NEW HYBRID STRUCTURES BASED ON MEMANTHINE AND EDARAVONE MOLECULES
- Authors: Grigoriev V.V.1, Aksinenko A.Y.1, Shevtsova E.F.1, Goreva T.V.1, Veselov I.M.1, Gabrelyan A.V.1, Bachurin S.O.1
-
Affiliations:
- Institute of Physiologically Active Substances, Federal State Budgetary Institution of Science, Federal Research Center for Problems of Chemical Physics and Medicinal Chemistry, Russian Academy of Sciences
- Issue: Vol 512, No 1 (2023)
- Pages: 466-469
- Section: Articles
- URL: https://bakhtiniada.ru/2686-7389/article/view/140857
- DOI: https://doi.org/10.31857/S2686738923600413
- EDN: https://elibrary.ru/PYWTWG
- ID: 140857
Cite item
Full Text
Abstract
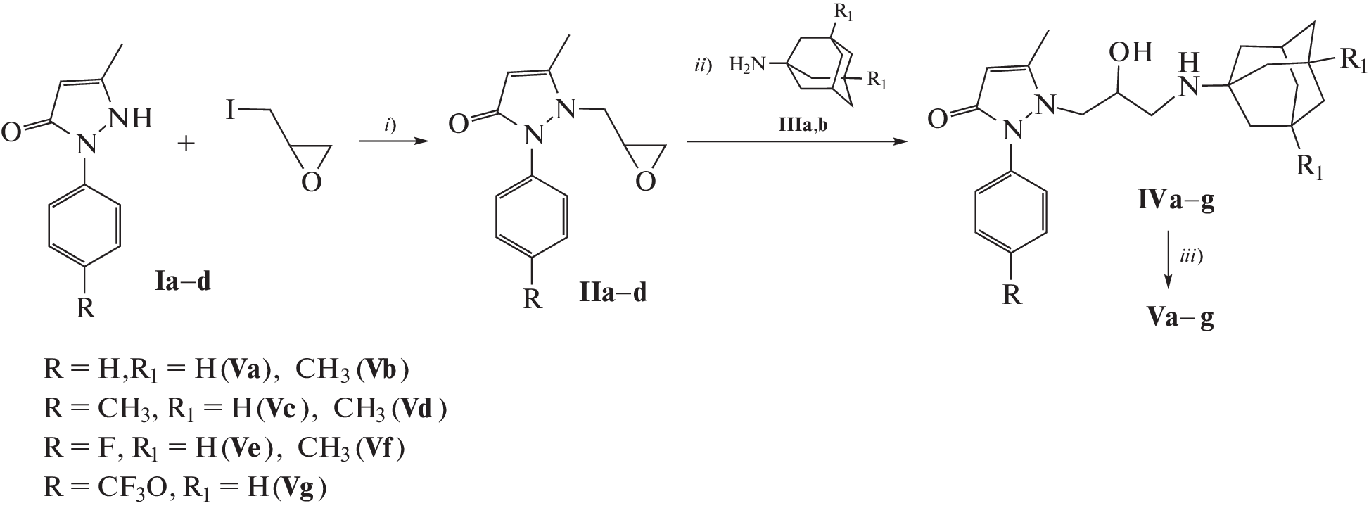
New hybrid structures based on memantine and edaravone molecules, in which the pyrazolone ring and adamantane fragments are linked by an alkyl linker, have been synthesized. It was found that in addition to the ability to block the intrachanal site of NMDA receptors, new hybrid compounds exhibit the property of blockers of the allosteric site of NMDA receptors, which is not inherent in memantine and edaravone preparations. The most active hit compound was determined, which, along with the properties of a two-site blocker of the NMDA receptor, exhibits a pronounced activity as an inhibitor of lipid peroxidation, similar to the drug edaravone.
About the authors
V. V. Grigoriev
Institute of Physiologically Active Substances, Federal State Budgetary Institution of Science, Federal Research Centerfor Problems of Chemical Physics and Medicinal Chemistry, Russian Academy of Sciences
Author for correspondence.
Email: grigor@ipac.ac.ru
Russian Federation, Moscow Region,
Chernogolovka
A. Yu. Aksinenko
Institute of Physiologically Active Substances, Federal State Budgetary Institution of Science, Federal Research Centerfor Problems of Chemical Physics and Medicinal Chemistry, Russian Academy of Sciences
Email: grigor@ipac.ac.ru
Russian Federation, Moscow Region,
Chernogolovka
E. F. Shevtsova
Institute of Physiologically Active Substances, Federal State Budgetary Institution of Science, Federal Research Centerfor Problems of Chemical Physics and Medicinal Chemistry, Russian Academy of Sciences
Email: grigor@ipac.ac.ru
Russian Federation, Moscow Region,
Chernogolovka
T. V. Goreva
Institute of Physiologically Active Substances, Federal State Budgetary Institution of Science, Federal Research Centerfor Problems of Chemical Physics and Medicinal Chemistry, Russian Academy of Sciences
Email: grigor@ipac.ac.ru
Russian Federation, Moscow Region,
Chernogolovka
I. M. Veselov
Institute of Physiologically Active Substances, Federal State Budgetary Institution of Science, Federal Research Centerfor Problems of Chemical Physics and Medicinal Chemistry, Russian Academy of Sciences
Email: grigor@ipac.ac.ru
Russian Federation, Moscow Region,
Chernogolovka
A. V. Gabrelyan
Institute of Physiologically Active Substances, Federal State Budgetary Institution of Science, Federal Research Centerfor Problems of Chemical Physics and Medicinal Chemistry, Russian Academy of Sciences
Email: grigor@ipac.ac.ru
Russian Federation, Moscow Region,
Chernogolovka
S. O. Bachurin
Institute of Physiologically Active Substances, Federal State Budgetary Institution of Science, Federal Research Centerfor Problems of Chemical Physics and Medicinal Chemistry, Russian Academy of Sciences
Email: grigor@ipac.ac.ru
Russian Federation, Moscow Region,
Chernogolovka
References
- P.V. Peplow, B. Martinez, T.A. Gennarelli, Eds. Neurodegenerative Diseases Biomarkers: Towards Translating Research to Clinical Practice. Springer US, 2021, 565 p.
- Blasco H., Mavel S., Corcia P., Gordon P.H. // Curr Med Chem. 2014. V. 21. № 31. P. 3551–3375.
- Wang R., Reddy P.H. // J Alzheimers Dis. 2017. V. 57. № 4. P. 1041–1048.
- Ahmed H., Haider A., Ametamey S.M. // Expert Opin Ther Pat. 2020. V. 30. № 10. P. 743–767.
- Tikhonova I.G., Baskin I.I., Palyulin V.V., Zefirov N.S., Bachurin S.O. // J. Med. Chem. 2002. V. 45. № 18. P. 3836–3843.
- Lipton S.A. // Nat. Rev. Drug Discov. 2006. V. 5. № 2. P. 160–170.
- Jiang J., Wang Y., Deng M. // Front Pharmacol. 2022. V. 28. № 13. 1054006.
- Angelova P.R., Esteras N., Abramov A.Y. // Med Res Rev. 2021. V. 41. № 2. P. 770–784.
- Jaiswal M.K. // Med Res Rev. 2019. V. 39. № 2. P. 733–748.
- Savelieff M.G., Nam G., Kang J., et al. // Chem Rev. 2019. V. 119. № 2. P. 1221–1322.
- Bachurin S.O., Makhaeva G.F., Shevtsova E.F., et al. // Molecules. 2021. V. 26. 5527.
- Bachurin S.O., Shevtsova E.F., Makhaeva G.F., et al. // Int J Mol Sci. 2022. V. 23. № 22. 13925.
- Аксиненко А.Ю., Горева Т.В., Епишина Т.А., Бачурин С.О. // Изв. АН. Сер. хим., 2022. № 8. С. 1794–1800.
- Махаева Г.Ф., Шевцова Е.Ф., Болтнева Н.П., и др. // Доклады РАН, Биохимия, биофизика, 2019. Т. 484. № 1. С. 104–108. https://doi.org/10.7868/S0205-961448410104-108
- Ugale V., Dhote A., Narwade R., et al. // CNS & Neurological Disorders – Drug Targets. 2021. V. 20. Iss. 9.
Supplementary files






