TRACE ELEMENT COMPOSITION OF THE WATERS OF THE KOLYMA RIVER MOUTH SECTION
- Authors: Savenko A.V.1, Savenko V.S.1, Efimov V.A.1, Pokrovsky O.S.2
-
Affiliations:
- Lomonosov Moscow State University
- National Research Tomsk State University
- Issue: Vol 509, No 2 (2023)
- Pages: 272-275
- Section: LAND WATERS PROBLEMS
- Submitted: 14.10.2023
- Published: 01.02.2023
- URL: https://bakhtiniada.ru/2686-7397/article/view/135855
- DOI: https://doi.org/10.31857/S2686739722602800
- EDN: https://elibrary.ru/NZFQEA
- ID: 135855
Cite item
Full Text
Abstract
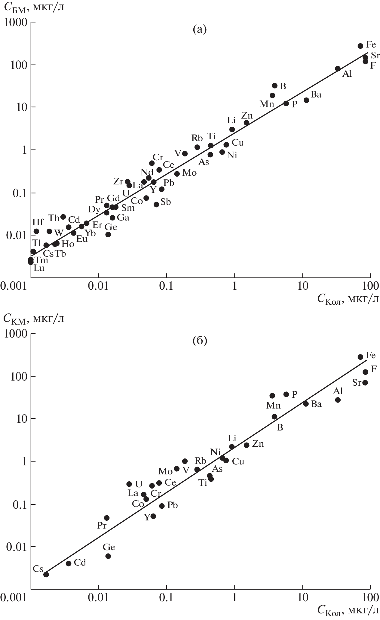
The content of ions of the main salt composition and 50 dissolved trace elements (Li, Rb, Cs, Be, Sr, Ba, Mn, Fe, Co, Ni, Cu, Zn, Cd, Tl, Pb, Al, Sc, Ga, Y, La, Ce, Pr, Nd, Sm, Eu, Gd, Tb, Dy, Ho, Er, Tm, Yb, Lu, Ti, Zr, Hf, Th, U, F, B, Si, Ge, P, V, As, Sb, Cr, Se, Mo, W) in the waters of the Kolyma River mouth section the spring–summer flood decline and on the summer–autumn period was determined. A close positive correlation was established between the dissolved trace elements concentrations in the waters of the Kolyma River and of the rivers in the White and Kara seas catchment areas. Differences in the concentrations of dissolved trace elements in the river waters of the Russian Arctic are generally proportional to the ratio of their mineralization values.
Keywords
About the authors
A. V. Savenko
Lomonosov Moscow State University
Author for correspondence.
Email: Alla_Savenko@rambler.ru
Russian Federation, Moscow
V. S. Savenko
Lomonosov Moscow State University
Email: Alla_Savenko@rambler.ru
Russian Federation, Moscow
V. A. Efimov
Lomonosov Moscow State University
Email: Alla_Savenko@rambler.ru
Russian Federation, Moscow
O. S. Pokrovsky
National Research Tomsk State University
Email: Alla_Savenko@rambler.ru
Russian, Tomsk
References
- Meybeck M. Global occurrence of major elements in rivers // Treatise on Geochemistry. V. 5. Amsterdam: Elsevier–Pergamon, 2004. P. 207–223.
- Гордеев В.В. Геохимия системы река–море. М., 2012. 452 с.
- Gaillardet J., Viers J., Dupre B. Trace elements in river waters // Treatise on Geochemistry (Second Edition). V. 7. Amsterdam et al.: Elsevier, 2014. P. 195–235.
- Савенко А.В., Савенко В.С., Покровский О.С. Новые данные по содержанию растворенных микроэлементов в водах рек Российской Арктики // ДАН. Науки о Земле. 2020. Т. 491. № 2. С. 82–88.
- Магрицкий Д.В., Фролова Н.Л., Агафонова С.А., Ефимов В.А., Василенко А.Н., Сазонов А.А., Ефимо-ва Л.Е. Гидрологические условия в устье реки Колымы летом 2019 года // Вестн. Моск. ун-та. Сер. 5. География. 2022. № 1. С. 134–151.
- Михайлов В.Н. Устья рек России и сопредельных стран: прошлое, настоящее и будущее. М.: ГЕОС, 1997. 413 с.
- Гордеев В.В., Филиппов А.С., Кравчишина М.Д., Новигатский А.Н., Покровский О.С., Шевченко В.П., Дара О.М. Особенности геохимии речного стока в Белое море // Система Белого моря. Т. 2. Водная толща и взаимодействующие с ней атмосфера, криосфера, речной сток и биосфера. М.: Научный мир, 2012. С. 225–308.
- Gordeev V.V., Andreeva E.N., Lisitzin A.P., Kremer H.H., Salomons W., Marshall Crossland J.I. Russian Arctic Basins. LOICZ Reports and Studies No. 29. Geesthacht: LOICZ, 2006. 97 p.




