SPREADING OF TECHNICAL OILS AND CRUDE OIL ON THE SURFACE OF THE WATER
- Authors: Kistovich A.V.1, Chaplina T.O.1, Pakhnenko V.P.1
-
Affiliations:
- A. Ishlinsky Institute for Problems in Mechanics of the Russian Academy of Sciences
- Issue: Vol 508, No 2 (2023)
- Pages: 290-296
- Section: GEOECOLOGY
- Submitted: 14.10.2023
- Published: 01.02.2023
- URL: https://bakhtiniada.ru/2686-7397/article/view/135758
- DOI: https://doi.org/10.31857/S2686739722601211
- EDN: https://elibrary.ru/SXHTWZ
- ID: 135758
Cite item
Full Text
Abstract
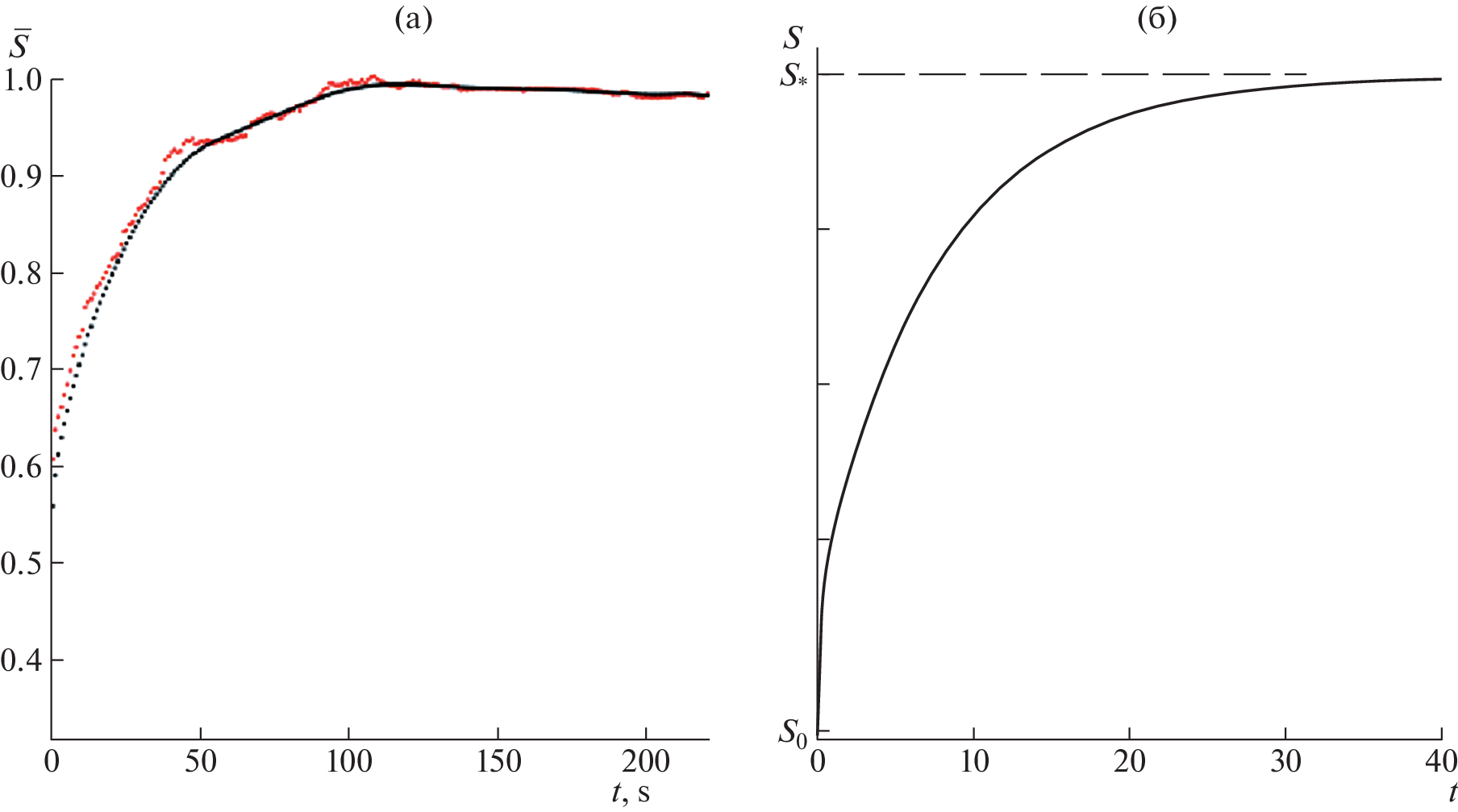
A mathematical model of oleic spot propagation based on the laws of conservation of mass and total energy of the system is constructed. Compact solutions of this model are presented both for machine oil stains of limited area and for unlimited spills of crude oil. Experiments have been carried out to study the dynamics of spreading of a compact spot of reference engine oil and crude oil under various physical conditions. Comparison of experimental and theoretical results showed their good agreement for all dynamic modes of the process under study.
Keywords
About the authors
A. V. Kistovich
A. Ishlinsky Institute for Problems in Mechanics of the Russian Academy of Sciences
Email: tanya75.06@mail.ru
Russian Federation, Moscow
T. O. Chaplina
A. Ishlinsky Institute for Problems in Mechanics of the Russian Academy of Sciences
Author for correspondence.
Email: tanya75.06@mail.ru
Russian Federation, Moscow
V. P. Pakhnenko
A. Ishlinsky Institute for Problems in Mechanics of the Russian Academy of Sciences
Email: tanya75.06@mail.ru
Russian Federation, Moscow
References
- Fay J.A. The spreading of oil slicks on a calm sea from oil on the sea. Hoult D.P. (ed.) 1969. Plenum Press. New York, P. 53–64.
- Hoult D.P. Oil spreading on the sea//Annual Review of Fluid Mechanics. 1972. V. 4. P. 341–368.
- DiPietro N.D., Huh C., Cox R.G. The hydrodynamics of the spreading of one liquid on the surface of another // Journal of Fluid Mechanics. 1978. V. 84. Part 3. P. 529–549.
- Zyryanov V.N., Shuranova S.V. Spreading of oil spots on the sea surface taking into account weathering // Processes in Geomedia. 2015. No 1. P. 30–36.
- Chaplina T.O., Stepanova E.V. Elimination of Hydrocarbons Spills on Water Objects and Fluorescent Diagnostics of Water Pureness // Physical and Mathematical Modeling of Earth and Environment Processes. 2018. P. 17–28.
- Matsuzaki Y., Ogasawara T., Sakai S., Izumiyama K., Kanada S. Numerical simulation of current-induced deformation and movements of the oil slick under the ice cover / Proceeding of the 18th IAHR International Symposium on Ice. 2006. P. 219–226.
- Mackay D., Leinonen P.J., Overall J.C.K., Wood B.R. The behavior of crude oil spilled on snow // Geology. Arctic. 1975. P. 10–20.
- Solodkii D.M., Kistovich A.V. Modified shift algorithm for processing measured data// Measurement Techniques. 2015. V. 57. No 11. P. 1287–1292. https://doi.org/10.1007/s11018-015-0622-5
- Kistovich A.V., Chaplina T.O. Analytical and experimental modeling of the hydrocarbon slick form and its spreading on the water surface // Physics of Fluids. 2021. V. 33. P. 076605. https://doi.org/10.1063/5.005470
Supplementary files





