DEPENDENCE OF THE POSITION OF PHONON IR ABSORPTION BANDS OF GERMANIUM ISOTOPES ON THEIR MASS NUMBER
- Authors: Kropotov G.I.1, Bulanov A.D.2, Rogalin V.E.3, Kaplunov I.A.4, Shakhmin A.A.1
-
Affiliations:
- Tydex LLC
- G.G. Devyatykh Institute of Chemistry of High-Purity Substances of the Russian Academy of Sciences
- Institute of Electrophysics and Electric Power of the Russian Academy of Sciences
- Tver State University
- Issue: Vol 511, No 1 (2023)
- Pages: 10-15
- Section: ФИЗИКА
- URL: https://bakhtiniada.ru/2686-7400/article/view/135930
- DOI: https://doi.org/10.31857/S2686740023040077
- EDN: https://elibrary.ru/VORYLJ
- ID: 135930
Cite item
Full Text
Abstract
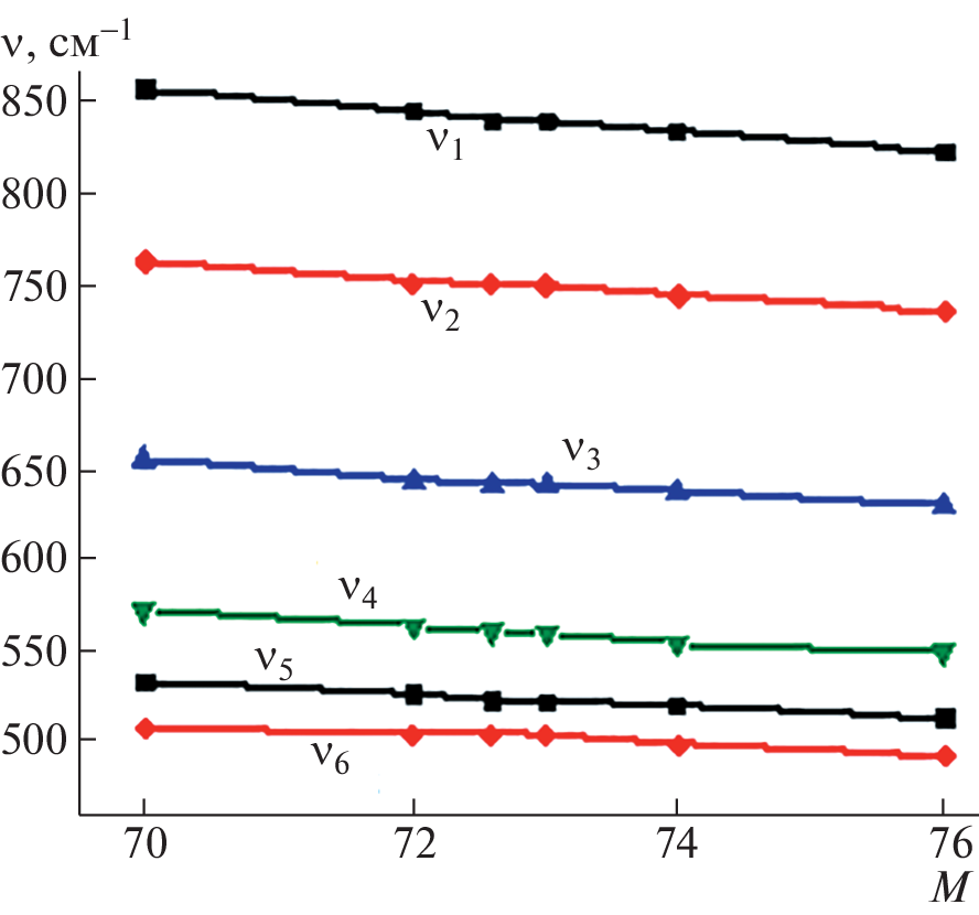
For the first time, in a single experiment, the dependence of the position of the phonon absorption peaks in the IR spectrum (range 11–40 μm) for all five stable monoisotopic germanium single crystals was studied. The dependence obtained can be used to study the mass composition of germanium of various isotopic purity.
About the authors
G. I. Kropotov
Tydex LLC
Author for correspondence.
Email: grigorykropotov@tydex.ru
Russia, St. Petersburg
A. D. Bulanov
G.G. Devyatykh Institute of Chemistry of High-Purity Substances of the Russian Academy of Sciences
Email: kaplunov.ia@tversu.ru
Russia, Nizhny Novgorod
V. E. Rogalin
Institute of Electrophysics and Electric Power of the Russian Academy of Sciences
Author for correspondence.
Email: v-rogalin@mail.ru
Russia, St. Petersburg
I. A. Kaplunov
Tver State University
Author for correspondence.
Email: kaplunov.ia@tversu.ru
Russia, Tver
A. A. Shakhmin
Tydex LLC
Email: kaplunov.ia@tversu.ru
Russia, St. Petersburg
References
- Claeys L., Simoen E. Germanium–based technologies: from materials to devices. Berlin: Elsevier, 2007. 449 p. https://doi.org/10.1016/B978-0-08-044953-1.X5000-5
- Каплунов И.А., Рогалин В.Е. Оптические свойства и области применения германия в фотонике // Фотоника. 2019. Т. 13. № 1. С. 88–106. https://doi.org/10.22184/FRos.2019.13.1.88.106
- Гусев А.В., Гибин А.М., Андрющенко И.А., Гавва В.А., Козырев Е.А. Теплоемкость высокочистого изотопно-обогащенного германия-76 в интервале 2-15 K // ФТТ. 2015. Т. 57. № 9. С. 1868–1870.
- Чурбанов М.Ф., Карпов Ю.А., Зломанов П.В., Фёдоров В.А. Высокочистые вещества. М.: Научный мир, 2018. 996 с.
- Гавва В.А., Трошин О.Ю., Адамчик С.А., Лашков А.Ю., Абросимов Н.В., Гибин А.М., Отопкова П.А., Созин А.Ю., Буланов А.Д. Получение монокристаллического изотопно-обогащенного германия-70 гидридным методом // Неорганические материалы 2022. Т. 58. № 3. С. 258–263. https://doi.org/10.31857/S0002337X22030058
- Изотопы: свойства, получение, применение. под ред. В.Ю. Баранова. В 2 т. Т. 1. М.: Физматлит, 2005. 600 с.
- Ожогин В.И., Инюшин А.В., Талденков А.Н., Тихомиров А.В., Попов Г.Э., Халлер Ю., Ито К. Изотопический эффект в теплопроводности монокристаллов германия // Письма в ЖЭТФ. 1996. Т. 63. № 6. С. 463–467.
- Sanati M., Estreicher S.K., Cardona M. Isotopic dependence of the heat capacity of c-C, Si, and Ge: an ab initio calculation // Solid State Commun. 2004. V. 131. Is. 3–4. P. 229–233. https://doi.org/10.1016/j.ssc.2004.04.043
- Inyushkin A.V., Taldenkov A.N., Gibin A.M., Gusev A.V., Pohl H.-J. On the isotope effect in thermal conductivity of silicon // Physica status solidi (C). 2005. V. 1. Is. 11. P. 2995–2998. https://doi.org/10.1002/pssc.200405341
- Кулеев И.Г., Кулеев И.И., Инюшкин А.В., Ожогин В.И. О возможности “гигантского” изотопического эффекта для поглощения ультразвука в кристаллах // ЖЭТФ. 2005. Т. 128. Вып. 2 (8). С. 370–380.
- Hu M.Y., Sinn H., Alatas A., Sturhahn W., Alp E.E., Wille H.-C., Shvyd’ko Yu.V., Sutter J.P., Ozhogin V.I., Rodriguez S., Colella R., Kartheuser E., Villeret M.A. Effect of isotopic composition on the lattice parameter of germanium measured by X-ray backscattering // Phys. Rev. B. 2003. V. 67. 113306. https://doi.org/10.1103/PhysRevB.69.079902
- Gavva V.A., Bulanov A.D., Kut’in A.M., Plekhovich A.D., Churbanov M.F. Melting point of high-purity germanium stable isotopes // Physica B: Condensed Matter. 2018. V. 537. P. 12–14. https://doi.org/10.1016/j.physb.2018.01.056
- Lipskiy V.A., Nazaryants V.O., Kotereva T.V., Bulanov A.D., Gavva V.A., Koltashev V.V., Churbanov M.F., Plotnichenko V.G. Refractive index spectral dependence, Raman spectra, and transmission spectra of high-purity 72Ge, 73Ge, 74Ge, 76Ge, and natGe single crystals // Appl. Opt. 2019. V. 58. Is. 27. P. 7489–7496. https://doi.org/10.1364/AO.58.007489
- Липский В.А. Получение и оптические свойства высокочистого изотопно обогащенного германия. Дис. … канд. хим. наук. 2021. Н. Новгород. 119 с.
- Мандель А.М., Ошурко В.Б., Першин С.М., Карпова Е.Е., Артёмова Д.Г. О лазере с перестраиваемой частотой на тонких полупроводниковых квантовых кольцах // ДАН. Физика, технические науки. 2021. Т. 498. С. 17–21. https://doi.org/10.31857/S2686740021030147
- Verkhovskii S.V., Yakubovsky A.Y., Malkin B.Z., Sai-kin S.K., Cardona M., Trokiner A., Ozhogin V.I. Isotopic disorder in Ge single crystals probed with 73GeNMR // Physical Review B. 2003. V. 68. 104201. https://doi.org/10.1103/PhysRevB.68.104201
- Agostini M., Allardt M., Andreotti E., et al. Production, characterization and operation of 76Ge enriched BEGe detectors in GERDA // The European Physical Journal C. 2015. V. 75: 39. 22 p. https://doi.org/10.1140/epjc/s10052-014-3253-0
- Haller E.E. Semiconductor isotope engineering // Solid State Phenomena. 1993. V. 32–33. P. 11–20. https://doi.org/10.4028/www.scientific.net/SSP.32-33.11
- Рогалин В.Е., Ценина И.С., Каплунов И.А. Исследование влияния изотопической чистоты на оптические свойства германия // Научно-технические ведомости СПбГПУ. 2013. № 4–1 (183). С. 352–358.
- Каплунов И.А., Рогалин В.Е., Гавалян М.Ю. Влияние примесного и изотопического состава монокристаллического германия на оптическое пропускание в области 520–1000 см–1 // Оптика и спектроскопия. 2015. Т. 118. № 2. С. 254–260. https://doi.org/10.1134/S0030400X15020083
- Churbanov M.F., Gavva V.A., Bulanov A.D., Abrosimov N.V., Kozyrev E.A., Andryushchenko I.A., Lipskii V.A., Adamchik S.A., Troshin O.Yu., Lashkov A.Yu., Gusev A.V. Production of germanium stable isotopes single crystals // Cryst. Res. Technol. 2017. V. 52. № 4. P. 1700026 (6). https://doi.org/10.1002/crat.201700026
- Fuchs H.D., Grein C.H., Bauer M. and Cardona M. Infrared absorption in 76Ge and natural Ge crystals: Effects of isotopic disorder on q ≠ 0 phonons // Phys. Rev. B. 1992. V. 45. P. 4065–4070. https://doi.org/10.1103/PhysRevB.45.4065
- Etchegoin P., Fuchs H.D., Weber J., Cardona M., Pintschovius L., Pyka N., Itoh K., Haller E.E. Phonons in isotopically disordered Ge // Phys. Rev. B. 1993. V. 48. P. 12661–12671. https://doi.org/10.1103/PhysRevB.48.12661




