TURBULENT BOUNDARY LAYER ON A PERMEABLE PLATE IN SUPERSONIC FLOW WITH POSITIVE PRESSURE GRADIENT UNDER FOREIGN GAS INJECTION
- Authors: Leontiev A.I.1,2, Lushchik V.G.1, Makarova M.S.1
-
Affiliations:
- Institute of Mechanics of Lomonosov Moscow State University
- Bauman Moscow State Technical University
- Issue: Vol 510, No 1 (2023)
- Pages: 64-69
- Section: МЕХАНИКА
- URL: https://bakhtiniada.ru/2686-7400/article/view/135947
- DOI: https://doi.org/10.31857/S2686740023030124
- EDN: https://elibrary.ru/OYZVDL
- ID: 135947
Cite item
Full Text
Abstract
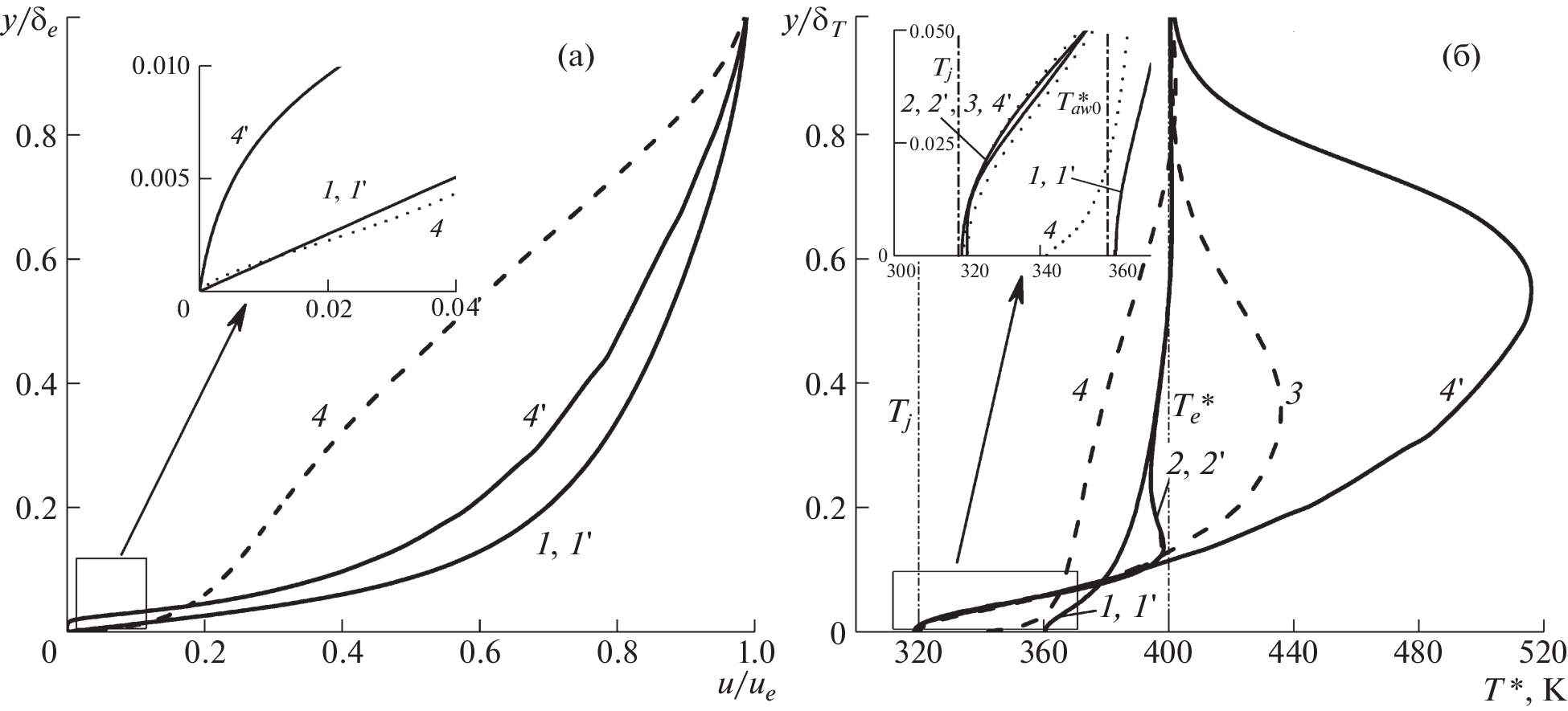
A numerical simulation of a turbulent boundary layer on a permeable plate with helium injection into a supersonic xenon flow in the presence of a positive longitudinal pressure gradient has been carried out. The injection regimes are considered, in which the temperature of the injected gas is lower than the temperature of the adiabatic impermeable wall and the stagnation temperature of the oncoming flow. The existence of a minimum temperature of the permeable wall is confirmed, at which the wall temperature is lower than the temperature of the injected gas, while there are two sections along the length of the permeable plate in which the adiabatic conditions are satisfied. The results of calculations of a supersonic flow with a longitudinal pressure gradient differ significantly from the results obtained for a gradientless flow around a plate, both for subcritical and critical injection.
About the authors
A. I. Leontiev
Institute of Mechanics of Lomonosov Moscow State University; Bauman Moscow State Technical University
Email: mariia.makarova@gmail.com
Russia, Moscow; Russia, Moscow
V. G. Lushchik
Institute of Mechanics of Lomonosov Moscow State University
Author for correspondence.
Email: vgl_41@mail.ru
Russia, Moscow
M. S. Makarova
Institute of Mechanics of Lomonosov Moscow State University
Author for correspondence.
Email: mariia.makarova@gmail.com
Russia, Moscow
References
- Shirokow M. // Technical Physics of the USSR. 1936. V. 3. № 12. P. 1020.
- Neumann R.D., Freeman D.C. // J. of Spacecraft and Rockets. 2012. V. 49. № 6. P. 1080–1087.
- Gomes A., Niehuis R. // Proc. of ASME Turbo Expo. 2013. P. 1–8.
- Леонтьев А.И., Лущик В.Г., Макарова М.С., Попович С.С. // Теплофизика высоких температур. 2022. Т. 60. № 3. С. 455–480.
- Pohlhausen E. // ZAMM, Journal Applyed Mathemantics /Zeitschrift für Angewandte Mathematik und Mechanik. 1921. V. 1. P. 115–121.
- Eckert E.R.G. // Int. Commun. Heat Mass Transf. 1986. V. 13. P. 127–143.
- Kulkarni K.S., Madanan U., Goldstein R.J. // Int. J. HeatMass Transfer. 2020. V. 152. 119498.
- Stinson M., Goldstein R.J. // First Thermal and Fluids Engineering Summer Conference, 2016. P. 945.
- Hayes J.R., Neumann R.D. // Tactical Missile Aerodynamics. Progress in Astronautics and Aeronautics Series. V. 142. Washington: AIAA, 1992. P. 63.
- Леонтьев А.И. // Теплофизика высоких температур. 1997. Т. 35. № 1. С. 157.
- Волчков Э.П., Макаров М.С. // Изв. РАН. Энергетика. 2006. № 2. С. 9–31.
- Ковальногов Н.Н. // Изв. вузов. Авиационная техника. 2010. № 3. С. 28.
- Макаров М.С., Макарова С.Н. // Теплофизика и аэромеханика. 2013. Т. 20. № 6. С. 777.
- Бурцев С.А. // Теплофизика высоких температур. 2014. Т. 52. № 1. С. 14.
- Leontiev A.I., Lushchik V.G., Makarova M.S. // Proc. 16th International Heat Transfer Conference. IHTC-16 August 10–15, 2018. Beijing, China. 2018. № 24138.
- Bunker R.S. // J. Heat Transfer. 2005. V. 127. P. 441–453.
- Johnson H., Rubesin M.W. // Trans. ASME. 1949. V. 75. № 5. P. 447.
- Ackerman G. // Forschung auf dem Gebiete des Ingenieurwesens. 1942. Bd. 13. S. 226.
- El-Genk M.S., Tournier J.M. // Energy Convers. Manag. 2008. V. 49. P. 1882–1891.
- Belcher J.R., Slaton W.V., Raspet R., Bass H.E., Lightfoot J. // J. Acoust. Soc. Am. 1999. V. 105. P. 2677–2684.
- Киров В.С., Кожелупенко Ю.Д., Тетельбаум С.Д. // Инженерно-физический журнал. 1974. Т. 26. № 2. С. 226–228.
- Александров А.А., Григорьев Б.А. Таблицы теплофизических свойств воды и водяного пара. Справочник. М.: Издательство МЭИ, 1999. 168 с.
- Варгафтик Н.Б. Справочник по теплофизическим свойствам газов и жидкостей. М.: Наука, 1972. 720 с.
- Leontiev A.I., Lushchik V.G., Makarova M.S. // Int. J. Heat Mass Transfer. 2020. V. 147. № 118959. P. 1–7.
- Леонтьев А.И., Лущик В.Г., Макарова М.С. // Доклады Академии наук. 2018. Т. 482. № 1. С. 38–41.
- Лущик В.Г., Макарова М.С. // Изв. РАН. Механика жидкости и газа. 2020. № 5. С. 61–64.
- Леонтьев А.И., Лущик В.Г., Макарова М.С. // Доклады Академии наук. 2022. Т. 502. № 1. С. 60–64.
- Лущик В.Г., Макарова М.С. // Теплофизика и аэромеханика. 2018. Т. 25. № 2. С. 177–190.
- Leontiev A.I., Lushchik V.G., Makarova M.S. // Computational Thermal Sciences. 2019. V. 11. № 1–2. P. 41–49.
- Лущик В.Г., Макарова М.С. // Изв. РАН. Механика жидкости и газа. 2022. № 3. С. 102–114.
- Makarova M.S., Lushchik V.G. // Journal of Physics: Conference Series. 2017. V. 891. № 012066.
- Рид Р., Праусниц Дж., Шервуд Г. Свойства газов и жидкостей. Л.: Химия, 1982. 592 с.
- Clauser F.H. // Journal of the Aeronautical Sciences. 1954. V. 21. P. 91–108.
Supplementary files






