INFLUENCE OF THE DIRECTION OF SOURCES ON THE PHASE INVARIANTS OF VECTOR-SCALAR FIELDS IN A SHALLOW SEA
- Авторлар: Kuznetsov G.N.1, Stepanov A.N.1,2
-
Мекемелер:
- Prokhorov General Physics Institute of the Russian Academy of Sciences
- Samara National Research University
- Шығарылым: Том 512, № 1 (2023)
- Беттер: 17-23
- Бөлім: ФИЗИКА
- URL: https://bakhtiniada.ru/2686-7400/article/view/232958
- DOI: https://doi.org/10.31857/S2686740023050073
- EDN: https://elibrary.ru/OVJEMS
- ID: 232958
Дәйексөз келтіру
Толық мәтін
Аннотация
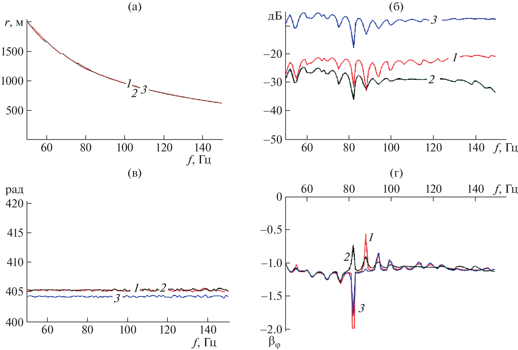
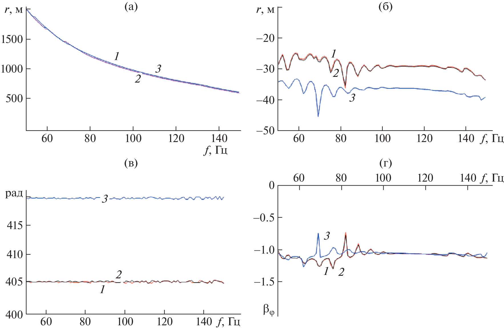
For the first time, the properties of the phase invariant of sound to vector-scalar fields formed in a waveguide by directional multipole sources are studied. It is shown that when even such complex sources are used, the phase invariant is valid for sound pressure and for projections of the vibrational velocity vector. It practically does not depend on the directivity and frequency of the source, the distance between the receiver and the source, and on the parameters of the waveguide.
Авторлар туралы
G. Kuznetsov
Prokhorov General Physics Institute of the Russian Academy of Sciences
Хат алмасуға жауапты Автор.
Email: skbmortex@mail.ru
Russia, Moscow
A. Stepanov
Prokhorov General Physics Institute of the Russian Academy of Sciences; Samara National Research University
Email: skbmortex@mail.ru
Russia, Moscow; Russia, Samara
Әдебиет тізімі
- Чупров С.Д. Интерференционная структура звукового поля в слоистом океане // Акустика океана. Современное состояние. М.: Наука, 1982. С. 71–91.
- Kuznetsov G.N., Stepanov A.N. Interference and Phase Invariants of Sound Fields // Physics of Wave Phenomena. 2021. V. 29. № 3. P. 285–292.
- Бреховских Л.М. Волны в слоистых средах. М.: Наука, 1973. 279 с.
- Кузнецов Г.Н., Степанов А.Н. Векторно-скалярные поля мультипольных гидроакустических источников, эквивалентных шумоизлучению морских объектов. М.: Буки-Веди, 2022. 304 с.
Қосымша файлдар







