EFFECT OF SULFUR CONCENTRATION ON OLIVINE SULFIDATION UNDER LITHOSPHERIC MANTLE PT-PARAMETERS
- Autores: Bataleva Y.V.1, Furman O.V.1, Zdrokov E.V.1, Borzdov Y.M.1, Palyanov Y.N.1
-
Afiliações:
- Sobolev Institute of Geology and Mineralogy, Siberian Branch of Russian Academy of Sciences
- Edição: Volume 509, Nº 2 (2023)
- Páginas: 177-183
- Seção: GEOCHEMISTRY
- ##submission.dateSubmitted##: 14.10.2023
- ##submission.datePublished##: 01.02.2023
- URL: https://bakhtiniada.ru/2686-7397/article/view/135827
- DOI: https://doi.org/10.31857/S2686739722602642
- EDN: https://elibrary.ru/NYOEQA
- ID: 135827
Citar
Texto integral
Resumo
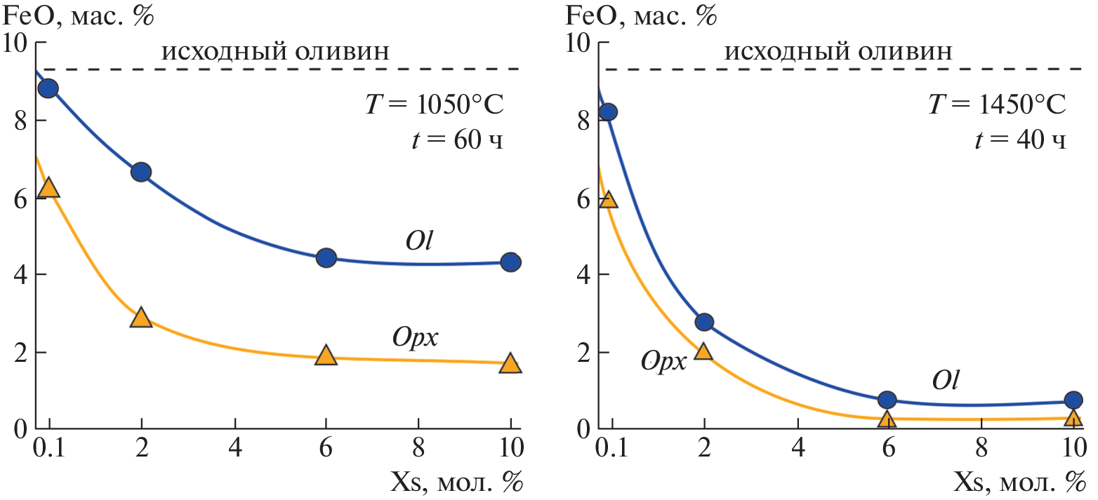
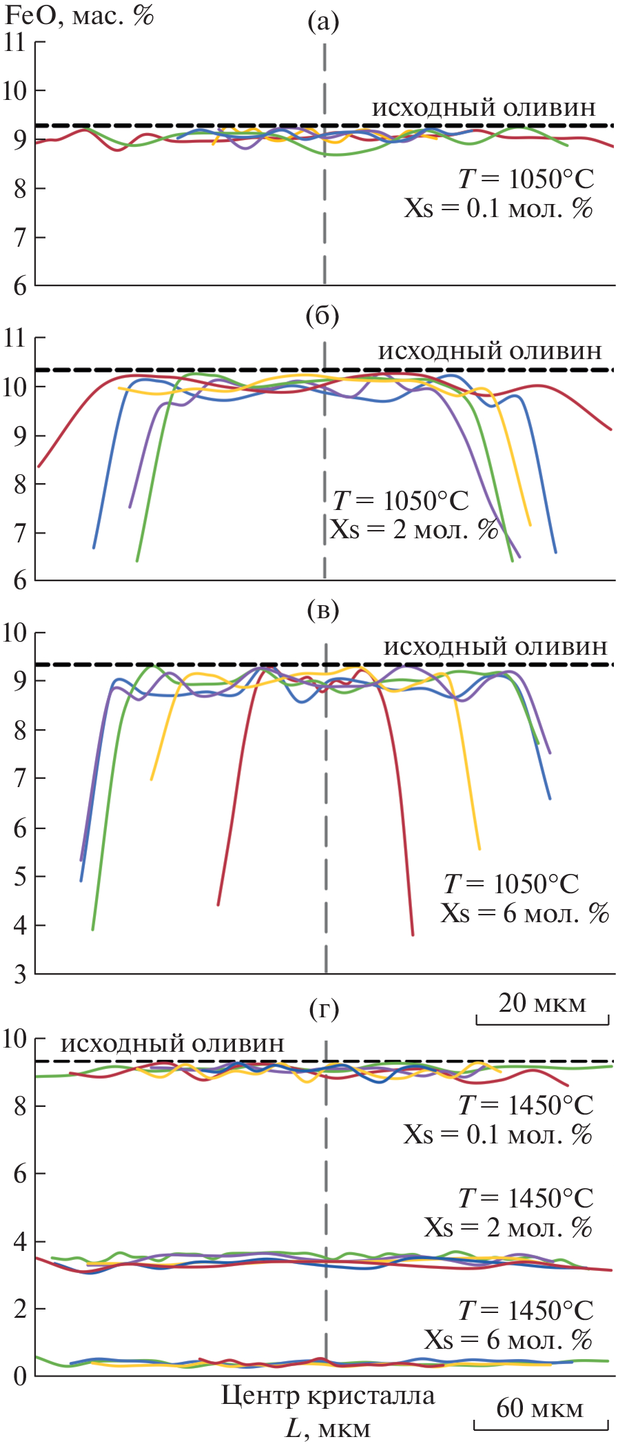
Experimental studies aimed at the modeling of interaction processes of sulfur-bearing metasomatic agents with mantle silicates and assessing the effect of sulfur concentration on olivine sulfidation were carried out in the Fe,Ni-olivine – sulfur system using the high-pressure multi-anvil apparatus BARS (1050 and 1450°C, 6.3 GPa, 40–60 hours, sulfur concentrations (Xs) 0.1, 2 and 6 mol. %.). It has been established that as a result of the recrystallization of Fe,Ni-olivine in a sulfur melt, Fe and Ni are extracted from olivine into this melt, and formation of Fe,Ni-sulfides (or sulfide melts) and low-iron, low-nickel silicates takes place. The key indicator characteristics of the olivine sulfidation process are determined depending on the temperature and sulfur concentration, including characteristic phase assemblages, regularities in the evolution of the chemical compositions of mineral and melt phases, and structural features of olivine crystals. It has been experimentally established that reducing sulfur-bearing metasomatic agents, even in minimal concentrations and at relatively low temperatures, are capable of dissolving and transporting mantle silicates and sulfides, and can play an important role in sulfide ore formation in the mantle.
Sobre autores
Y. Bataleva
Sobolev Institute of Geology and Mineralogy, Siberian Branch of Russian Academy of Sciences
Autor responsável pela correspondência
Email: bataleva@igm.nsc.ru
Russian Federation, Novosibirsk
O. Furman
Sobolev Institute of Geology and Mineralogy, Siberian Branch of Russian Academy of Sciences
Email: bataleva@igm.nsc.ru
Russian Federation, Novosibirsk
E. Zdrokov
Sobolev Institute of Geology and Mineralogy, Siberian Branch of Russian Academy of Sciences
Email: bataleva@igm.nsc.ru
Russian Federation, Novosibirsk
Y. Borzdov
Sobolev Institute of Geology and Mineralogy, Siberian Branch of Russian Academy of Sciences
Email: bataleva@igm.nsc.ru
Russian Federation, Novosibirsk
Y. Palyanov
Sobolev Institute of Geology and Mineralogy, Siberian Branch of Russian Academy of Sciences
Email: bataleva@igm.nsc.ru
Russian Federation, Novosibirsk
Bibliografia
- O’Reilly S.Y., Griffin W.L. Mantle metasomatism. In: Harlov D.E., Austrheim H., editors. Metasomatism and the chemical transformation of rock: the role of fluids in terrestrial and extraterrestrial processes. Lecture notes in earth system sciences. London: Springer, Springer Nature; 2013. P. 471‒533.
- Evans K.A. The redox budget of subduction zones // Earth–Science Reviews. 2012. V. 113. P. 11‒32.
- Tomkins A., Evans K. Separate zones of sulfate and sulfide release from subducted mafic oceanic crust // Earth and Planetary Science Letters. 2015. V. 428. P. 73‒83.
- Kullerud G., Yoder H.S., Jr. Sulfide–silicate relations // Carnegie Institution of Washington Year Book. 1963. V. 62. P. 215‒218.
- Fleet M.E., MacRae N.D. Sulfidation of Mg-rich olivine and the stability of niningerite in enstatite chondrites // Geochimica et Cosmochimica Acta. 1987. V. 51. P. 1511‒1521.
- Bataleva Yu.V., Palyanov Yu.N., Borzdov Yu.M., et al. Sulfidation of silicate mantle by reduced S–bearing metasomatic fluids and melts // Geology. 2016. V. 44. № 4. P. 271‒274.
- Palyanov Y., Kupriyanov I., Khokhryakov A., Borzdov Y. High-pressure crystallization and properties of diamond from magnesium-based catalysts // CrystEngComm. 2017. № 19. P. 4459–4475.
- Dasgupta R., Buono A., Whelan G., et al. High-pressure melting relations in Fe–C–S systems: implications for formation, evolution, and structure of metallic cores in planetary bodies // Geochimica et Cosmochimica Acta. 2009. V. 73. P. 6678–6691.
- Palyanov Y.N., Borzdov Y.M., Bataleva Y.V., Sokol A.G., Palyanova G.A., Kupriyanov I.N. Reducing role of sulfides and diamond formation in the Earth’s mantle // Earth and Planetary Science Letters. 2007. № 260 (1‒2). P. 242‒256.
- Bataleva Y.V., Novoselov I.D., Borzdov Y.M., et al. Experimental modeling of ankerite–pyrite interaction under lithospheric mantle P–T parameters: Implications for graphite formation as a result of ankerite sulfidation // Minerals. 2021. V. 11. Article № 1267.
- Brazhkin V.V., Popova S.V., Voloshin R.N. Pressure-temperature phase diagram of molten elements: selenium, sulfur and iodine // Physica B, Condensed Matter. 1999. V. 265. P. 64‒71.
- Eggler D.H., Lorand J.P. Mantle sulfide geobarometry // Geochimica et Cosmochimica Acta. 1993. V. 57. P. 2213‒2222.
- Sharp W.E. Melting Curves of Sphalerite, Galena, and Pyrrhotite and the Decomposition Curve of Pyrite between 30 and 65 Kilobars // Journal of Geophysical Research. 1969. V. 74, P. 1645–1652.
- Alard O., Lorand J.P., Reisberg L., et al. Volatile-rich metasomatism in Montferrier xenoliths (Southern France): Implications for the abundances of chalcophile and highly siderophile elements in the subcontinental mantle // Journal of Petrology. 2011. V. 52. № 10. P. 2009‒2045.
- Papike J.J., Spilde M.N., Fowler G.W., et al. The Lodran primitive achondrite: Petrogenetic insights from electron and ion microprobe analysis of olivine and orthopyroxene // Geochimica et Cosmochimica Acta. 1995. V. 59. № 14. P. 3061‒3070.
Arquivos suplementares




