FIRST RESULTS OF COMPLEX DATING AND GROWTH RATE ESTIMATION OF SPELEOTHEM FROM VORONTSOVSKAYA CAVE (KRASNODAR REGION, RUSSIA)
- Authors: Gavriyshkin D.A.1, Maksimov F.E.2, Pasenko A.M.1, Veselovskiy R.V.1
-
Affiliations:
- Schmidt Institute of Physics of the Earth, Russian Academy of Sciences
- Saint-Petersburg State University
- Issue: Vol 513, No 2 (2023)
- Pages: 237-244
- Section: GEOPHYSICS
- Submitted: 30.12.2023
- Published: 01.12.2023
- URL: https://bakhtiniada.ru/2686-7397/article/view/247164
- DOI: https://doi.org/10.31857/S2686739723601436
- EDN: https://elibrary.ru/SYDQWZ
- ID: 247164
Cite item
Full Text
Abstract
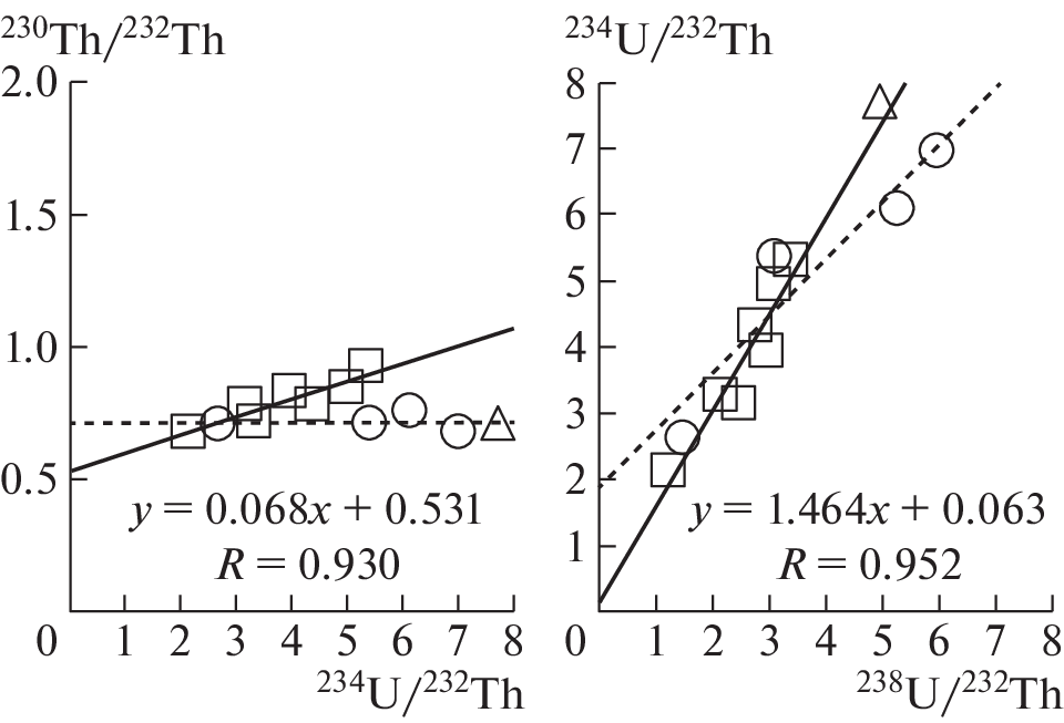
Speleothems are unique archives of information about climate, geomagnetism, and ecological conditions of past epochs of the Earth, and over the past two decades have been successfully used for paleoclimatic and paleomagnetic studies. The uniqueness of these geological objects lies in the peculiarities of their formation and preservation in them of a wide range of geochemical, geological and geophysical proxies, and, most importantly, in the ability to obtain time series of these proxies in an unprecedentedly accurate resolution using 230Th/U, 14C and some other geochronological methods, as well as incremental chronology. This paper presents the first results of dating the Vor speleothem from the Vorontsovskaya Cave (Krasnodar region), which preserved a record of the geomagnetic excursion, obtained by 230Th/U α-spectrometry, 14C dating, and incremental chronology. Such studies have been carried out in Russia for the first time. Despite the limitations of using the methods of isotope geochronology, it was possible to obtain a limit on the age of the excursion, which probably occurred no earlier than 5500–6000 years ago. At the same time, the incremental chronology made it possible to determine with great accuracy the duration of the main phase of the excursion, which equals 871 ± 16 years, during which the virtual geomagnetic pole was in the southern hemisphere, and also to obtain the upper limit on the age of the excursion, which probably occurred no later than 5.5–6 thousand years ago.
About the authors
D. A. Gavriyshkin
Schmidt Institute of Physics of the Earth, Russian Academy of Sciences
Author for correspondence.
Email: dmitry.gavriushkin@gmail.com
Russian, Moscow
F. E. Maksimov
Saint-Petersburg State University
Email: dmitry.gavriushkin@gmail.com
Russian, Saint-Petersburg
A. M. Pasenko
Schmidt Institute of Physics of the Earth, Russian Academy of Sciences
Email: dmitry.gavriushkin@gmail.com
Russian, Moscow
R. V. Veselovskiy
Schmidt Institute of Physics of the Earth, Russian Academy of Sciences
Email: dmitry.gavriushkin@gmail.com
Russian, Moscow
References
- Fairchild I.J., Smith C.L., Baker A., Fuller L., Spötl C., Mattey D., McDermott F. Modification and preservation of environmental signals in speleothems // Earth-Science Reviews. 2006. V. 75. № 1–4. P. 105–153. https://doi.org/10.1016/j.earscirev.2005.08.003
- Lascu I., Feinberg J.M. Speleothem magnetism // Quaternary Science Reviews. 2011. V. 30 (23–24). P. 3306–3320. https://doi.org/10.1016/j.quascirev.2011.08.004
- Dorale J.A., Edwards R.L., Alexander E.C., Shen CC., Richards D.A., Cheng H. Uranium-Series Dating of Speleothems: Current Techniques, Limits, & Applications. In: Sasowsky, I.D., Mylroie, J. (eds) Studies of Cave Sediments. 2004. Springer. Boston, MA. https://doi.org/10.1007/978-1-4419-9118-8_10
- Gavriushkin D.A., Pasenko A.M., Veselovskiy R.V., Rud’ko D.V. Geomagnetic Excursion Record Preserved in the Speleothem from Western Caucasus: First Data // Geodynamics & Tectonophysics. 2022. V. 13 (2s), 0624. https://doi.org/10.5800/GT-2022-13-2s-0624
- Дублянский В.Н., Илюхин В.В. Крупнейшие карстовые пещеры и шахты СССР // Изд. Наука, 1982. 137 с.
- Кузнецов В.Ю., Максимов Ф.Е. Методы четвертичной геохронометрии в палеогеографии и морской геологии. СПб.: Наука, 2012. 191 с.
- Richards D.A., Dorale J.A. Uranium-series chronology and environmental applications of speleothems / In B. Bourdon, G.M. Henderson, C.C. Lundstrom, S.P. Turner (Eds.), Uranium-series geochemistry. Reviews in mineralogy and geochemistry. Geochemical Society, Mineralogical Society of America. 2003. V. 52. P. 407–460.
- Kaufman A., Wasserburg G.J., Porcelli D., Bar-Matthews M., Ayalon A., Halicz L. U-Th isotope systematics from the Soreq Cave, Israel, and climatic correlations // Earth and Planetary Science Letters. 1998. V. 156. P. 141–155.
- Labonne M., Hillaire-Marcel C., Ghaleb B., Goy J-L. Multi-isotopic age assessment of dirty speleothem calcite: an example from Altamira Cave, Spain // Quaternary Science Reviews. 2002. V. 21. P. 1099–1110.
- Bischoff J.L., Fitzpatrick J.A. U-series dating of impure carbonates: An isochron technique using total-sample dissolution // Geochimica et Cosmochimica Acta. 1991. V. 55. P. 543–554.
- Максимов Ф.Е., Кузнецов В.Ю. Новая версия 230Th/U датирования верхне- и средненеоплейстоценовых отложений // Вестник Санкт-Петербургского университета. 2010. Серия 7. Вып. 4. С. 94–107.
- Арсланов Х.А. Радиоуглерод: Геохимия и геохронология. Л.: ЛГУ, 1987. 300 с.
- Bronk Ramsey C. OxCal. “v4. 4.4. 2021” // Scientific Reports. 2022. 12. P. 60.
- Reimer P.J., Austin W., Bard E., Bayliss A., Blackwell P.G., Bronk Ramsey C., Butzin M., et al. The IntCal20 Northern Hemisphere radiocarbon age calibration curve (0–55 cal kBP) // Radiocarbon. 2020. V. 62. № 4. P. 725–757. https://doi.org/10.1017/RDC.2020.41
- Baker A., Smith C.L., Jex C., Fairchild I.J., Genty D., Fuller L. Annually Laminated Speleothems: a Review // International Journal of Speleology. 2008. 37 (3). P. 193–206.
- Hellstrom J. U-Th dating of speleothems with high initial Th-230 using stratigraphical constraint // Quaternary Geochronology. 2006. V. 1. P. 289–295.
- Максимов Ф.Е., Савельева Л.А., Попова С.С., Зюганова И.С., Григорьев В.А., Левченко С.Б., Петров А.Ю., Фоменко А.П., Панкратова Л.А., Кузнецов В.Ю. Хроностратиграфическое положение микулинских отложений (на примере опорного разреза у д. Нижняя Боярщина, Смоленская область) // Известия РАН, серия географическая. 2022. Т. 86. № 3. С. 447–469. https://doi.org/10.31857/S2587556622030116
- Scholz D., Tolzmann J., Hoffmann D.L., Jochum K.P., Spötl C., Riechelmann D. Diagenesis of speleothems and its effect on the accuracy of 230Th/U-ages // Chemical Geology. 2014. V. 387. P. 74–86.
- Genty D., Massault M., Gilmour M., Baker A., Verheyden S., Kepens E. Calculation of past dead carbon proportion and variability by the comparison of AMS 14C and TIMS U/Th ages on two Holocene stalagmites // Radiocarbon. 1999. V. 41. P. 251–270.
- Holmgren K., Lauritzen S.E., Possnert G. 230Th/234U and 14C dating of a Late Pleistocene stalagmite in Lobatse II cave – Botswana // Quaternary Geochronology (Quaternary Science Review. 1994. V. 13. P. 111–119.




