32А, со следующими условиями.

2. Категории обрабатываемых данных: файлы «cookies» (куки-файлы). Файлы «cookie» – это небольшой текстовый файл, который веб-сервер может хранить в браузере Пользователя. Данные файлы веб-сервер загружает на устройство Пользователя при посещении им Сайта. При каждом следующем посещении Пользователем Сайта «cookie» файлы отправляются на Сайт Оператора. Данные файлы позволяют Сайту распознавать устройство Пользователя. Содержимое такого файла может как относиться, так и не относиться к персональным данным, в зависимости от того, содержит ли такой файл персональные данные или содержит обезличенные технические данные.

3. Цель обработки персональных данных: анализ пользовательской активности с помощью сервиса «Яндекс.Метрика».

4. Категории субъектов персональных данных: все Пользователи Сайта, которые дали согласие на обработку файлов «cookie».

5. Способы обработки: сбор, запись, систематизация, накопление, хранение, уточнение (обновление, изменение), извлечение, использование, передача (доступ, предоставление), блокирование, удаление, уничтожение персональных данных.

6. Срок обработки и хранения: до получения от Субъекта персональных данных требования о прекращении обработки/отзыва согласия.

7. Способ отзыва: заявление об отзыве в письменном виде путём его направления на адрес электронной почты Оператора: info@rcsi.science или путем письменного обращения по юридическому адресу: 119991, г. Москва, Ленинский просп., д.32А

8. Субъект персональных данных вправе запретить своему оборудованию прием этих данных или ограничить прием этих данных. При отказе от получения таких данных или при ограничении приема данных некоторые функции Сайта могут работать некорректно. Субъект персональных данных обязуется сам настроить свое оборудование таким способом, чтобы оно обеспечивало адекватный его желаниям режим работы и уровень защиты данных файлов «cookie», Оператор не предоставляет технологических и правовых консультаций на темы подобного характера.

9. Порядок уничтожения персональных данных при достижении цели их обработки или при наступлении иных законных оснований определяется Оператором в соответствии с законодательством Российской Федерации.

10. Я согласен/согласна квалифицировать в качестве своей простой электронной подписи под настоящим Согласием и под Политикой обработки персональных данных выполнение мною следующего действия на сайте: https://journals.rcsi.science/ нажатие мною на интерфейсе с текстом: «Сайт использует сервис «Яндекс.Метрика» (который использует файлы «cookie») на элемент с текстом «Принять и продолжить».