ПОДДЕРЖАНИЕ СВЧ-РАЗРЯДА В ПОЛОЙ СЕРДЦЕВИНЕ ВОЛОКОННЫХ СВЕТОВОДОВ ДЛЯ ГАЗОВЫХ ВОЛОКОННЫХ ЛАЗЕРОВ
- Авторы: Буфетов И.А.1, Гладышев А.В.1, Нефедов С.М.2, Косолапов А.Ф.1, Вельмискин В.В.1, Гончаров П.А.2, Минеев А.П.2
-
Учреждения:
- Федеральный исследовательский центр “Институт общей физики им. А.М. Прохорова Российской академии наук”, Научный центр волоконной оптики им. Е.М. Дианова
- Федеральный исследовательский центр “Институт общей физики им. А.М. Прохорова Российской академии наук”
- Выпуск: Том 509, № 1 (2023)
- Страницы: 3-8
- Раздел: ФИЗИКА
- URL: https://bakhtiniada.ru/2686-7400/article/view/135901
- DOI: https://doi.org/10.31857/S2686740023020037
- EDN: https://elibrary.ru/UOZEIC
- ID: 135901
Цитировать
Полный текст
Аннотация
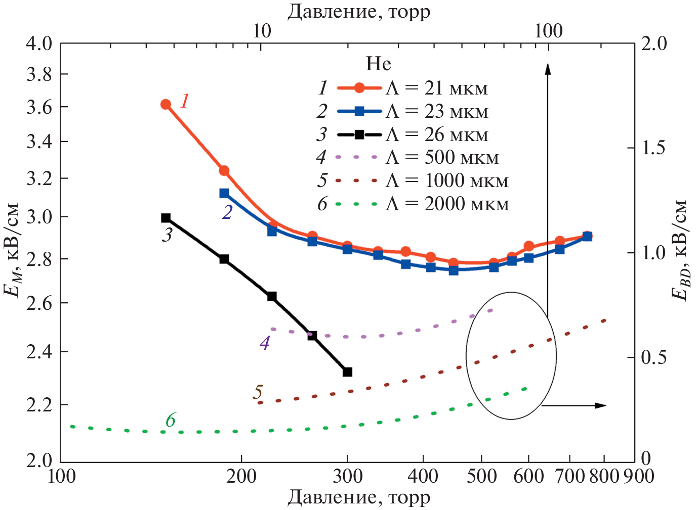
Впервые измерены минимальные значения напряженности электрического СВЧ-поля частотой 2.45 ГГц, необходимые для поддержания разряда в ряде благородных газов (аргон, неон и гелий) в волоконных световодах с полыми сердцевинами малого диаметра вплоть до 100 мкм. Минимальные значения напряженности составляют для всех трех газов (2.5–2.8) кВ/см при давлении аргона ~50 торр, неона ~300 торр и гелия ~500 торр.
Ключевые слова
Об авторах
И. А. Буфетов
Федеральный исследовательский центр“Институт общей физики им. А.М. Прохорова Российской академии наук”, Научный центр волоконной оптики им. Е.М. Дианова
Автор, ответственный за переписку.
Email: iabuf@fo.gpi.ru
Россия, Москва
А. В. Гладышев
Федеральный исследовательский центр“Институт общей физики им. А.М. Прохорова Российской академии наук”, Научный центр волоконной оптики им. Е.М. Дианова
Email: iabuf@fo.gpi.ru
Россия, Москва
С. М. Нефедов
Федеральный исследовательский центр“Институт общей физики им. А.М. Прохорова Российской академии наук”
Email: iabuf@fo.gpi.ru
Россия, Москва
А. Ф. Косолапов
Федеральный исследовательский центр“Институт общей физики им. А.М. Прохорова Российской академии наук”, Научный центр волоконной оптики им. Е.М. Дианова
Email: iabuf@fo.gpi.ru
Россия, Москва
В. В. Вельмискин
Федеральный исследовательский центр“Институт общей физики им. А.М. Прохорова Российской академии наук”, Научный центр волоконной оптики им. Е.М. Дианова
Email: iabuf@fo.gpi.ru
Россия, Москва
П. А. Гончаров
Федеральный исследовательский центр“Институт общей физики им. А.М. Прохорова Российской академии наук”
Email: iabuf@fo.gpi.ru
Россия, Москва
А. П. Минеев
Федеральный исследовательский центр“Институт общей физики им. А.М. Прохорова Российской академии наук”
Email: iabuf@fo.gpi.ru
Россия, Москва
Список литературы
- Joly N.Y., Nold J., Chang W., Hölzer P., Nazarkin A., Wong G.K.L., Biancalana F., Russell P. St. J. Bright Spatially Coherent Wavelength-Tunable Deep-UV Laser Source Using an Ar-Filled Photonic Crystal Fiber // Phys. Rev. Lett. 2011. V. 106. 203901. https://doi.org/10.1103/PhysRevLett.106.203901
- Astapovich M.S., Gladyshev A.V., Khudyakov M.M., Kosolapov A.F., Likhachev M.E., Bufetov I.A. Watt-Level Nanosecond 4.42-um Raman Laser Based on Silica Fiber // IEEE Photonics Technol. Lett. 2019. V. 31. P. 78–81.
- Gladyshev A., Yatsenko Yu., Kolyadin A., Kompanets V., Bufetov I. Mid-infrared 10-µJ-level sub-picosecond pulse generation via stimulated Raman scattering in a gas-filled revolver fiber // Opt. Mater. Express. 2020. V. 10. P. 3081–3089. https://doi.org/10.1364/OME.411364
- Jones A.M., Fourcade-Dutin C., Mao C., Baumgart B., Nampoothiri A.V.V., Campbell N., Wang Y., Benabid F., Rudolph W., Washburn B.R., Corvin K.L. Characterization of mid-infrared emissions from C2H2, CO, CO2, and HCN-filled hollow fiber lasers // Proc. SPIE. 2012. V. 8237. 82373Y. https://doi.org/10.1117/12.909254
- Shi X., Wang X.B., Jin W., Demokan M.S., Zhang X.L. Progress toward a novel hollow-core fiber gas laser // Proc. SPIE. 2007. V. 6767. 67670H. https://doi.org/10.1117/12.749510
- Bateman S.A., Belardi W., Yu F., Webb C.E., Wadsworth W.J. Gain from Helium-Xenon Discharges in Hollow Optical Fibres at 3 to 3.5 μm // In Proceedings of the Conference on Lasers and Electro-Optics (CLEO). San Jose, CA, USA. 8–13 June 2014. STh5C.10. https://doi.org/10.1364/CLEO_SI.2014.STh5C.10
- Debord B., Gérôme F., Jamier R., Boisse-Laporte C., Leprince P., Leroy O., Blondy J.-M., Benabid F. First Ignition of an UV Microwave Microplasma in Ar-filled Hollow-Core Photonic Crystal Fibers. ECOC. 2011. Mo.2.LeCervin.5. https://doi.org/10.1364/ECOC.2011.Mo.2.LeCervin.5
- Debord B., Amrani F., Vincetti L., Gérôme F., Benabid F. Hollow-Core Fiber Technology: The Rising of “Gas Photonics” // Fibers. 2019. V. 7. 16. https://doi.org/10.3390/fib7020016
- Gladyshev A., Nefedov S., Kolyadin A., Kosolapov A., Velmiskin V., Mineev A., Bufetov I. Microwave Discharge in Hollow Optical Fibers as a Pump for Gas Fiber Lasers // Photonics. 2022. V. 9. 752. https://doi.org/10.3390/photonics9100752
- Мак-Доналд А. Сверхвысокочастотный пробой в газах. M.: Мир, 1969. 210 с.
- Райзер Ю.П. Лазерная искра и распространение разрядов. М.: Наука, 1974. 308 с.
- Минеев А.П., Нефедов С.М., Пашинин П.П., Гончаров П.А., Киселев В.В., Стельмах О.М. Многочастотные планарные лазеры среднего ИК-диапазона с импульсной СВЧ-накачкой // Квантовая электроника. 2020. Т. 50. С. 277–283.
- Silver S. Microwave Antenna Theory and Design / Silver S., Ed. McGraw-Hill Book Co., Inc.: New York, NY, USA; Toronto, ON, Canada; London, UK, 1949. P. 257–333.
- Френсис Г. Ионизационные явления в газах. М.: Атомиздат, 1964. 304 с.
Дополнительные файлы







