ANOMALOUS ABSORPTION OF SMOKE AEROSOL IN THE VISIBLE AND NEAR-INFRARED OF SPECTRUM INTERVALS
- Autores: Gorchakov G.I.1, Gushchin R.A.1, Kopeikin V.M.1, Karpov A.V.1, Semoutnikova E.G.2, Datsenko O.I.3, Ponomareva T.Y.1
-
Afiliações:
- A.M. Obukhov Institute of Atmospheric Physics, Russian Academy of Sciences
- M.V. Lomonosov Moscow State University, Faculty of Physics
- Hydrometeorological Research Center of Russia
- Edição: Volume 510, Nº 1 (2023)
- Páginas: 92-98
- Seção: ATMOSPHERIC AND HYDROSPHERIC PHYSICS
- ##submission.dateSubmitted##: 14.10.2023
- ##submission.datePublished##: 01.05.2023
- URL: https://bakhtiniada.ru/2686-7397/article/view/135854
- DOI: https://doi.org/10.31857/S2686739723600030
- EDN: https://elibrary.ru/FGJJXY
- ID: 135854
Citar
Texto integral
Resumo
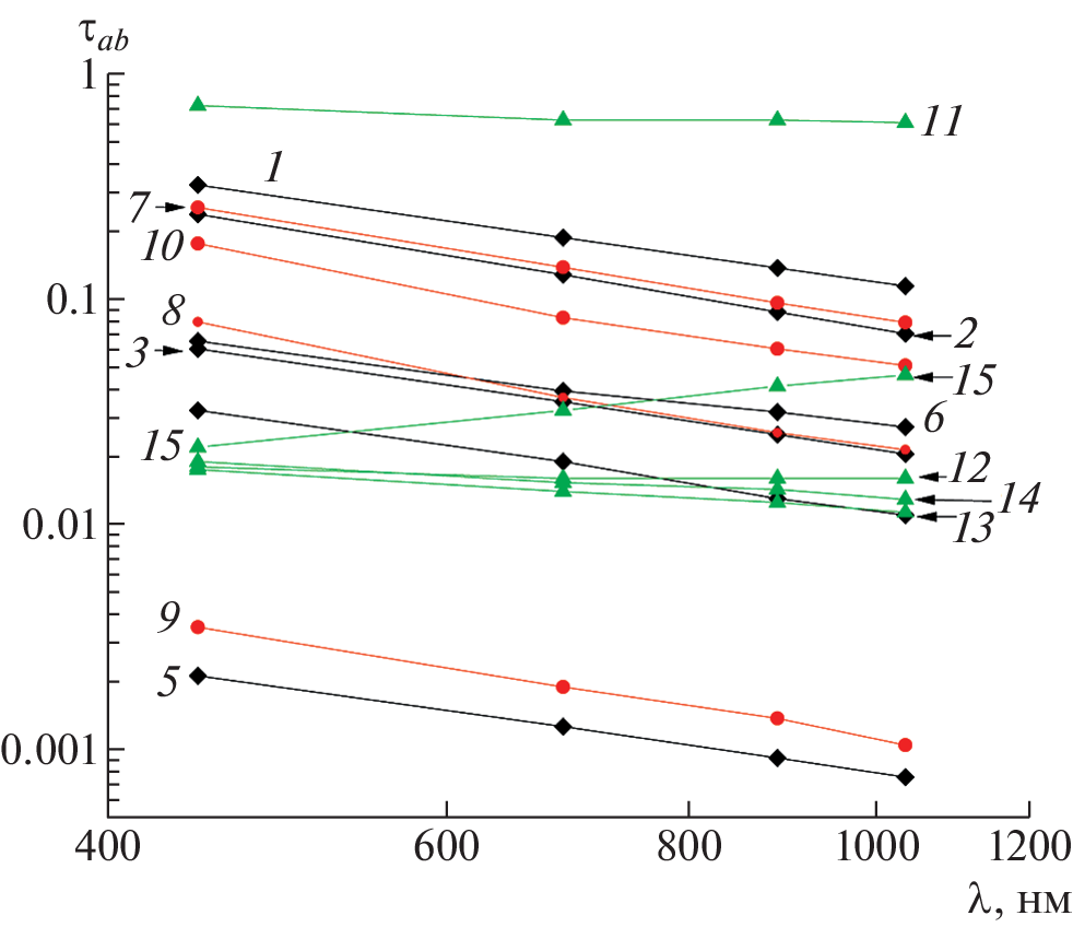
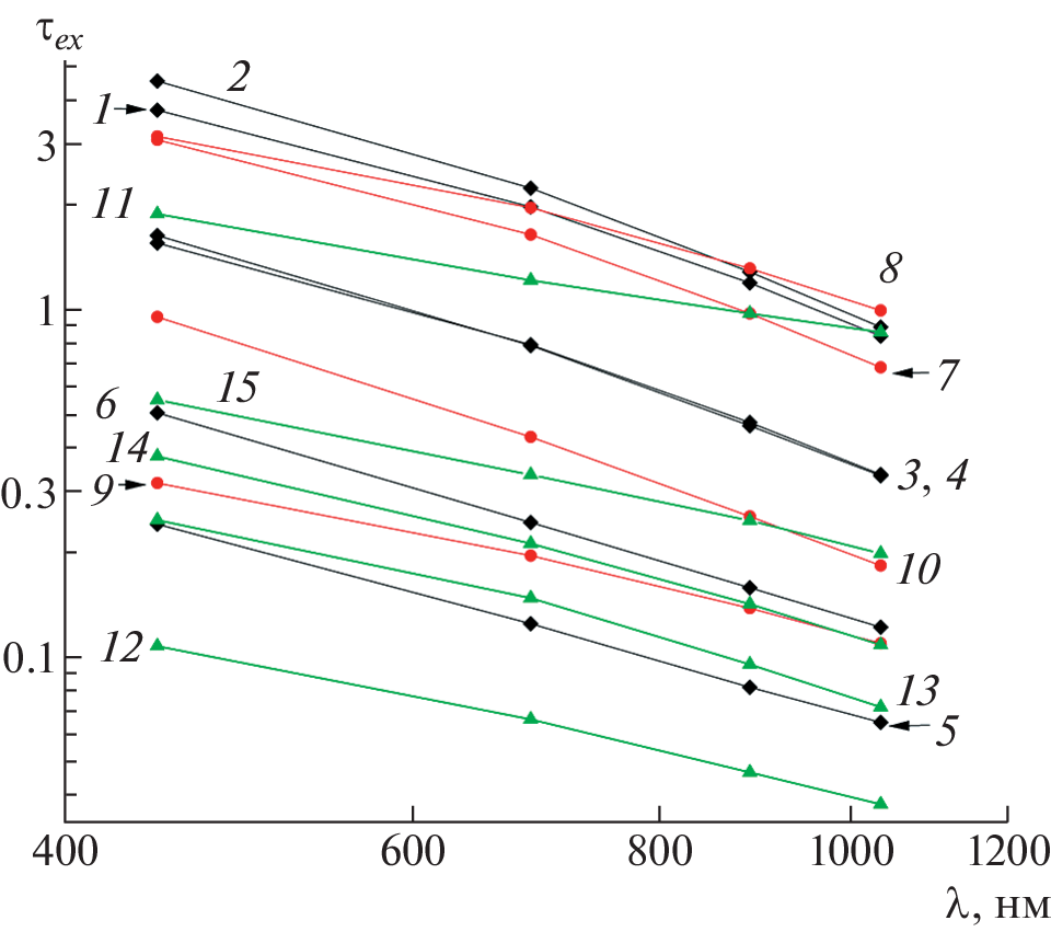
In large-scale smoke haze during mass fires in the boreal forests of Alaska in July 2019 in the visible and near infrared of spectrum intervals 440–1020 nm, according to monitoring data on the network of AERONET stations of the spectral dependences of the refractive index imaginary part, anomalous absorption of the fine smoke aerosol was found. Variations in the spectral dependences of the aerosol optical extinction and absorption depths, as well as the size distribution function of aerosol particles, are analyzed. With anomalous absorption, the imaginary part of the refractive index increased by a factor of 1.8–7.2 with increasing wavelength from 440 to 1020 nm, reaching a value of 0.315 for the wavelength of 1020 nm. A power-law approximation of the spectral dependence of the refractive index imaginary part with exponents approximately from 0.7 to 2.3 is proposed.
Sobre autores
G. Gorchakov
A.M. Obukhov Institute of Atmospheric Physics, Russian Academy of Sciences
Autor responsável pela correspondência
Email: gengor@ifaran.ru
Russian, Moscow
R. Gushchin
A.M. Obukhov Institute of Atmospheric Physics, Russian Academy of Sciences
Email: gengor@ifaran.ru
Russian, Moscow
V. Kopeikin
A.M. Obukhov Institute of Atmospheric Physics, Russian Academy of Sciences
Email: gengor@ifaran.ru
Russian, Moscow
A. Karpov
A.M. Obukhov Institute of Atmospheric Physics, Russian Academy of Sciences
Email: gengor@ifaran.ru
Russian, Moscow
E. Semoutnikova
M.V. Lomonosov Moscow State University, Faculty of Physics
Email: gengor@ifaran.ru
Russian, Moscow
O. Datsenko
Hydrometeorological Research Center of Russia
Email: gengor@ifaran.ru
Russian, Moscow
T. Ponomareva
A.M. Obukhov Institute of Atmospheric Physics, Russian Academy of Sciences
Email: gengor@ifaran.ru
Russian, Moscow
Bibliografia
- Мохов И.И., Горчакова И.А. // ДАН. 2005. Т. 400. № 4. С. 528–531.
- Панченко М.В., Журавлева Т.Б., Козлов В.С. и др. Метеорология и гидрология. 2016. № 2. С. 45–54.
- Голицын Г.С., Горчаков Г.И., Гречко Е.И. и др. // ДАН. 2011. Т. 441. № 4. С. 532–538.
- Holben B.N., Eck T.F., Slutsker I., et al // Remote Sensing of Environ. 1998. V. 66. № 1. P. 1–16.
- Dubovik O., King M.D. // J. Geophys. Res. 2000. V. 105. № D16. P. 20673–20696.
- Горчаков Г.И., Аникин П.П., Волох А.А. и др. // ДАН. 2003. Т. 390. № 2. С. 251–254.
- Горчаков Г.И., Аникин П.П., Волох А.А. и др. // Изв. РАН. Физика атмосферы и океана. 2004. Т. 40. № 3. С. 366–380.
- Горчаков Г.И., Свириденков М.А., Семутникова Е.Г. и др. // ДАН. 2011. Т. 437. № 5. С. 686–690.
- Горчаков Г.И., Голицын Г.С., Ситнов С.А. и др. // ДАН. 2018. Т. 482. № 2. С. 209–212.
- Горчаков Г.И., Ситнов С.А., Карпов А.В. и др. // Изв. РАН. Физика атмосферы и океана. 2019. Т. 55. № 3. С. 41–51.
- Eck T.F., Holben B.N., Reid J.S., et al. // J. Geophys. Res.: Atmospheres. 2009. V. 114. D11208.
- Dubovik O., Holben B.N., Eck T.F., et al. // J. Atm. Sci. 2002. V. 59. № 3. Part 2. P. 590–608.
- Зуев В.Е., Креков Г.М. Оптические модели атмосферы. Л.: Гидрометеоиздат. 1986. 256 с.
- Feng Y., Ramanathan V., Kotamarthi V.R. // Atm. Chem. Phys. 2013. V. 13. № 17. P. 8607–8621.
- Горчаков Г.И., Васильев А.В., Веричев К.С. и др. // ДАН. 2016. Т. 471. № 1. С. 91–97.
- Gorchakov G.I., Karpov A.V., Vasiliev A.V., Gorchako-va I.A. // Atmos. Oceanic Opt. 2017. V. 30. № 3. P. 248–254.
- Gorchakov G.I., Sitnov S.A., Sviridenkov M.A., et al. // Int. J. Remote Sens. 2014. V. 35. № 15. P. 5698–5721.
- Bergstrom R.W., Russell P.B., Hignett P. // J. Atm. Sci. 2002. V. 59. № 3. Part P. 567–577.
- Грин Х., Лейн В. Аэрозоли-пыли, дымы и туманы. Л.: Химия. 1969. 427 с.
Arquivos suplementares






