AGE OF THE FORMATION OF EARLY PRECAMBRIAN CARBONATITES IN THE SOUTH-EASTERN PART OF THE CHARO-OLEKMINSKY GEOBLOCK, ALDAN SHIELD
- Authors: Stifeeva M.V.1, Tolmacheva E.V.1, Plotkina Y.V.1, Kovach V.P.1, Adamskaya E.V.1, Sotnikova I.A.2, Salnikova E.B.1, Kotov A.B.1, Vladykin N.V.2, Alymova N.V.2
-
Affiliations:
- Institute of Precambrian Geology and Geochronology Russian Academy of Sciences
- Vinogradov Institute of Geochemistry Siberian Branch of the Russian Academy of Sciences
- Issue: Vol 508, No 1 (2023)
- Pages: 32-36
- Section: GEOLOGY OF ORE DEPOSITS
- Submitted: 14.10.2023
- Published: 01.01.2023
- URL: https://bakhtiniada.ru/2686-7397/article/view/135709
- DOI: https://doi.org/10.31857/S2686739722601880
- EDN: https://elibrary.ru/GETKBE
- ID: 135709
Cite item
Full Text
Abstract
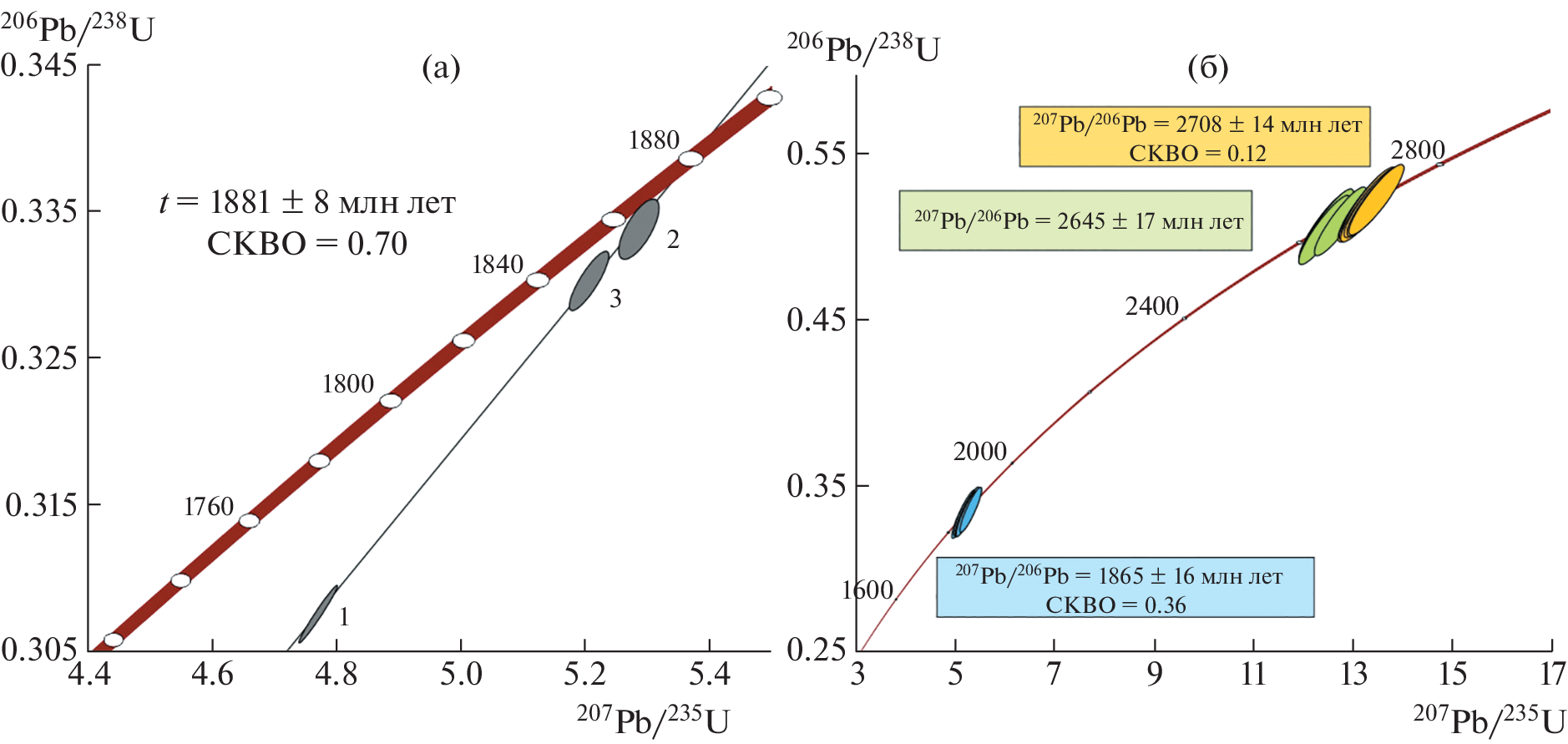
Presents the results of U–Pb geochronological (ID–TIMS) studies of garnet and U–Th–Pb (LA–ICP–MS) “screening” geochronological studies of zircon from pyroxene-carbonate rocks of the Ukduska massif. The U–Pb age of garnets (1881 ± 8 million years) and age of zircon rim (1865 ± 16 million years) indicate the early Proterozoic age of these rocks. The results of geochronological studies allow to identify a new stage of carbonate magmatism within the southeastern part of the Charo-Olekminsky geoblock.
Keywords
About the authors
M. V. Stifeeva
Institute of Precambrian Geology and Geochronology Russian Academy of Sciences
Author for correspondence.
Email: stifeeva.maria@yandex.ru
Russian, Saint-Petersburg
E. V. Tolmacheva
Institute of Precambrian Geology and Geochronology Russian Academy of Sciences
Email: stifeeva.maria@yandex.ru
Russian, Saint-Petersburg
Y. V. Plotkina
Institute of Precambrian Geology and Geochronology Russian Academy of Sciences
Email: stifeeva.maria@yandex.ru
Russian, Saint-Petersburg
V. P. Kovach
Institute of Precambrian Geology and Geochronology Russian Academy of Sciences
Email: stifeeva.maria@yandex.ru
Russian, Saint-Petersburg
E. V. Adamskaya
Institute of Precambrian Geology and Geochronology Russian Academy of Sciences
Email: stifeeva.maria@yandex.ru
Russian, Saint-Petersburg
I. A. Sotnikova
Vinogradov Institute of Geochemistry Siberian Branch of the Russian Academy of Sciences
Email: stifeeva.maria@yandex.ru
Russian, Irkutsk
E. B. Salnikova
Institute of Precambrian Geology and Geochronology Russian Academy of Sciences
Email: stifeeva.maria@yandex.ru
Russian, Saint-Petersburg
A. B. Kotov
Institute of Precambrian Geology and Geochronology Russian Academy of Sciences
Email: stifeeva.maria@yandex.ru
Russian, Saint-Petersburg
N. V. Vladykin
Vinogradov Institute of Geochemistry Siberian Branch of the Russian Academy of Sciences
Email: stifeeva.maria@yandex.ru
Russian, Irkutsk
N. V. Alymova
Vinogradov Institute of Geochemistry Siberian Branch of the Russian Academy of Sciences
Email: stifeeva.maria@yandex.ru
Russian, Irkutsk
References
- Табунс Э.В., Сальникова Е.Б., Коваленко В.И., Ковач В.П., Котов А.Б., Яковлева С.З., Федосеен-ко А.М., Толкачев М.Д., Плоткина Ю.В. Позднеархейский возраст инициального калиевого магматизма Алданского щита (массив Укдуска): результаты U-Pb-датирования единичных зерен циркона // ДАН. 2004. Т. 398. № 1. С. 102–105.
- Перовская Л.К., Баринова А.С., Кисляк А.А. и др. Отчет по предварительной разведке месторождения Укдуска Ханинского апатитоносного района за 1984–1986 г.г. п. Торго. 1987 г.
- Кушнарев И.П. Генезис Ханинского апатитового месторождения // Известия высших учебных заведений // Геология и разведка. 1988. № 1. С. 66–73.
- Котов А.Б. Граничные условия геодинамических моделей формирования континентальной коры Алданского щита: Дис. в виде научного доклада на соискание учен. степени докт. геол.-мин. наук. Санкт-Петербург, 2003. 79 с.
- Nutman A.P., Chernyshev I.V., Baadsgaard H., Sme-lov A.P. The Aldan shield of Siberia, USSR: The age of its Archean components and evidence for widespread reworking in the Mid-Proterozoic // Precambrian Research. 1992. V. 54. P. 195–209.
- Владыкин Н.В. Петрология и рудоносность К-щелочных комплексов Монголо-Охотского ареала магматизма: Дис. в виде научного доклада на соискание учен. степени докт. геол.-мин. наук. Иркутск, 1997. 80 с.
- Стифеева М.В., Сальникова Е.Б., Арзамасцев А.А., Котов А.Б., Гроздев В.Ю. Кальциевые гранаты как источник информации о возрасте щелочно-ультраосновных интрузий Кольской магматической провинции // Петрология. 2020. Т. 28. № 1. С. 72–84.
- Ludwig K.R. PbDat for MS–DOS, version 1.21 U.S. Geological Survey Open-File Report 88-542. 1991.
- Ludwig K.R. Isoplot 3.70. A Geochronological Toolkit for Microsoft Excel // Berkeley Geochronology Center Special Publications. 2003.
- Steiger R.H., Jäger E. Subcommission on geochronology: 865 convention of the use of decay constants in geo- and cosmochronology // Earth and Planetary Science Letters. 1977. V. 36. P. 359–362.
- Stacey J.S., Kramers J.D. Approximation of terrestrial lead isotope evolution by a two-stage model // Earth and Planetary Science Letters. 1975. V. 26. P. 207–221.
- Ковач В.П., Котов А.Б., Гладкочуб Д.П., Толмачева Е.В., Великославинский С.Д., Гороховский Б.М., Подковыров В.Н., Загорная Н.Ю., Плоткина Ю.В. Возраст и источники метапесчаников Чинейской подсерии Удоканской серии (Алданский щит): результаты геохронологических (LA–ICP–MS) и изотопных U–Th–Pb– и Nd-исследований // ДАН. 2018. Т. 482. № 2. С. 1138–1141.
- Jackson S.E., Pearson N.J., Griffin W.L., Belousova E.A. The application of laser ablation-inductively coupled plasma-mass spectrometry to in situ U-Pb zircon geochronology // Chemical Geology. 2004. V. 211. P. 47–69.
- Horstwood M.S.A., Košler J., Gehrels G., Jackson S.E., McLean N.M., Paton Ch., Pearson N.J., Sircombe K., Sylvester P., Vermeesch P., Bowring J.F., Condon D.J., Schoene B. Community-Derived Standards for LA–ICP–MS U–(Th–)Pb Geochronology – Uncertainty Propagation, Age Interpretation and Data Reporting // Geostandards and Geoanalytical Research. 2016. V. 40. P. 311–332.
- Van Achterbergh E., Ryan C.G., Jackson S.E., Griffin W.L. LA-ICP-MS in the Earth sciences – appendix 3, data reduction software for LA-ICP-MS // In: Sylvester P.J. (Ed.), Short Course Volume 29. Mineralogical Association of Canada, St. John’s. 2001. P. 239–243.
- Anderson T. Correction of common lead in U-Pb analyses that do not report 204Pb // Chemical Geology. 2002. V. 192. P. 59–79.
- Gehrels G.E. Detrital zircon U-Pb geochronology: current methods and new opportunities. / In: Busby, C., Azor, A. (Eds.), Tectonics of Sedimentary Basins: Recent Advances. Wiley-Blackwell. Chichester, UK. 2012. P. 47–62.
- Prokopyev I.R., Doroshkevich A.G., Sergeev S.A., Ernst R.E., Ponomarev J.D., Redina A.A., Chebotarev D.A., Nikolenko A.M., Dultsev V.F., Moroz T.N., Minakov A.V. Petrography, mineralogy and SIMS U-Pb geochronology of 1.9–1.8 Ga carbonatites and associated alkaline rocks of the Central-Aldan magnesiocarbonatite province (South Yakutia, Russia) // Mineralogy and Petrology. 2019. V. 113. P. 329–352.
- Неймарк Л.А., Искандерова А.Д., Тимашков А.Н., Миронюк Е.П. Новые данные о возрасте пород и руд Ханинского апатитоносного района // Доклады Академии наук СССР. 1984. Т. 279. № 3. С. 713–717.
- Shoene B., Bowring S. Determing accurate temperature-time paths from U-Pb thermochronology: An example from the Kaapvaal craton, southern Africa // Geochim. et Cosmochim. Acta. 2007. 71 (1): 165–185.
Supplementary files





