Аминокислотный фонд сыворотки крови европейских мигрирующих видов рукокрылых: Vespertilio murinus (Linnaeus, 1758) и Pipistrellus nathusii (Keyserling et blasius, 1839), обитающих на Урале
- Авторы: Ковальчук Л.А.1, Мищенко В.А.1,2, Черная Л.В.1, Большаков В.Н.1
-
Учреждения:
- ФГБУ науки Институт экологии растений и животных Уральского отделения Российской академии наук
- Федеральный научно-исследовательский институт вирусных инфекций “Виром” Роспотребнадзора
- Выпуск: Том 516, № 1 (2024)
- Страницы: 20-25
- Раздел: Статьи
- URL: https://bakhtiniada.ru/2686-7389/article/view/263912
- DOI: https://doi.org/10.31857/S2686738924030046
- EDN: https://elibrary.ru/VUDULU
- ID: 263912
Цитировать
Полный текст
Аннотация
Исследован аминокислотный фонд свободных аминокислот в сыворотке крови двух европейских мигрирующих видов рукокрылых: V. murinus и P. nathusii, обитающих на Урале. Статистически значимые различия отмечены по формированию основных метаболических групп свободных аминокислот у сеголеток мигрирующих видов: ГГАК, НАК, ЗАК, ССАК (р < 0.05). По содержанию метаболических групп в процентах от общего пула АК у сеголеток лесного нетопыря преобладают ГГАК – 79.7% и НАК – 49.4%, а у двухцветного кожана ГГАК – 74.9% и ЗАК – 58.4%. Сравнительный анализ показал отсутствие различий между V. murinus и P. nathusii по процентному содержанию АРАК и АКРУЦ (p > 0.05). Статистически значимые различия отмечены в формировании метаболических групп аминокислот в крови сеголетков мигрирующих видов рукокрылых и оседлого вида прудовых ночниц (р < 0.05).
Ключевые слова
Полный текст
ВВЕДЕНИЕ
Фаунистический комплекс рукокрылых Уральского региона включает типично европейские виды: P. nathusii и V. murinus, обитающие в короткий летний период в регионе с континентальным климатом, но совершающие сезонные дальние миграции от летних убежищ к местам зимовки [1, 2]. И, если районы размножения двухцветных кожанов и лесных нетопырей приурочены географически к северо-восточным и восточным местам обитания, то пути мигрирующих популяций этих видов в районы зимовки пролегают в южном и юго-западном направлениях [3–6]. Протяженность миграционных путей может достигать 3000–4000 км [7, 8]. Основными движущими силами миграции являются экологические и биогеографические факторы, такие как сезонность, пространственно-временное распределение ресурсов, среда обитания в условиях глобальных изменений, хищничество и конкуренция [9]. Экстремальные климатические флуктуации, нарушая или изменяя фенологию миграционного поведения рукокрылых, активно влияют на их выживание и размножение [10]. Миграционный период летучих мышей представляет собой одну из наиболее серьезных физиологических проблем, учитывая, что в жизни животных стратегия миграции требует повышенных энергетических затрат [11].
Исследования эколого-физиологических процессов, обеспечивающих миграционную стратегию и устойчивость адаптации мигрирующих видов рукокрылых к биотическим и абиотическим факторам среды, имеют решающее значение при разрешении проблем как сохранения биоразнообразия и рационального использования ресурсов животного мира, так и при осуществлении долговременного мониторинга численности и устойчивости популяций рукокрылых. Авторами ранее показано, что летучие мыши, как и все позвоночные, обладающие достаточно развитой кровеносной и иммунной системами, демонстрируют реакцию на воздействие широкого спектра факторов окружающей среды [12, 13]. Поскольку особое значение в поддержании гомеостаза приобретает оптимальное состояние аминокислотного пула, защищающего организм от повреждения и обеспечивающего возможности энергетического и пластического обмена, цель данного исследования – оценка фонда свободных аминокислот крови мигрирующих видов летучих мышей.
МАТЕРИАЛЫ И МЕТОДЫ
Отлов и содержание животных (n = 34) в лаборатории осуществлялись с соблюдением международных принципов Хельсинской декларации о гуманном отношении к животным, используемых для экспериментальных и научных целей [14]. Протоколы с использованием экспериментальных животных утверждены комиссией по биоэтике Института экологии растений и животных УрО РАН (протокол № 11 от 29.04.2022). Животные отловлены паутинными сетями во второй декаде июля – в период выведения потомства на побережье оз. Большой Кисегач (Челябинская область).
Исследуемая группа животных представлена сеголетками двух видов летучих мышей, совершающих дальние сезонные миграции: нетопырь лесной (P. nathusii) – перелетный вид, обитающий в лесной и лесостепной зонах Южного Урала и по всему региону, и двухцветный кожан (V. murinus) – перелетный и широко распространенный на Урале вид [1]. Для сравнения использовали прудовую ночницу (Myotis dasycneme, Boie, 1825) – оседлый вид, формирующий крупные выводковые колонии на Среднем и Южном Урале [1]. Животных без признаков заболеваний доставляли в лабораторию в отдельных контейнерах в день отлова.
Учитывая функциональную роль свободных аминокислот (АК) в регуляции основных метаболических процессов биосинтеза белка, нуклеиновых кислот, гормонов, а также в иммунологических процессах [15], оценка состояния аминокислотного фонда в тканях летучих мышей позволяет оценить его значение в адаптационных возможностях мигрирующих видов при перманентных климатических флуктуациях в местах обитания. Методы пробоподготовки и выполнения анализа свободных аминокислот в сыворотке крови летучих мышей с помощью ионообменной жидкостной хроматографии на автоматическом анализаторе AAA-339M (Mikrotechna, Чехия) подробно описаны в работе [16]. Рассчитывали суммарные концентрации и процентное содержание заменимых аминокислот (ЗАК): аланин, аспарагин, аспарагиновая кислота, глутамин, глутаминовая кислота, глицин, серин, тирозин, цистеин, пролин; незаменимых (НАК): треонин, валин, лизин, лейцин, изолейцин, метионин, фенилаланин, аргинин, гистидин, триптофан; гликогенных (ГГАК): глицин, треонин, глутаминовая кислота и глутамин, аланин, аргинин, гистидин, серин, валин, аспарагин и аспарагиновая кислота, цистеин, метионин, триптофан, пролин; серосодержащих (ССАК): цистеин, метионин, таурин; АК с разветвленной углеродной цепью (АКРУЦ): валин, лейцин, изолейцин; ароматических аминокислот (АРАК): фенилаланин, тирозин. Выполнен анализ 384 аминокислотных проб. Результаты обработаны с использованием пакета лицензионных прикладных программ “Statistica for Windows V 10.0”. Метод главных компонент (PCA) реализован посредством статистической среды R (R 3.1.2, пакет “Ade4” [17].
РЕЗУЛЬТАТЫ И ИХ ОБСУЖДЕНИЕ
Качественный состав аминокислотного спектра сыворотки крови исследуемых рукокрылых представлен 22 АК. По суммарной концентрации эссенциальных и заменимых аминокислот значимых различий между самками и самцами subadultus не отмечено (p < 0.05). Суммарный вклад свободных АК в сыворотке крови мигрирующего вида лесного нетопыря 2701.3 ± 555.4 мкмоль/л, что в 1.8 раза выше, чем у двухцветного кожана 1488.5 ± 161.7 мкмоль/л и в 2.9 раза выше, чем у оседлого вида – прудовой ночницы 934.7 ± 67.7 мкмоль/л (табл. 1). Повышенный фонд АК обеспечивает как субстратную поддержку обменных процессов, так и участие в формировании иммунной системы летучих мышей, мигрирующих на дальние расстояния. По содержанию метаболических групп в процентах от общего пула АК у лесного нетопыря преобладают ГГАК – 79.7 % и НАК – 49.4 %, а у двухцветного кожана ГГАК – 74.9 % и ЗАК – 58.4 % в сравнении с прудовыми ночницами (табл. 1).
Таблица 1. Метаболические группы АК (%) и содержание свободных аминокислот (мкмоль/л) в сыворотке крови летучих мышей
АК, % | I. V. murinus | II. P. nathusii | III. M. dasycneme | Permutation ANOVA Permutation Tukey’s | ||
± SEboot [95% CIboot] | I–II | I–III | II–III | |||
Гликогеннные (ГГАК) | 74.89 ± 1.02 [72.85–76.79] | 79.69 ± 0.40* [78.95–80.50] | 64.01 ± 2.9*▲ [57.51–69.81] | Pr(|Fran| ≥ 20.77) = 0.0001 | ||
0.01 | 0.01 | 0.02 | ||||
Заменимые (ЗАК) | 58.36 ± 1.34 [55.70–60.86] | 44.37 ± 2.24* [40.55–49.04] | 47.93 ± 2.73* [41.84–53.43] | Pr(|Fran| ≥14.07) = 0.001 | ||
0.002 | 0.01 | 0.42 | ||||
Незаменимые (НАК) | 32.02 ± 1.65 [28.84–35.26] | 49.42 ± 2.97* [43.43–54.66] | 37.01 ± 0.97 [35.07–39.17] | Pr(|Fran| ≥ 15.29) = 0.001 | ||
0.002 | 0.15 | 0.03 | ||||
Серосодержащие (ССАК) | 8.99 ± 0.53 [7.95–10.04] | 6.02 ± 0.67* [4.56–7.17] | 14.44 ± 1.81*▲ [10.75–18.46] | Pr(|Fran| ≥ 14.43) = 0.0001 | ||
0.01 | 0.02 | 0.02 | ||||
С разветвленной углеродной цепью (АКРУЦ) | 6.43 ± 1.01 [4.55–8.50] | 8.51 ± 1.15 [4.97–12.02] | 15.18 ± 0.56*▲ [14.05–16.42] | Pr(|Fran| ≥ 12.13) = 0.002 | ||
0.23 | 0.01 | 0.02 | ||||
Ароматические (АРАК) | 4.75 ± 0.64 [3.53–6.02] | 3.03 ± 0.46 [2.15–3.97] | 7.92 ± 0.68*▲ [6.54–9.44] | Pr(|Fran| ≥ 8.17) = 0.01 | ||
0.11 | 0.05 | 0.02 | ||||
Фонд свободных АК, мкмоль/л | 1488.5 ± 161.7 [1206.8–1834.3] | 2701.3 ± 555.4 [1614.7–3781.7] | 934.7 ± 67.7*▲ [790.4–1079.0] | Pr(|Fran| ≥ 4.83) = 0.02 | ||
0.05 | 0.05 | 0.04 | ||||
Примечание: * – статистически значимые различия: I и II, I и III (p < 0.05); ▲ – статистически значимые различия: II и III (p < 0.05); ± SEboot – среднее арифметическое и ошибка среднего бутстреп-распределения; [95% CIboot] – доверительный интервал бутстреп-распределения.
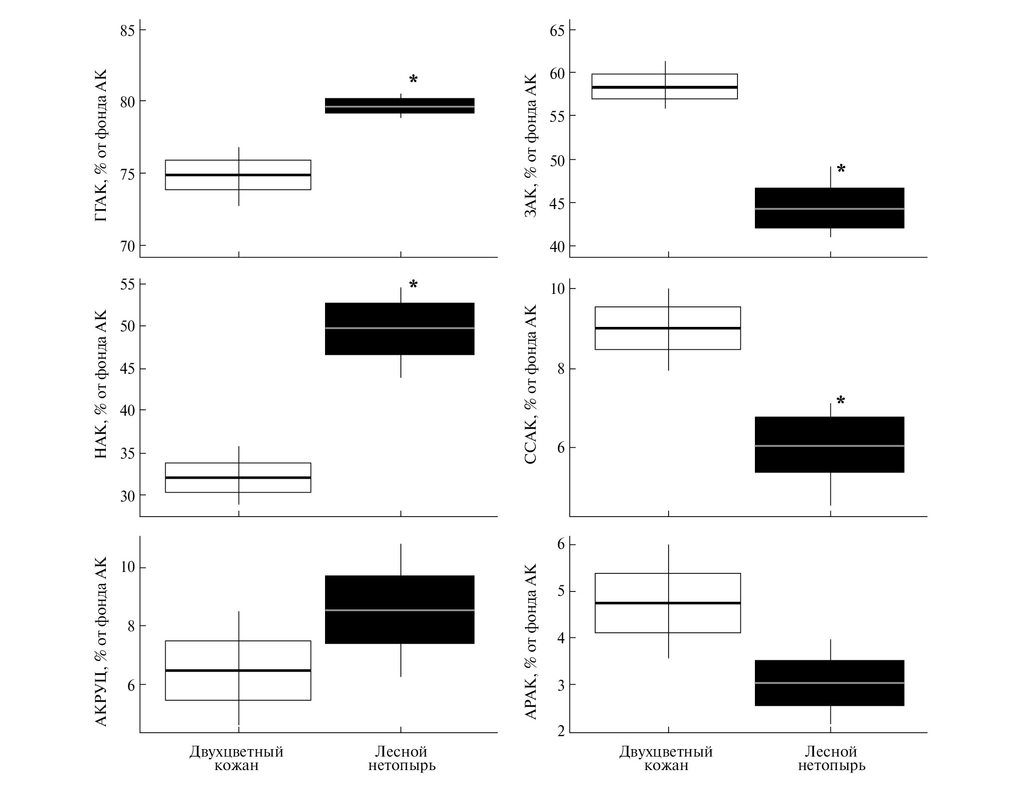
Отмечены значимые видовые различия и в процентном отношении по содержанию метаболической группы – серосодержащих аминокислот у P. nathusii и V. murinus (p = 0.01) (рис. 1). В сыворотке крови лесного нетопыря и двухцветного кожана отсутствуют значимые различия по содержанию АК с разветвленной углеродной цепью (p = 0.23) и ароматических АК (p = 0.11), являющихся как дополнительным источником энергии и обладающих иммуномодулирующими свойствами, так и энергетическими субстратами для синтеза биологически активных веществ и медиаторов, что, несомненно, отражает единство специфических путей метаболизма мигрирующих рукокрылых (рис. 1). Высокий уровень метаболически активного гликогенного пула P. nathusii (2147 мкмоль/л) и V. murinus (1114 мкмоль/л) демонстрирует потребность перелетных летучих мышей в энергетических субстратах на поддержание гомеостаза, обеспечивающего гормональную поддержку роста, развития и репродуктивных функций животных (рис. 1). Суммарный вклад гликогенных аминокислот лизина и глицина, необходимых для стимуляции гормона роста и ускоренного заживления ран, в крови перелетных видов составляет у V. murinus (323.3 мкмоль/л) и P. nathusii (394.6 мкмоль/л), что более чем в 2 раза превышает содержание этих АК у представителя оседлого вида (163.7 мкмоль/л). Лизин, выступающий в качестве антиоксиданта, участвует в регуляции иммунологических функций и в процессах детоксикации ксенобиотиков [15]. Сравнительный анализ показал в сыворотке крови повышенное (в 2 раза) суммарное содержание АК (глицин, глутаминовая кислота и цистеин), обеспечивающих биосинтез трипептида – глутатиона, участвующего в детоксикации продуктов метаболизма перелетных видов летучих мышей в сравнительном варианте с прудовой ночницей [18].
Рис. 1. Содержание метаболических групп аминокислот (% от суммарного фонда) в сыворотке крови перелетных видов летучих мышей. Середина боксплота – среднее арифметическое, границы боксплота – ошибка среднего, “усы” боксплота – доверительный интервал бутстреп-распределения; * – статистически значимые различия между группами “двухцветный кожан” – “лесной нетопырь”.
Следует отметить у животных наличие полного спектра функционально значимых незаменимых АК. У лесного нетопыря в сыворотке крови содержание изолейцина в 2.6 раза, триптофана в 3.1 раза, аргинина в 8.0 раз, валина в 3.7 раза, лейцина в 2.2 раза выше, чем у двухцветного кожана. Аминокислоты с разветвленной углеродной цепью: валин, изолейцин, лейцин участвуют в синтезе белка, способствуют восстановлению костной и мышечных тканей и поддержанию метаболических процессов в мышцах животных при длительных перелетах [15]. Повышенное содержание треонина (в 2.1–2.6 раза) наблюдали в крови исследованных перелетных видов: двухцветного кожана (103.2 мкмоль/л) и лесного нетопыря (130.8 мкмоль/л) по сравнению с прудовой ночницей (49.4 мкмоль/л). Треонин, принимая участие в синтезе коллагена и эластина, обеспечивает комплексное восстановление поврежденных мышечных волокон. Содержание аргинина (84.3 мкмоль/л) в сыворотке крови у двухцветного кожана в 6 раз выше, чем у ночницы прудовой (14.4 мкмоль/л), а в плазме крови нетопыря лесного содержание аргинина (686.2 мкмоль/л) составляет 25.4 % от фонда свободных АК. Как незаменимая аминокислота, аргинин увеличивает мышечную массу и уменьшает объем жировой ткани, способствуя нормализации состояния соединительной ткани рукокрылых при подготовке к длительному сезонному полету [19]. Повышенное содержание аргинина сопровождается стимуляцией фагоцитарной активности нейтрофилов и образованием ряда цитокинов [20]. Повышенное содержание отмечено в сыворотке крови V. murinus и P. nathusii триптофана, влияющего на углеводный обмен в организме и модулирующего иммунологические функции через ряд метаболитов, включая серотонин и мелатонин [15, 19]. Наряду с выявленными едиными закономерностями метаболизма функционально значимых АК при поддержании гомеостаза, показана и определенная разнонаправленность в мобилизации механизмов аварийного регулирования аминокислотного фонда мигрирующих и оседлых летучих мышей. Опираясь на публикации исследователей и полученные нами результаты, можно полагать, что формирование фонда свободных аминокислот и их дериватов у летучих мышей регламентировано биотическими и абиотическими факторами среды.
Метод многомерного анализа (PCA) плазмы крови позволяет визуализировать степень содержания метаболических групп свободных аминокислот, модифицирующих основные метаболические потоки в организме трех видов рукокрылых, обитателей уральской фауны, подтверждая результаты представленного исследования (рис. 2). При 95 % доверительном интервале показано, что 52.2 % общей дисперсии метаболических групп аминокислотного фонда плазмы крови рукокрылых приходится на первую главную компоненту (РС1), а 35.6 % – на вторую (РС2) (рис. 2). По представленным переменным первая и вторая главные компоненты обусловливают значимую пространственную дифференциацию основных метаболических групп аминокислот крови двухцветного кожана и лесного нетопыря относительно прудовой ночницы. Первая компонента разделяет кластер прудовой ночницы и группы двухцветного кожана и лесного нетопыря. Показаны высокие коэффициенты корреляции с РС1 и значимый вклад в компоненту ГГАК (31.44 %), ССАК (25.2 %), АРАК (23.20 %), АКРУЦ (17.80 %) (рис. 2).
Рис. 2. Метаболические группы аминокислот сыворотки крови (% от общего фонда АК) летучих мышей в пространстве первых двух главных компонент. PC1, PC2 – оси главных компонент, % – процент дисперсии данных, объясненных главной компонентой; стрелки отражают корреляцию главных компонент с исходными показателями; эллипсы представляют собой 95% доверительные области.
Большой процент гликогенных аминокислот приходится в основном на двухцветного кожана и лесного нетопыря (рис. 2). Значимый вклад во вторую главную компоненту отмечен для ЗАК (44.36 %) и НАК (43.39 %) при достаточно высоких коэффициентах корреляции с РС2. Вторая главная компонента четко разделяет группировки двухцветного кожана и лесного нетопыря. Заменимые аминокислоты преобладают в сыворотке крови двухцветного кожана, незаменимые – у лесного нетопыря (рис. 2).
В исследовании наследственно обусловленных модуляций свободных аминокислот как необходимого энергетического и пластического фонда в сыворотке крови летучих мышей выявлены существенные резервные возможности азотистого метаболизма мигрирующих видов: двухцветного кожана и лесного нетопыря. Проиллюстрирована определяющая роль гликогенных аминокислот (ГГАК) и пула незаменимых АК, способствующих высокой резистентности организма к сезонной изменчивости ежегодного жизненного цикла в период длительной трансконтинентальной миграции.
Можно предположить, что видовая специфика метаболических групп свободных аминокислот сыворотки крови двухцветного кожана и лесного нетопыря обеспечивает миграционную стратегию и адаптивную устойчивость животных как к выживанию при длительных сезонных перелетах, так и их успешному освоению новых мест обитания.
Таким образом, полученные результаты исследований параметров аминокислотного спектра сыворотки крови двухцветного кожана и лесного нетопыря могут быть приняты в качестве референтных при мониторинге популяций перелетных видов летучих мышей и при их использовании как видов-биоиндикаторов.
БЛАГОДАРНОСТИ
Авторы выражают признательность с. н. с. Южно-Уральского федерального научного центра минералогии и геоэкологии УрО РАН, к. б. н. Снитько В.П. за существенную помощь во время проведения полевых исследований.
КОНФЛИКТ ИНТЕРЕСОВ
Авторы данной работы заявляют, что у них нет конфликта интересов.
ИСТОЧНИК ФИНАНСИРОВАНИЯ
Данная работа финансировалась за счет средств бюджета Института экологии растений и животных УрО РАН в рамках государственного задания (№ 122021000091–2). Никаких дополнительных грантов на проведение или руководство данным конкретным исследованием получено не было.
СОБЛЮДЕНИЕ ЭТИЧЕСКИХ СТАНДАРТОВ
Отлов и содержание животных в лаборатории осуществлялись с соблюдением международных принципов Хельсинской декларации о гуманном отношении к животным, используемых для экспериментальных и научных целей [14]. Протокол с использованием экспериментальных животных был одобрен комиссией по биоэтике Института экологии растений и животных УрО РАН (протокол № 11 от 29.04.2022).
Об авторах
Л. А. Ковальчук
ФГБУ науки Институт экологии растений и животных Уральского отделения Российской академии наук
Автор, ответственный за переписку.
Email: kovalchuk@ipae.uran.ru
Россия, Екатеринбург
В. А. Мищенко
ФГБУ науки Институт экологии растений и животных Уральского отделения Российской академии наук; Федеральный научно-исследовательский институт вирусных инфекций “Виром” Роспотребнадзора
Email: kovalchuk@ipae.uran.ru
Россия, Екатеринбург; Екатеринбург
Л. В. Черная
ФГБУ науки Институт экологии растений и животных Уральского отделения Российской академии наук
Email: kovalchuk@ipae.uran.ru
Россия, Екатеринбург
В. Н. Большаков
ФГБУ науки Институт экологии растений и животных Уральского отделения Российской академии наук
Email: kovalchuk@ipae.uran.ru
академик РАН
Россия, ЕкатеринбургСписок литературы
- Большаков В.Н., Орлов О.Л., Снитько В.П. Летучие мыши Урала. Екатеринбург: Академкнига, 2005.
- Strelkov P.P. Seasonal Distribution of Migratory Bat Species (Chiroptera, Vespertilionidae) in Eastern Europe and Adjacent Territories // Myotis. 1999. V. 37. P. 7–25.
- Fleming T.H., Eby P. Ecology of Bat Migration // Bat ecology (Kunz T. H., Fenton M. B., eds.). Chicago, Illinois: University of Chicago Press, 2003. P. 156–208.
- Dietz C., Kiefer A. Bats of Britain and Europe. London: Bloomsbury Publishing, 2016.
- Pētersons G. Seasonal Migrations of North-Eastern Populations of Nathusius’ Bat Pipistrellus Nathusii (Chiroptera) // Myotis. 2004. V. 41–42. P. 29–56.
- Sachanowicz K., Ciechanowski M., Tryjanowski P., et al. Wintering Range of Pipistrellus Nathusii (Chiroptera) in Central Europe: Has the Species Extended to the North-East Using Heat Islands? // Mammalia. 2018. V. 83(3). P. 260–271.
- Alcalde J. T., Jiménez M., Brila I., et al. Transcontinental 2200 km Migration of a Nathusius’ Pipistrelle (Pipistrellus Nathusii) across Europe // Mammalia. 2021. V. 85(2). P. 161–163.
- Vasenkov D., Sidorchuk N., Desmet J. F., et al. Bats Can Migrate Farther Than It Was Previously Known: A New Longest Migration Record by Nathusius’ Pipistrelle Pipistrellus Nathusii (Chiroptera: Vespertilionidae) // Mammalia. 2022. V. 86(5). P. 524–526.
- Alerstam T., Hedenström A., Åkesson S. Long-distance Migration: Evolution and Determinants // Oikos. 2003.V. 103(2). P. 247–260.
- Frick W.F., Reynolds D.S., Kunz T.H. Influence of Climate and Reproductive Timing on Demography of Little Brown Myotis Myotis Lucifugus // Journal Animal Ecology. 2010. V. 79(1). P 128–136.
- Maggini I., Noakes M.J., Hawke L.A., et al. Ecophysiological Adaptations Associated with Animal Migration // Frontiers in Ecology and Evolution. Behavioral and Evolutionary Ecology. 2022. V. 10. P. 1–5.
- Kovalchuk L., Mishchenko V., Chernaya L., et al. Haematological Parameters of Pond Bats (Myotis Dasycneme Boie, 1825 Chiroptera: Vespertilionidae) in the Ural Mountains // Zoology and Ecology. 2017. V. 27(2). P. 168–175.
- Ковальчук Л.А., Мищенко В.А., Черная Л.В. и др. Особенности иммуногематологических параметров перелетного (Vespertilio murinus Linnaeus, 1758) и оседлого (Myotis dasycneme Boie, 1825) видов рукокрылых фауны Урала // Доклады РАН. Науки о жизни. 2021. Т. 501. № 6. С. 543–546.
- Yarri D. The Ethics of Animal Experimentation. Oxford: Oxford University Press, 2005.
- Гараева С.Н., Редкозубова Г.В., Постолати Г.В. Аминокислоты в живом организме. Кишенев: Типография Академии Наук Молдовы, 2009.
- Ковальчук Л.А., Мищенко В.А., Черная Л.В. и др. Эколого-физиологические параметры Myotis dasycneme (Mammalia: Chiroptera: Vespertilionidae) фауны Урала // Nature Conservation Research. Заповедная наука. 2023. Т. 8(4). С. 94–111.
- Chessel D., Dufour A.B., Thioulouse J. The ade4 package – I: One-table methods // R News. 2004. № 4. P. 5–10.
- Forman H.J., Zhang H., Rinna A. Glutathione: Overview of its Protective Roles, Measurement, and Biosynthesis // Molecular Aspects of Medicine. 2009. V. 30(1–2). P. 1–12.
- Wu G. Functional Amino Acids in Growth, Reproduction, and Health // Advances in Nutrition. 2010. V. 1(1). P. 31–37.
- Barbul A. Arginine and Immune Function // Nutrition. 1990. V. 6(1). P. 53–62.
Дополнительные файлы





