Physico-chemical factors favoring greisen tin deposits formation: a new look at the old problems
- Authors: Aranovich L.Y.1, Bortnikov N.S.1, Akinfiev N.N.1
-
Affiliations:
- Institute of Geology of Ore Deposits, Petrography, Mineralogy, and Geochemistry, Russian Academy of Sciences
- Issue: Vol 519, No 2 (2024)
- Pages: 49-55
- Section: GEOCHEMISTRY
- Submitted: 06.03.2025
- Accepted: 06.03.2025
- Published: 28.12.2024
- URL: https://bakhtiniada.ru/2686-7397/article/view/282608
- DOI: https://doi.org/10.31857/S2686739724120069
- ID: 282608
Cite item
Full Text
Abstract
Physico-chemical factors favoring formation of greisen tin deposits are evaluated based on the original data on composition of melt and fluid inclusions in magmatic and ore-forming minerals from Tigrinoe tin-tungsten deposit, Russian Far-East, and on the literature. We show that for the granitoid-related deposits the factors include: relatively low-temperature and low-pressure (720–770 °C/0.7–2 kbar, 3–6 km) granites formed under reducing oxygen fugacity (fO2 below fayalite-magnetite-quartz, QFM buffer), that is indicated by absence of magnetite/presence of ilmenite, and by reduced positive Ce-anomaly in magmatic zircon (1); low-salinity fluid inclusions in magmatic quartz (2); fluid inclusions with the СН4/СО2 ratio of 0.1–0.3 in the ore-vein minerals (3). A number of problems related to the origin of tin-tungsten deposit need further studies. In the first place, it concerns the role of fluorine in magmatic accumulation and hydrothermal transport of Sn. Partitioning of Sn and W between granite melt and fluids under reducing fO2 below QFM buffer also has to be experimentally evaluated.
Full Text
ВВЕДЕНИЕ
Вопросы об источниках металлов и флюидов в магматогенно-флюидных минералообразующих системах остаются актуальными в учении о рудных месторождениях [3]. Причем их решение имеет не только фундаментальное, но и практическое значение, т. к. ответ на них даст возможность отличать рудоносные магматические комплексы от непродуктивных интрузивов. Не являются исключением и грейзеновые месторождения стратегических металлов олова и вольфрама. Грейзеновые вольфрам-оловорудные месторождения пространственно ассоциируют с гранитами и, как считает большинство исследователей, генетически связаны с крайне фракционированными их разностями, причем со специфическим типом этих пород, названных оловоносными ([2, 16] и ссылки там). Эти граниты S-типа кремнекислые, глиноземистые, приуроченные к фанерозойским орогенным поясам, кристаллизовавшиеся из сильно фракционированной магмы, образовавшейся при плавлении глинистых сланцев. Обогащение магмы оловом связывают с фракционной кристаллизацией этой магмы, первоначально содержащей коровые концентрации олова [16]. Магматическая дифференциация приводила к отделению магматогенных флюидов, обогащенных оловом, отлагавшим касситеритовые руды. Однако не все так однозначно: природа минералообразующего флюида, а, следовательно, олова и вольфрама в нем, остается дискуссионной. Высказаны две точки зрения: грейзеновые олововольфрамовые месторождения являются или продуктом магматогенно-флюидной системы, или – высокотемпературной гидротермальной системы, в которую вовлекался метаморфогенный флюид (в том числе образовавшийся при контактово-метаморфическом преобразовании пород при внедрении интрузий), либо флюид, возникший в результате взаимодействия с гранитами метеорных вод [4]. В последнем случае металлы также могли извлекаться из вмещающих пород.
Для подтверждения первой из гипотез представляется важной оценка условий, благоприятных для образования оловоносных гранитов, мобилизации из них олова и последующего отложения касситерита. Этому вопросу посвящена предлагаемая статья, в которой проведено исследование этого вопроса на примере грейзенового олововольфрамового месторождения Тигриное, Приморье (Россия).
ХАРАКТЕРИСТИКА МЕСТОРОЖДЕНИЯ
Месторождение Тигриное содержит примерно 170 000 т олова (например, https://webmineral.ru/deposits/item.php?id=1495), что делает его вполне представительным для оловянных месторождений мира, связанных с гранитоидным магматизмом (например, https://pubs.usgs.gov/pp/1802/s/pp1802s.pdf).
Оно расположено в Центральном Сихотэ-Алине (Приморье) на сопряжения Центрально-Сихотэ-Алинского и Тигринского разломов и связано со штоком субщелочных высокоглиноземистых Li–F-лейкогранитов – поздней фазой становления Тигриного интрузива, скрытого на глубине. Гранитоиды слагают Большой шток, в котором преобладают гранит-порфиры (риолит-порфиры) и Малый шток, состоящим из протолитионитовых гранит-порфиров (с циннвальдитом в эндоконтакте) и циннвальдитовых гранит-порфиров. Рудные тела: штокверк и жилы, залегающие в грейзенизированных осадочных и интрузивных породах, главным образом, среди эксплозивно-гидротермальных брекчий, отложились из водно-хлоридных флюидов с концентрацией 3–7 мас. % эквивалентных NaCl при температурах от 420 до 240°С и давлениях ниже 300 бар [4]. В образование кварц-вольфрамит-касситеритовых руд месторождения главный вклад внес флюид, отделившийся от гранитоидной магмы при ее кристаллизации, но метаморфогенный флюид или нагретые метеорные воды периодически могли вовлекаться в область рудоотложения [4]. Участие флюидов различного происхождения подтвердило исследование расплавных и флюидных включений в кварце из штокшайдеров месторождения: выявлен магматический флюид, а во флюидных обособлениях расплавных включений выявлен метан. Это позволило заключить, что на магматическом этапе кристаллизации гранитов участвовал метаново-водный флюид [6].
ПОСТАНОВКА ЗАДАЧИ И ЕЕ РЕШЕНИЕ
Среднее содержание Sn в наиболее важных геохимических резервуарах весьма низки и колеблются от 0.14 г/т в примитивной мантии [17] до максимальных 2.4 г/т в верхней континентальной коре [13], которая, таким образом, представляется наиболее перспективным первичным источником.
На рис. 1 приведена расчетная фазовая диаграмма для состава верхней континентальной коры (UCC)+5 мас. % Н2О. Расчет проводился по программе DOMINO [11] с использованием термодинамической базы данных для минералов (включая твёрдые растворы) и расплава по [14].
Рис. 1. Расчетная фазовая диаграмма для валового состава, соответствующего верхней континентальной коре (UCC)+5 мас. % Н2О. Поля с содержанием фаз менее 1% не показаны. Красная и синяя кривые ограничивают поля устойчивости мусковита и биотита. Серым цветом выделена область существования гранитного расплава. На правом рисунке показан фрагмент с линиями постоянной степени плавления (мас. % расплава). Поле, где расплав сосуществует с субликвидусными твердыми фазами, выделено на рис. 1 серым цветом. Его низкотемпературная граница практически совпадает с линией разложения мусковита (Ms, оранжевая кривая на рис. 1) . А синяя кривая соответствует линии разложения биотита (Bt). Поскольку эти два минерала являются главными концентраторами Sn в низко- и среднетемпературных породах, их полное разложение должно благоприятствовать накоплению Sn в расплаве.
На рис. 1 видно, что при высоком давлении разложение Bt происходит при высокой температуре и, соответственно, высоких степенях плавления (изолинии постоянной степени плавления показаны на правом рисунке), откуда следует, что высокое давление образования расплавов не способствует обогащению оловом. Наиболее благоприятным является диапазон 1–3 кбар и 720–770°С. Поле, где расплав сосуществует с субликвидусными твердыми фазами, выделено на рис. 1 серым цветом. Его низкотемпературная граница практически совпадает с линией разложения мусковита (Ms, оранжевая кривая на рис. 1). А синяя кривая соответствует линии разложения биотита (Bt). Поскольку эти два минерала являются главными концентраторами Sn в низко- и среднетемпературных породах, их полное разложение должно благоприятствовать накоплению Sn в расплаве. что соответствует степени плавления 10–20 мас. %. Если допустить, что содержание Sn ничтожно в субликвидусных минералах, то при исходной концентрации Sn 2.4 г/т в расплаве должно накапливаться от 12 до 24 г/т этого элемента, что очень близко к оценкам для оловоносных гранитов (18–26 г/т; [2]). Следует отметить, что расчет (рис. 1) проводился при летучести кислорода logfO2 = QFM–0.2, где QFM – буфер фаялит-магнетит-кварц. При этой fO2 магнетит, который способен аккумулировать значительное количество Sn (до 7000 г/т, [21]), неустойчив в системе, содержащей кварц.
Возникает вопрос, возможно ли образование оловорудного месторождения масштаба Тигриного (170 000 т Sn) при таком содержании Sn в граните?
По полученной выше оптимальной оценке (24 г/т), это количество Sn может быть извлечено из 7*109 т (около 2.5 км3) гранита. Максимальное количество флюида, которое могло выделиться из этого объема гранита (при содержании Н2О = 5 мас. %), соответствует (3–4)*108 т. По данным изучения флюидных включений в магматическом кварце Sn–W-месторождений, среднее содержание Sn в них составляет 350 г/т [7]. Это указывает на значение коэффициента разделения Sn между расплавом и флюидом, Kd (флюид-расплав) = 15–30. Значит, магматический флюид мог вынести порядка 90–110*103 т Sn, т. е. только 55–65% всего олова месторождения. Если принять нижнюю границу обогащения расплава Sn (12 г/т), количество гранита, необходимое для накопления 170 000 т Sn, соответственно удвоится – 14*109 т (около 5 км3). Однако количество флюида в нем при этом не увеличится, т. к. с увеличением степени плавления пропорционально уменьшается содержание Н2О в расплаве. Отсюда следует парадоксальный вывод: для формирования “чисто магматогенного” месторождения не хватает не металла, а магматического флюида.
К этому следует добавить, что приведённые выше оценки Kd, основанные на средних содержаниях Sn во флюидных включениях, значительно расходятся с экспериментальными данными по разделению Sn между гранитным расплавом и водно-хлоридными флюидами ([12, 15]; рис. 2). Значения Kd в интервале 15–30 достигаются только при очень высоких концентрациях HCl во флюидной фазе (2.6–3.5 моль/кг Н2О), маловероятных для природных систем (рис. 2). При умеренных концентрациях HCl (0.5– 1 моль/кг Н2О экспериментальные значения Kd лежат в интервале 0.7–2, т. е. для извлечения количества Sn, соответствующего запасам месторождения Тигриное, с помощью магматогенного флюида потребовалось бы очевидно чрезмерное количество гранита – порядка 50 км3.
Рис. 2. Зависимость коэффициента разделения Sn между флюидом и гранитным расплавом (Kd) от содержания HCl во флюиде при летучести кислорода (fO2), соответствующей буферу Ni-NiO (по экспериментальным данным [15]). Красными отрезками показан диапазон значений Kd, согласующийся с оценками по флюидным включениям.
В ряде работ ([18, 19] и ссылки там) высказано предположение, что крупные олововольфрамовые месторождения формируются за счет плавления протолита, существенно обогащенного (до 10 раз) Sn и W по сравнению с усредненной верхней корой. Образование этого протолита (глинистых сланцев) связывается с интенсивным химическим выветриванием осадочных пород в условиях стабильного континента с последующим сносом обогащенного материала к активным континентальным окраинам. Хотя это предположение оспаривается целым рядом авторитетных исследователей ([16] и ссылки там), оно нуждается в дальнейшей проверке на конкретных месторождениях.
УСЛОВИЯ ГИДРОТЕРМАЛЬНОГО ПЕРЕНОСА И ОСАЖДЕНИЯ КАССИТЕРИТА
На рис. 3 приведены примеры расплавных и флюидных включений в кварце месторождения Тигриное по данным [6, 8]. Важной особенностью флюидных включений является присутствие в них углекислоты и метана. Эта особенность характерна и для других олововольфрамовых месторождений мира (рис. 4). На рис. 4 видно, что отношение СН4/CO2 во включениях варьирует в широких пределах, однако преобладают включения с отношением СН4/CO2<<1. По данным сводки [5], средний состав включений отвечает отношению СН4/CO2 = 1:8.
Рис. 3. Примеры расплавных (слева) и флюидных (справа) включений в кварце месторождения Тигриное [6, 8]. Обратите внимание, что во флюидных включениях присутствуют СО2 и СН4.
Рис. 4. Соотношение СН4/CO2 во флюидных включениях в касситерите по данным [20]. Звездочка – средний состав включений (n = 89) по данным Рамановской спектроскопии (СН4/CO2 = 1/8, [5]). Пунктирные прямые – отношение СН4/CO2 = 1 (черная) и 0.1 (синяя).
В работе [5] приведены также статистические данные по оценкам температуры гомогенизации (T°С) и давления(P, бар) захвата флюидных включений в кварце и касситерите рудных жил оловянно-вольфрамовых месторождений. Наиболее часто встречаемые значения соответствуют интервалам 330–450° и 500–1500 бар (рис. 5).
Рис. 5. Условия захвата флюидных включений в рудных минералах касситерит-вольфрамитовых месторождений (по данным [5]). Красным пунктиром выделена область наиболее часто определяемых ТР-параметров.
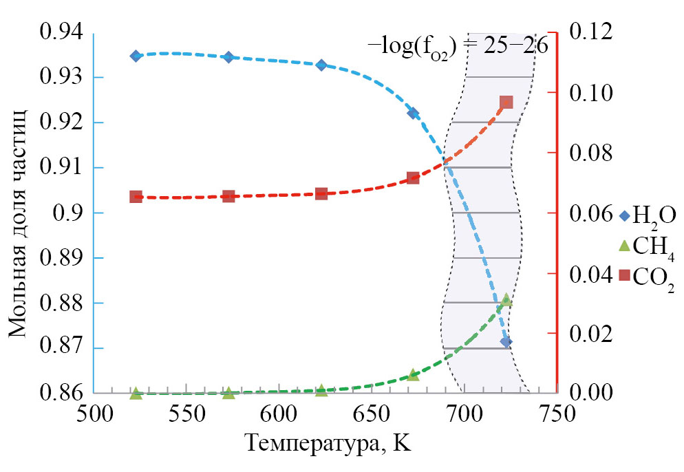
Чтобы оценить оптимальные условия рудоотложения, мы провели расчет зависимости концентрации частиц флюида в системе С‒О‒Н от температуры при постоянном давлении. Расчет проводился с использованием стандартных термодинамических свойств частиц по [10] и их свойств смешения по [1]. Результаты расчета показывают (рис. 6), что для диапазона Т = 330–450°С наиболее распространенные во включениях отношения СН4/CO2 = 0.1–0.3 соответствуют летучести кислорода 10–25 – 10–26, т. е. весьма восстановительным условиям ниже буфера QFM при этих ТР-условиях.
Рис. 6. Зависимость состава флюида системы С-О-Н от температуры (Р = 1000 бар). Синяя шкала ординат – содержание Н2О, красная – СО2 и СН4. Серым выделена область составов при значениях летучести кислорода 10–25–26, в которой отношение СН4/CO2 близко к среднему для оловянно-вольфрамовых месторождений.
Растворимость касситерита в гидротермальных растворах и, соответственно, его кристаллизация, сильно зависят от Т–Р–fO2-условий. На фронте грейзенизации, т. е. в присутствии минеральной ассоциации калиевый полевой шпат (Kfs)+мусковит (Ms)+кварц (Qtz), она контролируется реакциями:
SnCl4 + 2H2O + 6KAlSi3O8 = SnO2 + 2KAl3Si3O10(OH)2 + 12SiO2 + 4KCl, (1)
SnCl2 + 3KAlSi3O8 + H2O +1/2 О2= SnO2 + KAl3Si3O10(OH)2 + 6SiO2 + 2KCl, (2)
соответствующими переносу олова в виде комплексов Sn(IV) (реакция 1) и Sn(II) (реакция 2).
На рис. 7 показаны расчетные кривые растворимости касситерита в растворе KCl в зависимости от температуры и летучести кислорода. Красным прямоугольником на рисунке выделена область значений T, концентрации Sn и fO2, соответствующая данным по составу флюидных включений в кварце и касситерите рудных жил. Эти данные показывают, что отложение касситерита проходило из слабосоленых восстановленных гидротермальных растворов.
Рис. 7. Расчетные кривые зависимости растворимости SnO2 (в г/т флюида) от температуры во флюидах в присутствии Kfs–Ms–Qtz-буфера и концентрации KCl = 0.3 моль × кг–1 при постоянном давлении 1 кбар. Числа при кривых соответствуют десятичному логарифму фугитивности кислорода (logfO2). Прямоугольником выделена область, соответствующая оценкам осаждения касситерита по данным флюидных включений.
ЗАКЛЮЧЕНИЕ
Полученные результаты позволяют наметить факторы, благоприятные для формирования оловянных месторождений, связанных с гранитоидным магматизмом. К ним относятся:
- Сравнительно низкотемпературные и малоглубинные граниты 720–770°С/0.7–2 кбар (3–6 км), выплавлявшиеся в восстановительных условиях, признаками которых могут служить отсутствие магнетита/присутствие ильменита и пониженное значение Се-аномалии в цирконе гранитов (например, [9]).
- Слабосоленые однофазные или двухфазные (с преобладанием пара над рассолом) флюидные включения в магматическом кварце.
- Флюидные включения с отношением СН4/CO2 = 0.1–0.3 в минералах рудных жил.
Ряд проблем, связанных с формированием оловянно-вольфрамовых месторождений, нуждаются в дальнейшем исследовании. В первую очередь это относится к оценке роли фтора в магматическом накоплении и гидротермальном переносе олова. К сожалению, к настоящему времени экспериментальных и термодинамических данных по этой проблеме недостаточно для количественных построений. Отсутствуют экспериментальные данные по коэффициентам разделения Sn и W между гранитным расплавом и флюидами в сильно восстановительных условиях (при fO2 ниже буфера QFM). В дальнейших исследованиях нуждается также проблема выявления геодинамических обстановок, благоприятных для формирования этих месторождений, и вопрос о необходимости значительного обогащения источника расплавов оловом.
ИСТОЧНИКИ ФИНАНСИРОВАНИЯ
Финансовая поддержка работы оказана проектом Российской Федерацией в лице Минобрнауки России (№ проекта 13.1902.24.44, № соглашения 075-15-2024-641).
About the authors
L. Y. Aranovich
Institute of Geology of Ore Deposits, Petrography, Mineralogy, and Geochemistry, Russian Academy of Sciences
Author for correspondence.
Email: lyaranov@igem.ru
Academician of the RAS
Russian Federation, MoscowN. S. Bortnikov
Institute of Geology of Ore Deposits, Petrography, Mineralogy, and Geochemistry, Russian Academy of Sciences
Email: lyaranov@igem.ru
Academician of the RAS
Russian Federation, MoscowN. N. Akinfiev
Institute of Geology of Ore Deposits, Petrography, Mineralogy, and Geochemistry, Russian Academy of Sciences
Email: lyaranov@igem.ru
Russian Federation, Moscow
References
- Аранович Л. Я. Флюидно-минеральные равновесия и термодинамические свойства смешения флюидных систем // Петрология. 2013. Т. 21. С. 588–599.
- Барсуков В. Л. Геохимия олова // Геохимия. 1957. Т. 1. С. 41–52.
- Бортников Н. С. Геохимия и происхождение рудообразующих флюидов в гидротермально-магматических системах в тектонически активных зонах // Геология рудных месторождений. 2006. Т. 48. № 1. С. 3–28.
- Крылова Т. Л., Pandian M. S., Бортников Н. С. и др. Вольфрамовые и оловянно-вольфрамовые месторождения Дегана (Раджастан, Индия) и Тигриное (Приморье, Россия): состав минералообразующих флюидов и условия отложения вольфрамита // Геология рудных месторождений. 2012. Т. 54. № 4. С. 329–349.
- Наумов В. Б., Дорофеева В. А., Миронова В. Ф. Физико-химические условия образования гидротермальных месторождений по данным изучения флюидных включений. 1. Месторождения олова и вольфрама // Геохимия. 2011. Т. 49. № 10. С. 1063–1082.
- Смирнов С. З., Бортников Н. С., Гоневчук В. Г., Гореликова Н. В. Составы расплавов и флюидный режим кристаллизации редкометальных гранитов и пегматитов Тигриного Sn-W месторождения (Приморье) // ДАН. 2014. Т. 456. № 1. С. 95–100.
- Audetat A. The Metal Content of Magmatic-Hydrothermal Fluids and Its Relationship to Mineralization Potential // Economic Geology. 2019. V. 114. P. 1033–1056. http://doi.org/10.5382/econgeo.4673
- Bortnikov N. S., Aranovich L. Y., Kryazhev S. G. et al. Badzhal tin magmatic-fluid system, Far East, Russia: Transition from granite crystallization to hydrothermal ore deposition // Geology Ore Deposits. 2019. V. 61. P. 199–224.
- Burnham A. D., Berry A. J. An experimental study of trace element partitioning between zircon and melt as a function of oxygen fugacity // Geochim. Cosmochim. Acta. 2012. V. 95. P. 196–212. http://doi.org/10.1016/j.gca.2012.07.034
- Churakov S. V., Gottschalk M. Perturbation theory based equation of state for polar molecular fluids: I. Pure fluids // Geochimica Cosmochimica Acta. 2003. V. 67. P. 2397–2414.
- De Capitani C., Petrakakis K. The computation of equilibrium assemblage diagrams with Theriak/Domino software // American Mineralogist. 2010. V. 95. P. 1006–1016. http://doi.org/10.2138/am.2010.3354.
- Duc-Tin Q., Audetat A., Keppler H. Solubility of tin in (Cl, F)-bearing aqueous fluids at 700оC, 140 MPa: A LA-ICP-MS study on synthetic fluid inclusions // Geochimica Cosmochimica Acta. 2007. V. 71. P. 3323–3335. http://doi.org/10.1016/j.gca.2007.04.022
- Gaschnig R. M., Rudnik R. L., McDonough W. F. et al. Compositional evolution of the upper continental crust through time, as constrained by ancient glacial diamictites // Geochimica Cosmochimica. Acta. 2016. V. 186. P. 316–343. http://doi.org/10.1016/j.gca.2016.03.020
- Holland T. J. B., Powell R. An improved and extended internally consistent thermodynamic dataset for phases of petrological interest, involving a new equation of state for solids // Journal Metamorphic Geology. 2011. V. 29. P. 333–383. http://doi.org/10.1111/j.1525-1314.2010.00923.x
- Hu X., Bi X., Hu R., Shang L., Fan W. Experimental study on tin partition between granitic silicate melt and coexisting aqueous fluid // Geochemical Journal. 2008. V. 42. P. 141–150. http://doi.org/10.2343/geochemj.42.141
- Lehmann B. Formation of tin ore deposits: A reassessment // Lithos. 2021. V. 402–403. 105756. http://doi.org/10.1016/j.lithos.2020.105756
- Palme H., O’Neill H. St. S. Cosmochemical estimates of mantle composition / In: Treaties on Geochemistry. Ed. 2014. P. 1–39.
- Romer R. L., Kroner U. Sediment and weathering control on the distribution of Paleozoic magmatic tin–tungsten mineralization // Mineralium. Deposita. 2015. V. 50. P. 327–338. http://doi.org/10.1007/s00126-014-0540-5
- Romer R. L., Kroner U. Phanerozoic tin and tungsten mineralization – tectonic controls on the distribution of enriched protoliths and heat sources for crustal melting // Gondvana Research. 2016. V. 31. P. 61–92.
- Schmidt С., Gottschalk M., Zhang R., et al. Oxygen fugacity during tin ore deposition from primary fluid inclusions in cassiterite // Ore Geology Reviews. 2021. V. 139. 104451. http://doi.org/10.1016/j.oregeorev.2021.104451
- Zhao L., Shao Y., Zhang Yu., et al. Differentiated enrichment of magnetite in the Jurassic W–Sn and Cu skarn deposits in the Nanling Range (South China) and their ore-forming processes: An example from the Huangshaping deposit // Ore Geology Reviews. 2022. V. 148. 105046. http://doi.org/10.1016/j.oregeorev.2022.105046
Supplementary files









