The phase shift between the global surface temperature and the CO2 content in the atmosphere according to simulations with an ensemble of CMIP6 models
- Authors: Muryshev K.E.1,2, Eliseev A.V.1,2,3,4, Mokhov I.I.1,2,5, Timazhev A.V.1, Klimovich G.P.1
-
Affiliations:
- Lomonosov Moscow State University
- Obukhov Institute of Atmospheric Physics Russian Academy of Sciences
- Marchuk Institute of Numerical Mathematics Russian Academy of Sciences
- Kazan Federal University
- Moscow Institute of Physics and Technology (State University)
- Issue: Vol 516, No 2 (2024)
- Pages: 632-639
- Section: GEOPHYSICS
- Submitted: 12.12.2024
- Published: 15.03.2024
- URL: https://bakhtiniada.ru/2686-7397/article/view/272988
- DOI: https://doi.org/10.31857/S2686739724060163
- ID: 272988
Cite item
Full Text
Abstract
The phase shifts between the global surface temperature T and the carbon dioxide content in the atmosphere q obtained in numerical experiments with models of the Earth climate system of the CMIP6 project (Coupled Models Intercomparison Project, phase 6) for the period 1850–2014 are analyzed. It was found that the sign of the phase shift between q and T depends not only on the analyzed time interval, but also on the method of processing the initial series. The initial q series (with a filtered annual cycle) leads in phase the corresponding T series for most models and time intervals. The first differences (inter-monthly increments) for the q series lag in phase the corresponding first differences for the T series by about 10 months with an adequate reproduction of the results obtained by analyzing observational data for recent decades. This means that such delay cannot be an argument against the generally accepted theory of global warming, which links the current increase in temperature with the dominant influence of anthropogenic greenhouse gas emissions into the atmosphere.
Full Text
ВВЕДЕНИЕ
Одно из ключевых направлений климатических исследований связано с обоснованием того, что современное потепление является следствием усиления парникового эффекта из-за антропогенных эмиссий в атмосферу парниковых газов (прежде всего, СО2) [1]. При этом по данным наблюдений можно получить, что изменения междумесячных инкрементов содержания СО2 в атмосфере в целом запаздывают относительно соответствующих инкрементов глобальной приповерхностной температуры [2]. Подобный результат может быть получен также по данным палеореконструкций для середины второго тысячелетия (так называемого малого ледникового периода) [3] и ледниковых циклов плейстоцена [4–6]. Следует отметить, однако, что абсолютные значения такого запаздывания заметно различаются в указанных работах: оно составляет около года для междумесячных инкрементов рядов в ХХ–XXI веках [2], несколько десятков лет для малого ледникового периода [3] и несколько столетий для ледниковых циклов плейстоцена [4, 5].
Одним из основных принципов физики является “принцип причинности”, согласно которому событие A, предшествующее по времени другому событию B, не может быть его следствием. На основании этого в ряде работ (в частности, [2]) утверждается, что причиной изменений глобальной температуры не могут быть изменения содержания СО2 в атмосфере, так как последние запаздывают относительно первых. Это утверждение ошибочно, на что неоднократно указывалось ранее [7–11]. Подобного рода запаздывание может быть получено в численных экспериментах с моделями, в которых причиной глобального потепления XX–XXI вв. является антропогенное увеличение содержания CO2 в атмосфере. Цель данной работы – обосновать это с использованием расчётов с современными моделями Земной системы.
ИСПОЛЬЗОВАННЫЕ ДАННЫЕ И МЕТОДЫ АНАЛИЗА
Объектом анализа являются ряды среднемесячных данных для глобальной приповерхностной температуры T и содержания СО2 в атмосфере q, полученные в численных расчётах с климатическими моделями проекта CMIP6 (Coupled Models Intercomparison Project, phase 6) при сценарии esm-hist, подразумевающем воспроизведение изменений климата последних примерно полутора столетий (1850–2014 гг.) с учётом основных антропогенных и естественных воздействий на климат. Использованы результаты расчётов со следующими моделями:
1. ACCESS-ESM1-5 | (Australian Community Climate and Earth System Simulator) |
2. BCC-CSM2-MR | (Beijing Climate Center Climate System Model) |
3. CanESM5 | (Canadian Earth System Model) |
4. CESM2 | (Community Earth System Model) |
5. EC-Earth3-CC | (European Community Earth System Model) |
6. GFDL-ESM4 | (Geophysical Fluid Dynamics Laboratory Earth System Model) |
7. MPI-ESM1-2-LR | (Max Planck Institute Earth System Model) |
8. NorESM2-LM | (Norwegian Earth System Model) |
Использованы результаты расчётов с заданием изменений не концентрации СО2 в атмосфере, а интенсивности антропогенных эмиссий за счёт сжигания ископаемого топлива с интерактивным расчётом интенсивностей соответствующих эмиссий за счёт землепользования и обмена углеродом между естественными резервуарами.
Между рядами T и q определялся временной лаг Δ, при котором коэффициент корреляции между этими рядами максимален [2, 12]. Неопределённость оценки Δ оценивалась шириной интервала лагов, на границах которого коэффициенты корреляции составляют 95% и 99% от указанного максимального значения.
По аналогии с [2] анализировались ряды первых разностей T’ и q’. Для этого исходные ряды для T и q сглаживались при помощи 12-точечного скользящего среднего (для устранения годового хода). С использованием полученных сглаженных рядов T и q определялись ряды первых разностей (междумесячных инкрементов) T’ и q’ :
T'i = ( Ti+1 - Ti )/∆t,
q'i = (qi+1 - qi)/∆t,
где ∆t = 1 месяц – шаг по времени, а нижний индекс указывает на порядковый номер месяца во временном ряду.
РЕЗУЛЬТАТЫ АНАЛИЗА
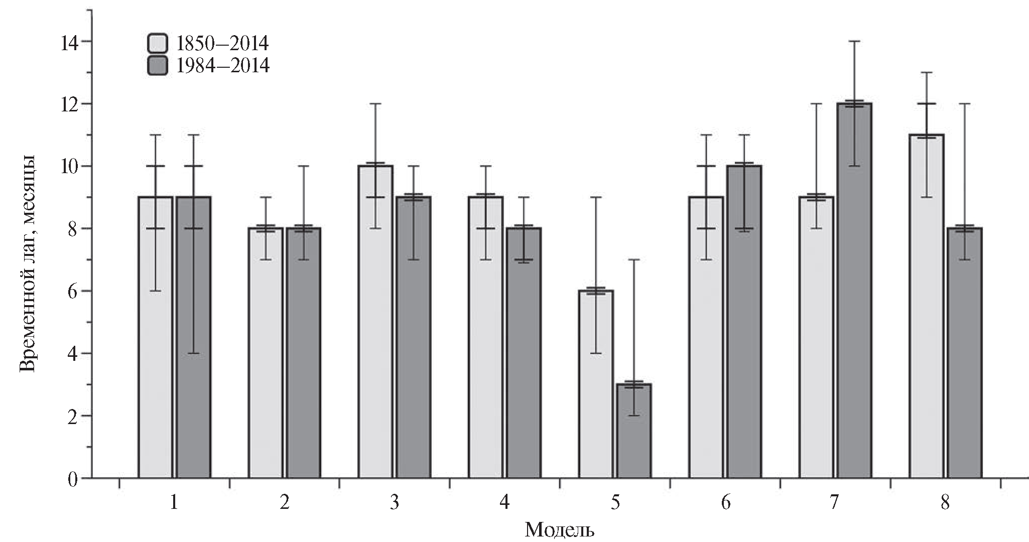
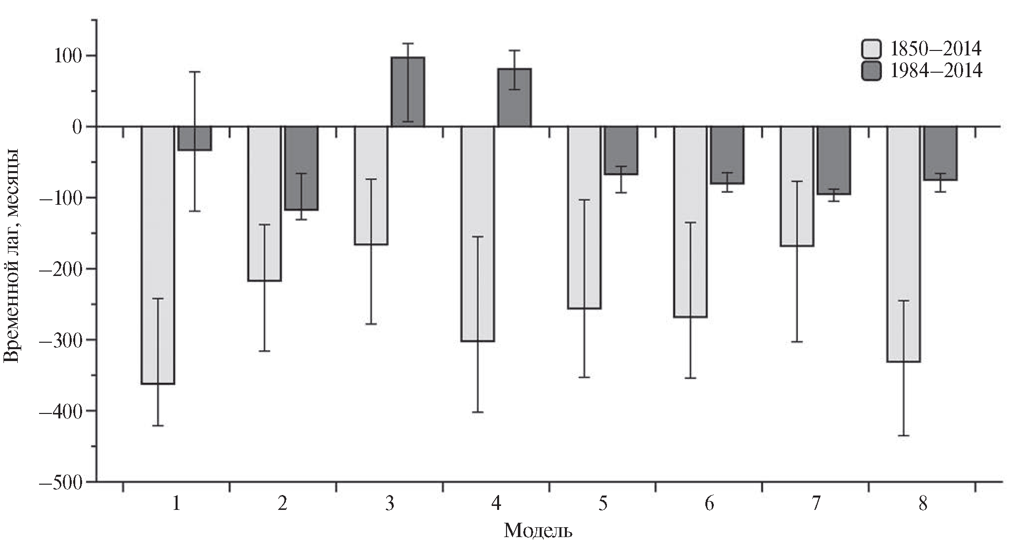
Вариации глобальной среднемесячной температуры T в исходных рядах, полученных по расчётам с климатическими моделями CMIP6 при сценарии esm-hist, в целом (за некоторыми исключениями) “запаздывают” относительно соответствующих вариаций содержания СО2 в атмосфере q на величину от нескольких десятков до нескольких сотен лет в зависимости от модели и анализируемого временного интервала (рис. 2). При этом, особенности в рядах первых разностей T’ в целом проявляются раньше соответствующих особенностей в рядах первых разностей q’ – с опережением порядка 10 месяцев. Это качественно и даже количественно соответствует результатам, полученным в [2] при анализе данных наблюдений для 1980–2012 гг. (рис. 3).
Рис. 1. Корреляционная функция между рядами T и q с отфильтрованным годовым ходом, полученными в численных расчётах с моделью MPI-ESM1-2-LR для периода 1850‒2014 гг. при сценарии esm-hist.
Рис. 2. Лаговая статистика для исходных рядов для глобальной приповерхностной температуры T и содержания СО2 в атмосфере q, полученных в численных экспериментах с моделями CMIP6 (положительные значения – T опережает q, отрицательные значения – q опережает T) при сценарии esm-hist для временных интервалов 1850–2014 (светлые столбики) и 1984–2014 гг. (тёмные столбики). Линиями показаны 99% интервалы неопределённости.
Рис. 3. Лаговая статистика для рядов первых разностей для глобальной приповерхностной температуры T и содержания СО2 в атмосфере q, полученных в численных экспериментах с моделями CMIP6 (положительные значения – T опережает q, отрицательные значения – q опережает T) при сценарии esm-hist для временных интервалов 1850–2014 (светлые столбики) и 1984–2014 гг. (тёмные столбики). Линиями показаны 95% и 99% интервалы неопределённости.
Рис. 4. Ряды q’ (чёрные линии) и T’ (серые линии) по расчётам с моделью MPI-ESM1-2-LR при сценарии esm-hist для периода 1984–2014 гг. Градиентной заливкой отмечены эпизоды, на примере которых видно запаздывание изменений q относительно изменений T.
Как отмечено выше, опережение инкрементами глобальной приповерхностной температуры T инкрементов содержания СО2 в атмосфере q в последние десятилетия в [2] интерпретировалось как аргумент, опровергающий общепринятую теорию современного глобального потепления, согласно которой общее увеличение T в XX–XXI вв. является откликом на прирост q. Приведённые выше результаты свидетельствуют, что подобный эффект воспроизводится и в климатических моделях, описывающих антропогенное потепление, а значит не может служить его опровержением.
Следует отметить, что между климатом и углеродным циклом существует обратная связь [7–9, 13–17], вследствие чего не только изменения содержания СО2 вызывают изменения глобальной температуры, но и изменения климата (в том числе, температуры) вызывают изменения содержания СО2. Однако, изменения глобальной температуры, не связанные с парниковым эффектом, относительно малы и вызывают относительно малые вариации содержания СО2 в атмосфере по сравнению с его общим ростом, связанным с антропогенными эмиссиями. Фазовый сдвиг между этими малыми вариациями и является предметом обсуждения в [2], но он ничего не говорит о причинах общего роста T и q, наблюдавшегося в XX–XXI вв. и воспроизводимого климатическими моделями.
Вычисление инкрементов для рядов Т и q – это одна из форм их высокочастотной фильтрации [18]. В свою очередь, ковариационная функция соответствующих исходных рядов характеризует статистические взаимосвязи между ними на вековом масштабе. Как следствие, различие значений (и знака) Δ между вариантами расчёта с использованием исходных рядов, с одной стороны, и первых разностей – с другой, может характеризовать различие этих взаимосвязей в зависимости от временного масштаба. Это качественно согласуется с результатами [9]. Следует отметить, что, по крайней мере, абсолютная величина оценок Δ по данным наблюдений и палеореконструкций зависит от длины временного ряда и его расположения на временной оси.
Как правило, для одной и той же модели и одного и того же временного интервала знак Δ различен для исходных рядов Т и q (рис. 2) и для рядов их межгодовых инкрементов (рис. 3). Более того, следует отметить, что для исходных рядов Т и q в модельных расчётах абсолютные значения (а в ряде случаев – даже знак) Δ зависят от временного интервала. Следует отметить, что использованные модели основаны на фундаментальных уравнениях термогидромеханики и закона сохранения массы. Поэтому структура причинно-следственных связей в моделях не изменяется на протяжении расчёта, несмотря на изменение знака Δ. Это ещё раз иллюстрирует отсутствие прямой связи между знаком фазового сдвига и направленностью причинно-следственных связей в земной климатической системе.
ИНТЕРПРЕТАЦИЯ РЕЗУЛЬТАТОВ С ПОМОЩЬЮ ЭНЕРГОБАЛАНСОВОЙ МОДЕЛИ
Описанные выше результаты могут быть интерпретированы с помощью системы из двух линейных дифференциальных уравнений, одно из которых описывает изменения содержания СО2 в атмосфере q, а другое – изменения глобальной приповерхностной температуры T.
,
.
Здесь R, λ, β, γ – постоянные положительные коэффициенты. Физический смысл слагаемых в правых частях уравнений следующий: Rq – линейное приближение для радиационного воздействия СО2, – линейное приближение для всех обратных связей в климатической системе (в том числе для парникового эффекта водяного пара в атмосфере), F – не связанное с парниковым эффектом радиационное воздействие на климатическую систему (например, за счёт вариаций солнечной постоянной); −βq + γT – поток СО2 в атмосферу из различных естественных резервуаров (включая океан и наземные экосистемы), E – внешние эмиссии СО2 в атмосферу (в частности, антропогенные эмиссии от сжигания ископаемого топлива).
Для простоты зададим F = F0sin (ωt), E = E0exp (At). В этом случае приведённая выше система может быть решена аналитически. Пренебрегая быстро затухающими экспоненциальными слагаемыми, решение данной системы можно записать в виде:
q = qssin(ωt + φq) + qeexp(At),
T = Tssin(ωt + φT ) + Teexp(At).
“Первым разностям” для рядов T и q соответствуют первые производные соответствующих функций:
q' = ωqscos (ωt + φq) + Aqeexp(At),
T' = ωTscos (ωt + φT ) + ATeexp(At) .
Для достаточно быстрых вариаций F (|A| << ω, влиянием экспоненциальных слагаемых при вычислении фазового сдвига можно пренебречь при значениях времени вплоть до t* ~ min[ ln( ω qs /A qe ), ln( ω Ts /A Te ) ]. Тогда временной лаг ∆ в случае максимизации коэффициента корреляции с учётом сдвига, соответствует определяемой аналитически фазовой задержке .
Для приведённой выше системы . Это означает, в частности, что, c учётом знакоопределённости коэффициента β в современных моделях [19], фазовая задержка постоянна по знаку. То есть при всех значениях параметров изменения температуры опережают по фазе изменения содержания СО2 в атмосфере. При этом причиной экспоненциального роста температуры является экспоненциальный рост эмиссий СО2 в атмосферу.
ЗАКЛЮЧЕНИЕ
Современные климатические модели способны адекватно воспроизводить запаздывание междумесячных инкрементов содержания СО2 в атмосфере q относительно соответствующих инкрементов глобальной приповерхностной температуры T, отмечаемое по данным наблюдений для последних десятилетий. Следовательно, данное запаздывание не может служить аргументом, опровергающим истинность теории современного глобального потепления, связывающей климатические изменения в последние десятилетия, преимущественно, с антропогенными эмиссиями парниковых газов в атмосферу.
Полученные результаты не противоречат принципу причинности, т. к. последний справедлив для событий, а не для рядов данных (фазовый сдвиг между рядами данных не равнозначен запаздыванию между событиями).
Следует ещё раз подчеркнуть, что использованные модели основаны на фундаментальных законах физики. Как следствие, воспроизводимые ими фазовые сдвиги между глобальной приповерхностной температурой и содержанием СО2 в атмосфере должны восприниматься как проявление этих законов, а не как следствие их настройки. Более того, даже знак коэффициента β энергобалансовой модели не является просто свойством современного поколения моделей Земной климатической системы [19], а определяются фундаментальной физикой применительно к земному климату. Он связан с хорошо известными эффектами фертилизации наземной растительности углекислым газом атмосферы и влиянием накопления этого газа в приводном слое на его обмен между атмосферой и океаном [20].
Результаты, полученные с использованием расчётов с ансамблем современных моделей CMIP6, подтверждают невозможность в общем случае определить характер причинно-следственной связи между двумя коррелируемыми переменными по фазовой задержке между их изменениями без привлечения физических представлений о природе их взаимодействия.
Источники финансирования
Анализ фазовых сдвигов в модели в зависимости от временных масштабов вариаций климата был проведён за счёт гранта Российского научного фонда № 23-62-10043. Анализ вариаций СО2 в моделях CMIP6 проведён в рамках государственного задания ИФА им. А.М. Обухова РАН “Диагностика и моделирование глобальных изменений климата, климата Арктики и российских регионов” (FMWR-2022-0014). При анализе использовались результаты, полученные в рамках проекта РНФ 23-47-00104 и соглашения № 075-15-2021-577 с Минобрнауки РФ.
About the authors
K. E. Muryshev
Lomonosov Moscow State University; Obukhov Institute of Atmospheric Physics Russian Academy of Sciences
Author for correspondence.
Email: kmuryshev@mail.ru
Russian Federation, Moscow; Moscow
A. V. Eliseev
Lomonosov Moscow State University; Obukhov Institute of Atmospheric Physics Russian Academy of Sciences; Marchuk Institute of Numerical Mathematics Russian Academy of Sciences; Kazan Federal University
Email: kmuryshev@mail.ru
Russian Federation, Moscow; Moscow; Moscow; Kazan
I. I. Mokhov
Lomonosov Moscow State University; Obukhov Institute of Atmospheric Physics Russian Academy of Sciences; Moscow Institute of Physics and Technology (State University)
Email: kmuryshev@mail.ru
Academician of the RAS
Russian Federation, Moscow; Moscow; DolgoprudniyA. V. Timazhev
Lomonosov Moscow State University
Email: kmuryshev@mail.ru
Russian Federation, Moscow
G. P. Klimovich
Lomonosov Moscow State University
Email: kmuryshev@mail.ru
Russian Federation, Moscow
References
- Climate Change 2021: The Physical Science Basis. Working Group I contribution to the Sixth Assessment Report of the Intergovernmental Panel on Climate Change / V. Masson-Delmotte et al. (ed.). Cambridge Univ. Press., 2021. 2406 p.
- Humlum O., Stordahl K., Solheim J. E. The phase relation between atmospheric carbon dioxide and global temperature // Global and Planetary Change. 2013. V. 100. P. 51–69.
- Cox P., Jones C. Illuminating the Modern Dance of Climate and // Science. 2008. V. 321. № 5896. P. 1642–1644.
- Monnin E., Indermohle A., Dallenbach A., Flockiger J., Stauffer B., Stocker T., Raynaud D., Barnola J.M. Atmospheric concentrations over the last glacial termination // Science. 2001. V. 291. № 5501. P. 112–114.
- Мохов И.И., Безверхний В.А., Карпенко А.А. Диагностика взаимных изменений содержания парниковых газов и температурного режима атмосферы по палеореконструкциям для антарктической станции Восток // Изв. РAH. Физика aтмocфepы и oкeaнa. 2005. Т. 41. № 5. С. 579–592.
- Мохов И.И. Взаимные изменения температуры и содержания аэрозоля в атмосфере по данным антарктических ледовых кернов для последних 800 тысяч лет // Вестник Московского университета. Серия 3. Физика. Астрономия. 2023. Т. 78. № 3. 2330903.
- Мурышев К.Е., Елисеев А.В., Мохов И.И., Тимажев А.В. Взаимное запаздывание между изменениями температуры и содержания углекислого газа в атмосфере в простой совместной модели климата и углеродного цикла // ДАН. 2015. Т. 463. № 6. С. 708–712.
- Мурышев К.Е., Тимажев А.В., Дембицкая М.В. Взаимное запаздывание между изменениями глобальной температуры и содержания углекислого газа в атмосфере при непарниковом внешнем воздействии на климатическую систему // Фундаментальная и прикладная климатология. 2017. № 3. С. 84–102.
- Muryshev K.E., Eliseev A.V., Mokhov I.I., Timazhev A.V. Lead-lag relationships between global mean temperature and the atmospheric content in dependence of the type and time scale of the forcing // Global and Planetary Change. 2017. V. 148. P. 29–41.
- Мурышев К.Е., Елисеев А.В., Денисов С.Н., Мохов И.И., Тимажев А.В., Аржанов М.М. Фазовый сдвиг между изменениями глобальной температуры и содержания СО2 в атмосфере при внешних эмиссиях парниковых газов в атмосферу // Изв. РАН. Физика атмосферы и океана. 2019. Т. 55. № 3. С. 11–19.
- Мурышев К.Е., Елисеев А.В., Мохов И.И., Тимажев А.В., Аржанов М.М., Денисов С.Н. Влияние нелинейных процессов на временной лаг между изменениями глобальной температуры и содержания углекислого газа в атмосфере // Доклады АН. 2021. Т. 501. № 1. С. 62–68.
- Ganopolski A., Roche D. On the nature of lead-lag relationships during glacial-interglacial climate transitions // Quaternary Science Reviews. 2009. V. 28. P. 3337–3361.
- Cox P.M., Betts R.A., Jones C.D., Spall S.A., Totterdell I.J. Acceleration of global warming due to carbon-cycle feedbacks in a coupled climate model // Nature. 2000. V. 408. № 6809. Р. 184–187
- Dufresne J.-L., Friedlingstein P., Berthelot M., Bopp L., Ciais P., Fairhead L., Le Treut H., Monfray P. On the magnitude of positive feedback between future climate change and the carbon cycle. // Geophys. Res. Lett. 2002. V. 29. № 10. 1405.
- Елисеев А. В., Мохов И. И., Карпенко А. А. Вариации климата и углеродного цикла в XX-XXI веках в модели промежуточной сложности // Изв. РАН. Физика атмосферы и океана. 2007. T. 43. № 1. С. 3–17.
- Eliseev A. V., Mokhov I. I. Carbon cycle-climate feedback sensitivity to parameter changes of a zero-dimensional terrestrial carbon cycle scheme in a climate model of intermediate complexity // Theor. Appl. Climatol. 2007. V. 89. № 1–2. P. 9–24.
- Мохов И. И., Елисеев А. В. Моделирование глобальных климатических изменений в XX–XXIII веках при новых сценариях антропогенных воздействий RCP // ДАН. 2012. Т. 443. № 6. С. 732–736.
- Оппенгейм А., Шафер Р. Цифровая обработка сигналов. М.: Техносфера, 2006. 856 с.
- Arora V. K., Katavouta A., Williams R. G., Jones C. D., Brovkin V., Friedlingstein P., Schwinger J., Bopp L., Boucher O., Cadule P., Chamberlain M. A., Christian J. R., Delire C., Fisher R. A., Hajima T., Ilyina T., Joetzjer E., Kawamiya M., Koven C. D., Krasting J. P., Law R. M., Lawrence D. M., Lenton A., Lindsay K., Pongratz J., Raddatz T., Sèfèrian R., Tachiiri K., Tjiputra J. F., Wiltshire A., Wu T., Ziehn T. Carbon-concentration and carbon-climate feedbacks in CMIP6 models and their comparison to CMIP5 models // Biogeosciences. 2020. V. 17. № 16. P. 4173–4222.
- Елисеев А. В. Глобальный цикл : основные процессы и взаимодействие с климатом // Фундаментальная и прикладная климатология. 2017. Т. 4. С. 9–31.
Supplementary files






