RELEVANCE OF RECEIVER FUNCTION TECHNIQUE IN SUBDUCTION ZONE (AVACHA BAY)
- Authors: Goev A.G.1, Reznichenko R.A.1, Aleshin I.M.2
-
Affiliations:
- Sadovskiy Institute of Geosphere Dynamics, Russian Academy of Sciences
- Sсhmidt Institute of Physics of the Earth, Russian Academy of Sciences
- Issue: Vol 511, No 2 (2023)
- Pages: 222-227
- Section: SEISMOLOGY
- Submitted: 14.10.2023
- Published: 01.08.2023
- URL: https://bakhtiniada.ru/2686-7397/article/view/135872
- DOI: https://doi.org/10.31857/S2686739723600686
- EDN: https://elibrary.ru/WGHSHY
- ID: 135872
Cite item
Full Text
Abstract
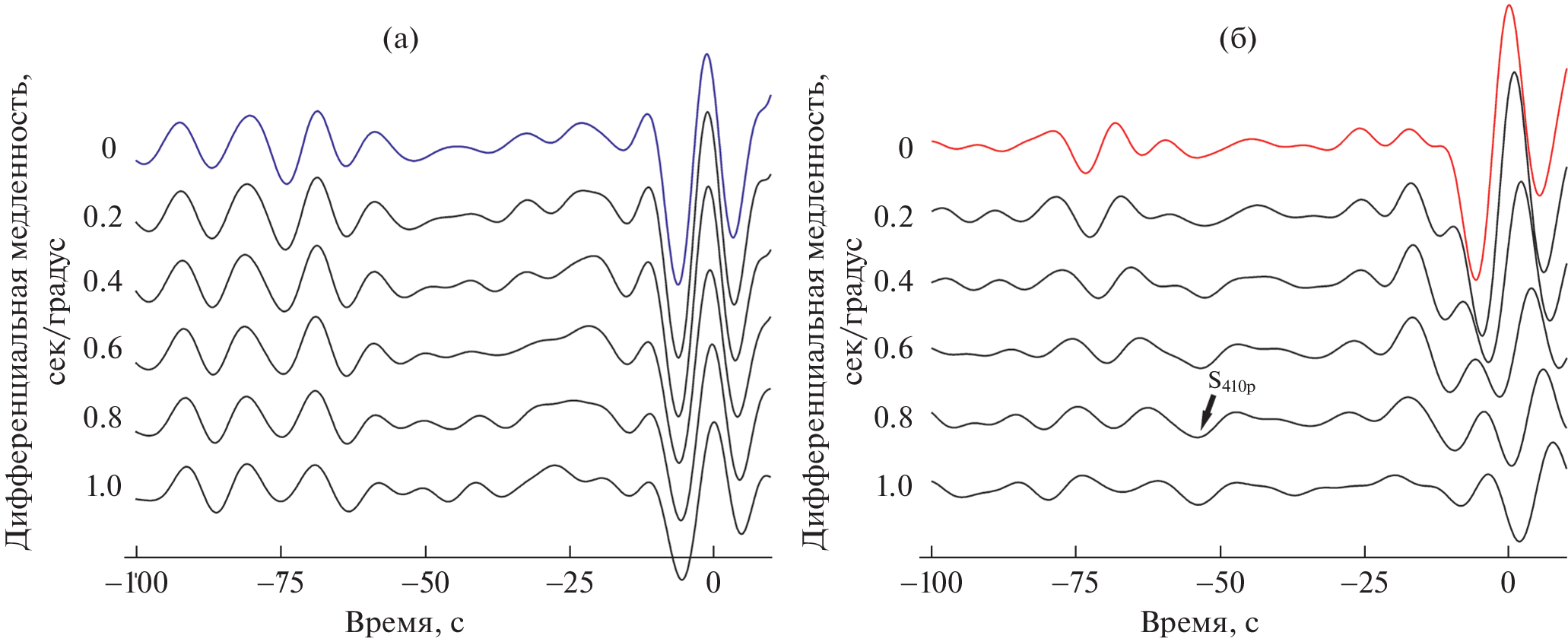
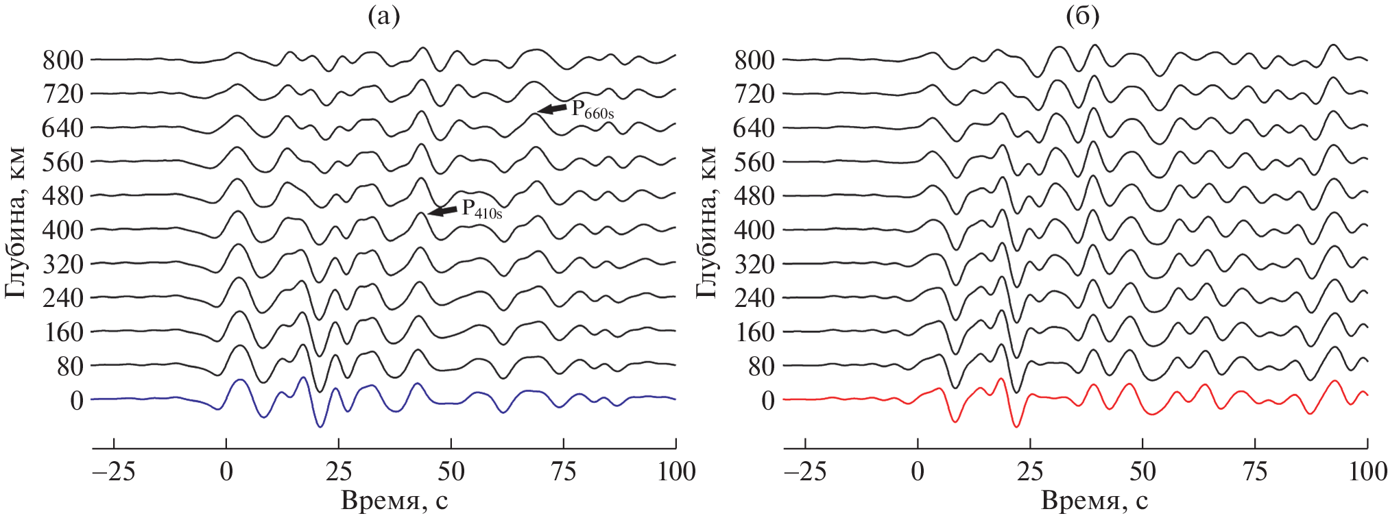
This paper elaborates on specific aspects of P- and S-receiver functions. The functions that are researched in this paper were calculated using waveforms obtained by three adjacent broadband seismic stations within the Avacha bay area in proximity to the subduction zone of the Pacific plate. The subduction zone in seismological context manifests as a layer of high seismic velocities, which are known to introduce a level of distortion to the receiver functions. To specify the level of this effect we parsed through two sets of P and S receiver functions in this research. The first set contains events that pass through and theoretically are affected by the subduction zone of the Pacific plate and the second set contains events that do not. The paper demonstrates that converted waves and their multiples formed at the boundaries of the high-velocity layer significantly affect P-receiver functions starting with 30-th second after the primary phase. However, no notable effects on S-receiver functions were revealed. Thus, we empirically confirm that [at least in the investigated area] local single-dimensional models are valid to be used for the inversion of the receiver functions to the depth of up to 200 km after which point the seismic noise produced by the subducting plate effectively limits the applicability of such models.
Keywords
About the authors
A. G. Goev
Sadovskiy Institute of Geosphere Dynamics, Russian Academy of Sciences
Author for correspondence.
Email: andr.goev@gmail.com
Russian, Moscow
R. A. Reznichenko
Sadovskiy Institute of Geosphere Dynamics, Russian Academy of Sciences
Email: andr.goev@gmail.com
Russian, Moscow
I. M. Aleshin
Sсhmidt Institute of Physics of the Earth, Russian Academy of Sciences
Email: andr.goev@gmail.com
Russian, Moscow
References
- Кулаков И.Ю., Добрецов Н.Л., Бушенкова Н.А., Яковлев А.В. Форма слэбов в зонах субдукции под Курило-Камчатской и Алеутской дугами по данным регионально томографии // Геология и геофизика. 2011. Т. 52. № 6. С. 830–851.
- Kim H.J., Kawakatsu H., Akuhara T., Shinohara M., Shiobara H., Sugioka H., Takagi R. Receiver function imaging of the amphibious NE Japan subduction zone–Effects of low-velocity sediment layer // Journal of Geophysical Research: Solid Earth. 2021. V. 126.
- Zhao D., Fujisawa M., Toyokuni G. Tomography of the subducting Pacific slab and the 2015 Bonin deepest earthquake (Mw 7.9) // Sci. Rep. 2017. V. 7. № 44487.
- Винник Л.П. Сейсмология приемных функций // Физика Земли. 2019. № 1. С. 16–27.
- Vinnik L.P., Oreshin S.I., Makeyeva L.I. Siberian Traps: Hypotheses and Seismology Data // Izvestiya, Physics of the Solid Earth. 2017. V. 53. № 3. P. 332–340.
- Goev A.G., Sanina I.A., Oreshin S.I., Reznichenko R.A., Tarasov S.A., Fedorov A.V. Receiver-Function Velocity Structure of the Lithosphere beneath the Khibiny and Lovozero Massifs, Northeastern Baltic Shield // Izvestiya, Physics of the Solid Earth. 2021. V. 57. № 5. P. 605–613.
- Vinnik L.P., Reigber C., Aleshin I.M., Kosarev G.L., Kaban M.K., Oreshin S.I., Roecker S. Receiver function tomography of the central Tien Shan // Earth and Planetary Science Letters. 2004. Iss. 1–2. V. 225. P. 131–146.
- Kraft H.A., Vinnik L.P., Thybo H. Mantle transition zone beneath central-eastern Greenland: Possible evidence for a deep tectosphere from receiver functions // Tectonophysics. 2018. V. 728–729. P. 34–40.
- Kosarev G., Oreshin S., Vinnik L., Kiselev S., Dattatrayam R., Suresh G., Baidya P. Heterogeneous lithosphere and the underlying mantle of the Indian subcontinent // Tectonophysics. 2013. V. 592. P. 175–186.
- Oreshin S., Kiselev S., Vinnik L.K. Prakasam Surya, Shyam S. Rai, Makeyeva L., Savvin Y. Crust and mantle beneath western Himalaya, Ladakh and western Tibet from integrated seismic data // Earth Planet. Sci. Lett. 2008. V. 271. P. 75–87.
- Farra V., Vinnik L. Upper mantle stratification by P- and S-receiver functions // Geophys. J. Int. 2000. V. 141. P. 699–712.
- Dziewonski A.M., Chou T. A., Woodhouse J.H. Determination of earthquake source parameters from waveform data for studies of global and regional seismicity // J. Geophys. Res. 1981. V. 86. P. 2825–2852.
- Ekstrom G., Nettles M., Dziewonski A.M. The global CMT project 2004–2010: Centroid-moment tensors for 13017 earthquakes // Phys. Earth Planet. Inter. 2012. V. 200–201. P. 1–9.
- Agius M.R., Rychert C.A., Harmon N., Tharimena S., Kendall J.M. A thin mantle transition zone beneath the equatorial Mid-Atlantic Ridge // Nature. 2021. V. 589. P. 562–566.
- Алешин И.М. Построение решения обратной задачи по ансамблю моделей на примере инверсии приемных функций // Докл. РАН. Науки о Земле. Т. 496. № 1. 2021. С. 63–66.
Supplementary files






