Исследование влияния сложности технического исполнения и номенклатурно-количественного состава сельскохозяйственной техники на показатель ее утилизируемости
- Авторы: Кравченко И.Н.1, Мигачев Ю.С.2, Кузнецов Ю.А.3, Давыдкин А.М.4, Ерофеев М.Н.5
-
Учреждения:
- ФГБОУ ВО «Российский государственный аграрный университет – МСХА имени К. А. Тимирязева»
- ФГКВОУ ВО «Военная академия радиационной, химической и биологической защиты имени Маршала Советского Союза С. К. Тимошенко»
- ФГБОУ ВО «Орловский государственный аграрный университет имени Н. В. Парахина»
- ФГБОУ ВО «МГУ им. Н. П. Огарёва»
- ФГБУН «Институт машиноведения им. А. А. Благонравова Российской академии наук»
- Выпуск: Том 30, № 4 (2020)
- Страницы: 683-698
- Раздел: Машиностроение
- Статья получена: 01.09.2025
- Статья одобрена: 01.09.2025
- Статья опубликована: 12.09.2025
- URL: https://bakhtiniada.ru/2658-4123/article/view/307392
- DOI: https://doi.org/10.15507/2658-4123.030.202004.683-698
- ID: 307392
Цитировать
Полный текст
Аннотация
Введение. Рациональная утилизация сельскохозяйственной техники, отработавшей свой ресурс, является актуальной проблемой современного агропромышленного комплекса. В связи с этим реализация мероприятий по использованию физической модели утилизации отработавшей сельскохозяйственной техники является решением проблемы вторичного использования ресурсов.
Материалы и методы. Статистические исследования экспериментальных данных и получение регрессионной модели осуществлялось с использованием метода парного линейного регрессионного анализа. С применением регрессионного уравнения проведен расчет значений показателя утилизируемости по всему номенклатурному составу сельскохозяйственной техники, а также его среднего значения.
Результаты исследования. На основании анализа показателей технического состояния высвобождаемых изделий установлено, что для создания концептуальной модели утилизируемости сельскохозяйственной техники предпочтительно использовать четыре основные группы показателей: техническое состояние, материалоемкость, технологичность и безопасность комплектующих. Предложенная группа определяет возможность проведения утилизации объекта, придавая ему общее свойство утилизируемости. Приведены результаты исследований влияния показателей сложности конструкций и технического исполнения, состояния и номенклатурного-количественного состава сельскохозяйственной техники на показатель ее утилизируемости.
Обсуждение и заключение. По результатам исследований разработана концептуальная физическая модель утилизируемости сельскохозяйственной техники, позволяющая планировать мероприятия по утилизации различных видов сельскохозяйственной техники при проведении сопоставительного анализа всего номенклатурного состава с наибольшей эффективностью. Принятые ограничения позволяют проводить оценку технического состояния и утилизируемости сельскохозяйственной техники с использованием концептуальной физической модели утилизируемости. Установлены закономерности между временем хранения, сложностью технического исполнения, материалоемкостью, количественным составом (объемом утилизации) и показателем утилизируемости сельскохозяйственной техники.
Полный текст
Введение
Высокие темпы механизации производственных процессов в агропромышленном комплексе предопределяют необходимость многократного использования ресурсов, входящих в состав сельскохозяйственной техники и технологического оборудования1 [1; 2].
Утилизация сельскохозяйственной техники, завершившей свой жизненный цикл, является составной частью проблемы рационального использования ресурсов, вовлекаемых в процессы производства и потребления. В этой связи для решения проблемы вторичного использования ресурса отработавшей техники предлагается использовать физическую модель, позволяющую реализовать алгоритм утилизации сельскохозяйственной техники2 [3; 4].
Обзор литературы
Анализ и обобщение результатов исследований по определению степени влияния на общий показатель утилизируемости продемонстрировал, что техническое состояние сельскохозяйственной техники является определяющим при оценке утилизируемости [5; 6]. Следовательно, возникает необходимость определения факторов, влияющих на техническое состояние техники с целью эффективного проведения процесса утилизации.
Изменение технического состояния сельскохозяйственной техники происходит под влиянием тех же факторов, которые сопровождали ее на этапе эксплуатации и хранения. Усиление влияния факторов, появляющихся при старении изделия, обусловлено изменением (ухудшением) условий хранения списанных средств и оказывает существенное влияние на сохраняемость технических и физико-химических свойств материалов.
Факторы, влияющие на общее техническое состояние изделий, можно условно разделить на две группы: объективные и субъективные.
К объективным факторам относятся различные неблагоприятные для изделий условия внешней среды, связанные с климатическими, метеорологическими, биологическими, механическими и другими воздействиями.
Субъективные факторы зависят от деятельности человека. К ним относятся мероприятия, связанные с обеспечением нормальных условий проведения разукомплектации и утилизации, а также решений, направленных на сохранение полезных свойств и характеристик образцов в процессе подготовки и проведения утилизации.
Результаты ранее проведенных исследований показывают, что в большинстве случаев на утилизируемость сельскохозяйственной техники, находящейся в течение продолжительного периода на хранении, оказывают влияние процессы старения, коррозии и другие факторы, проявляющиеся со временем [7–10]. При этом скорость протекания этих процессов существенно зависит от качества применяемых материалов, конструкции, технологии изготовления, условий эксплуатации, применяемых методов и средств противокоррозионной защиты.
Причиной старения являются сложные физико-химические процессы, происходящие в элементах конструкции, веществ и материалов. К ним относятся структурные изменения в диэлектриках, химические превращения в связывающих и пропиточных материалах, нарушение электрической и механической прочности материалов и элементов конструкции, нарушение герметизации, повышение водопроницаемости материалов и т. д.
Ввиду того, что основную долю конструктивных материалов, используемых при изготовлении машин, составляют различные металлы и их сплавы, наибольшее отрицательное влияние на сохраняемость физико-химических свойств и характеристик сельскохозяйственной техники оказывает коррозия (самопроизвольное разрушение металлов вследствие химического и электрохимического взаимодействия их с коррозионной средой). К коррозионным процессам относятся процессы, связанные с появлением на поверхности металлов продуктов коррозии или окисных пленок под воздействием влажности или агрессивных компонентов внешней среды.
Анализ данных ряда научных исследований показывает, что наибольшее влияние на уровень сохраняемости технических характеристик оказывают температура воздуха, влажность, солнечная радиация и коррозионно-активные агенты [11; 12].
Среди технологичных (эксплуатационных) факторов, оказывающих существенное влияние на способность изделия к переработке, можно выделить время проведения утилизации после списания образца. Данный фактор влияет на продолжительность проведения разукомплектации при подготовке к проведению утилизации, а также на сохранение показателя материалоемкости изделия. Изменение технического и качественного состояния изделий приводит к снижению уровня утилизируемости, который может быть оценен с использованием таких показателей, как продолжительность разборки и изменение материалоемкости изделий.
При утилизации изделий в течение первых пяти лет после списания наблюдается резкое увеличение времени разборки образцов по причине прогрессирующих процессов старения отдельных деталей (коррозия, изменение механических свойств) в результате изменившихся условий хранения [13–15]. Показатель утилизируемости образцов резко уменьшается со временем, что обусловлено изменением и ухудшением полезных свойств изделий из пластмассы, резины, дерева, кожи и материалов на текстильной и бумажной основе. В дальнейшем время разборки несколько стабилизируется, однако с сохранением тенденции, направленной на дальнейшее увеличение.
Обобщение опытных данных по оценке степени утилизируемости сельскохозяйственной техники, находящейся на хранении от влияния климатических и биологических факторов показывает, что среднее время разборки образцов увеличивается в 1,4–2,6 раза [16–18].
Материалы и методы
С использованием метода парного линейного регрессионного анализа проведены исследования зависимостей влияния основных показателей КM, КT и КTC на комплексный показатель утилизируемости.
В качестве функции отклика использовался показатель утилизируемости сельскохозяйственной техники Fy. В качестве исследуемых факторов выбраны групповые показатели КM, КT и КTC.
Интервалы варьирования факторов, а также расчетные значения показателя утилизируемости по номенклатурному составу сельскохозяйственной техники приведены в таблице 1.
Таблица 1 Расчетные значения показателя утилизируемости по номенклатурному составу сельскохозяйственной техники
Table 1 Calculated values of the utilization index for the nomenclature composition of agricultural machinery
Номенклатурный состав техники / Nomenclature of equipment | Значения групповых показателей и интервалы их варьирования, отн. ед. / Values of group indicators and intervals of their variation, relative unit | |||||||
КТ | КМ | КБ | КТС | |||||
min | max | min | max | min | max | min | max | |
Сельскохозяйственная техника / Agricultural machinery | 0,66 | 0,99 | 0,01 | 0,33 | 0,01 | 0,33 | 0,66 | 0,99 |
Характер установленной зависимости описывается регрессионным уравнением вида:
Fy= 0,441 + 0,174КТС + 0,021КM– 0,173КT – 0,091КБ. (1)
С использованием регрессионного уравнения (1) проведен расчет значений показателя утилизируемости по всему номенклатурному составу сельскохозяйственной техники, а также его среднего значения, составившего 0,464 отн. ед.
Экспериментальные данные показателя утилизируемости Fyi, результаты расчетов по регрессионному уравнению Ppyi, значения групповых показателей утилизируемости, а также среднее квадратическое отклонение экспериментальных данных от расчетных Sy представлены в таблице 2.
Таблица 2 Экспериментальные и расчетные значения показателей утилизируемости
Table 2 Experimental and calculated utilization values
Номенклатурный состав техники /Nomenclature of equipment | Экспериментальные значения групповых показателей, отн. ед. / The experimental values of the group indicators, relative unit | Fyi, отн. ед. / Fyi, relative unit | Ppyi, отн. ед. / Ppyi, relative unit | Sy, отн. ед. / Sy, relative unit | |||
КТ | КМ | КБ | КТС | ||||
Сельскохозяйственная техника / Agricultural machinery | 0,35 | 0,62 | 0,15 | 0,95 | 0,560 | 0,546 | 0,0208 |
Адекватность расчетных значений экспериментальным данным подтверждена натурными испытаниями. Общий объем отходов после проведения утилизации сельскохозяйственной техники составил 48,4 ± 5 %.
Анализ экспериментальных данных показал, что полученное уравнение адекватно (с доверительной вероятностью 0,95 и FT = 3,38, Fp=383,9) описывает характер зависимости в выбранных интервалах исследованных факторов. При этом установлено, что в качестве показателей, в большей степени определяющих способность машин к утилизации, нужно выделить КТС и КТ. При увеличении КТС и КМ показатель утилизируемости возрастает.
Показатели КМ и КБ в меньшей степени будут влиять на комплексный показатель утилизируемости. При увеличении КБ и КТ комплексный показатель утилизируемости будет уменьшаться.
На основании проведенных исследований закономерностей влияния технического состояния, технологичности конструктивных особенностей, материалоемкости машин и безопасности комплектующих на общий показатель утилизируемости сельскохозяйственной техники установлено, что в зависимости от выбранного направления утилизации, номенклатурно-количественного состава машин, а также их технического состояния доля утилизируемой техники может изменяться в пределах от 34 до 99 %.
Полученные экспериментальные данные с использованием комплексного показателя утилизируемости и методики его применения использованы при обосновании предложений по номенклатуре и объемам сельскохозяйственной техники.
Между временем хранения подлежащей утилизации сельскохозяйственной техники и показателем утилизируемости существуют закономерные связи. Изменение показателя утилизируемости Fy в зависимости от срока хранения после списания τхр показано на рисунке 1.
сельскохозяйственной техники: I – этап эксплуатации и хранения;
Fig. 1. Dependence of the recyclability rate on the storage time of agricultural machinery to be
recycled: I – stage of operation and storage; II – stage of effective disposal;
III – stage of residual disposal; IV – stage of waste generation
В результате длительной эксплуатации или продолжительного хранения изделий в течение первого периода со временем происходит изменение технических характеристик. Это объясняется необратимыми изменениями параметров элементов, что в конечном итоге приводит к предельным срокам эксплуатации и хранения и далее к списанию образца. Данный период характеризуется изменением параметров утилизируемости изделий и веществ с 1,0 до 0,8 отн. ед. и τхр, являющегося назначенным временем эксплуатации или хранения.
На данном этапе проводят утилизацию по направлениям: разукомплектации техники и использования составных частей для сборки нового образца (комплектующих); замены, ремонта некондиционных комплектующих на исправные и отправки образца на дальнейшее хранение или эксплуатацию; использования образца по новому назначению после проведения доработки или переоснащения.
После списания сельскохозяйственной техники наступает второй период (период эффективной утилизации), характеризуемый значительным возрастанием процессов старения элементов и резким уменьшением параметров показателя утилизируемости со временем. Данный период характеризуется изменением параметров показателя утилизируемости изделий и веществ с 0,8 до 0,5 отн. ед и τэу, являющегося временем проведения эффективной утилизации сельскохозяйственной техники. На этом этапе проводят переработку компонентов и материалов с получением изделий и материалов для дальнейшего использования [19; 20].
Если на втором этапе утилизация техники произведена не была, наступает третий период остаточной утилизации, характеризуемый дальнейшим старением образцов. Данный период обладает показателем утилизируемости с параметрами от 0,5 до 0,3 отн. ед.
Если на третьем этапе утилизация сельскохозяйственной техники произведена не была, наступает четвертый период, характеризуемый дальнейшим старением образцов и превращением их в неликвидные отходы, подлежащие уничтожению. Данный период имеет показатель утилизируемости с параметрами от 0,3 и ниже и время образования неликвидных отходов.
Указанная модель показывает, что эффективно планировать и проводить работы по утилизации целесообразно в первые два периода, характеризующиеся более высоким уровнем сохраняемости полезных свойств изделий, а соответственно, и показателя утилизируемости (рис. 1).
Результаты исследования
Проведенные исследования показали, что комплексное влияние климатических и эксплуатационных факторов на физическую природу процесса утилизируемости сельскохозяйственной техники сложно и разнообразно и определяется особенностью ее номенклатурного и количественного состава. Анализ номенклатурно-количественного состава сельскохозяйственной техники для проведения утилизации по выбранным направлениям показывает, что как объекты утилизации их можно разделить на следующие условные классы: объекты высокой сложности с преобладанием слесарно-механических, электротехнических и демонтажных работ; объекты, характеризующиеся средней сложностью разукомплектации как специального оборудования, так и базового шасси; объекты низкой сложности, характеризующиеся незначительным объемом работ по разукомплектации и утилизации.
Между показателем утилизируемости и показателем сложности технического исполнения при проведении утилизации на разных этапах ее осуществления определены закономерные связи, представленные на рисунке 2.
техники КTC и соответствующие им значения коэффициента корреляции R и критерия Фишера F
Fig. 2. Dependences of the recyclability rate on the technical condition of agricultural machinery КTC
and the corresponding values of the correlation coefficient R and the Fisher criterion F
Показатель материалоемкости и массовости объектов характеризуется количеством сельскохозяйственной техники.
Материалоемкость образцов складывается из номенклатурно-количественного состава изделий и их весовых характеристик. Анализ состава высвобождаемых для проведения утилизации образцов показывает, что как объекты утилизации их можно разделить на следующие условные классы:
– средства с объемом утилизации от 1 до 5 тыс. т;
– средства с объемом утилизации от 5 до 10 тыс. т;
– средства с объемом утилизации от 10 тыс. т и выше.
На разных этапах осуществления утилизации между показателем утилизируемости и показателем материалоемкости существуют закономерные связи, представленные на рисунках 3 и 4.
сельскохозяйственной техники КТ: 1 – объекты низкой сложности;
Fig. 3. Dependence of the recyclability rate on the complexity of the technical performance of
agricultural machinery КТ: 1 – objects of low complexity;
состава (объема утилизации) сельскохозяйственной техники КМ:1 – низкий объем;
2 – средней объем; 3 – большой объем утилизации
Fig. 4. Dependence of the recyclability rate on the material consumption and quantitative composition
(volume of utilization) of agricultural machinery КМ: 1 – low volume; 2 – medium volume;
3 – large volume of recycling
Анализ данных по характеру и трудоемкости работ показал, что утилизация сельскохозяйственной техники требует наибольших затрат времени, финансовых, людских и материальных ресурсов.
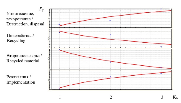
Между показателем утилизируемости и показателем безопасности материалов КБ существуют зависимости, представленные на рисунке 5.
1 – малоопасные; 2 – умеренно опасные; 3 – опасные
Fig. 5. Dependence of the recyclability rate on the safety index of materials КБ:
1 – low-risk; 2 – moderately dangerous; 3 – dangerous
В целом совокупность утилизируемой сельскохозяйственной техники имеет сложную структуру по всем показателям, характеризующим образцы как объекты воздействия системы утилизации (рис. 6).
Fig. 6. Dependence of the complex recyclability rate on group indexes K
По схеме полного факторного эксперимента проведены исследования закономерностей влияния основных показателей КМ, КБ, КТ и КТС на комплексный показатель утилизируемости Fу. Матрица исходных данных определения объемов утилизации сельскохозяйственной техники по выбранным направлениям и показателям в обобщенном виде представлены в таблице 3.
Таблица 3 Матрица исходных данных определения объемов утилизации сельскохозяйственной
техники по выбранным направлениям и показателям
Table 3 Matrix of initial data for determining the volume of recycling agricultural machinery
in the selected areas and indicators
Показатель / Index | Объем утилизации в зависимости от направления использования утилизируемой техники, % / Volume of recycling depending on the direction of use of the recycled equipment, % | |||
Реализация / Implementation | Использование как вторресурса /Use as secondary resources | Переработка с получением продуктов /Recycling for manufacturing produce products | Образование отходов /Waste generation | |
Техническое состояние, КТС / Technical condition, КТС | 25,0 | 16,0 | 22,0 | 37,0 |
Материалоемкость, КМ / Materials consumption, КМ | 20,8 | 24,1 | 27,1 | 27,9 |
Техническое исполнение, КТ / Technical performance, КТ | 19,9 | 33,6 | 23,2 | 22,0 |
Безопасности, КБ / Safety, КБ | 31,2 | 17,9 | 22,0 | 28,8 |
Установлено, что в качестве показателей, в большей степени определяющих способность техники к утилизации, являются КТС и КМ, которые имеют прямо пропорциональный характер зависимости.
Показатели КБ и КТ в меньшей степени будут влиять на комплексный показатель утилизируемости. Данная зависимость имеет обратный пропорциональный характер, то есть при увеличении КБ и КТ комплексный показатель утилизируемости будет уменьшаться.
Проведенные исследования закономерностей влияния технического состояния образцов, технологичности конструктивных особенностей, материалоемкости и безопасности комплектующих на общий показатель утилизируемости сельскохозяйственной техники позволили установить, что в зависимости от выбранного направления утилизации и номенклатурно-количественного состава доля утилизируемых образцов может изменяться в пределах от 63 до 78 %. Кроме того, показано, что влияние технического состояния образцов и материалоемкости отработавшей техники на общий показатель утилизируемости носит прямолинейный прямо пропорциональный характер зависимости. Напротив, показатели технологичности конструктивных особенностей и безопасности комплектующих влияют на показатель утилизируемости в меньшей степени и носят прямолинейный обратно пропорциональный характер.
Полученные экспериментальные данные с использованием комплексного показателя утилизируемости и методики применения использованы при обосновании предложений по номенклатуре и объемам высвобождаемого имущества.
Обсуждение и заключение
Разработан научно-методический аппарат обеспечения утилизации сельскохозяйственной техники, включающий в себя поэтапное решение задач определения исходных данных, обоснования требований и способов утилизации, формирования управленческих решений в направлении их использования с применением новых методик оценки номенклатуры, объемов и сроков утилизации, технического состояния и категорирования, а также проведения технико-экономической оценки утилизации изделий.
Предложены категории подлежащей утилизации сельскохозяйственной техники по величине изменения нормативного значения контролируемого показателя технического состояния, позволяющего обоснованно определять приоритетные варианты утилизации машин с учетом требований к продуктам утилизации по трем категориям (реализация, промышленная переработка, использование в качестве вторичного сырья), соответствующим направлениям утилизации.
Разработан метод экспертно-аналитической оценки утилизируемости сельскохозяйственной техники, основанный на использовании обобщенного показателя утилизируемости, и определены параметры данного показателя, позволяющего решать задачу управления и определения уровня качества сельскохозяйственной техники.
Существенный вклад в снижение показателя утилизируемости вносит показатель сложности технического исполнения образцов, влияние которого обусловлено трудоемкостью работ, связанных с проведением разбраковки изделий. Увеличение доли комплектующих, входящих в состав изделий сельскохозяйственной техники, приводит к уменьшению показателя утилизируемости и обусловлено необходимостью создания дополнительных мер безопасности при проведении работ.
1 Утилизация техники в системе АПК / Н. В. Алдошин [и др.]. М.: Триада, 2014. 222 с.
2 Утилизация сельскохозяйственной техники: проблемы и решения / С. А. Соловьев [и др.]. М.: ФГБНУ «Росинформагротех», 2015. 172 с.
Об авторах
Игорь Николаевич Кравченко
ФГБОУ ВО «Российский государственный аграрный университет – МСХА имениК. А. Тимирязева»
Email: kravchenko-in71@yandex.ru
ORCID iD: 0000-0002-1826-3648
ResearcherId: B-9463-2018
профессор кафедры технического сервиса машин и оборудования, доктор
технических наук
Юрий Сергеевич Мигачев
ФГКВОУ ВО «Военная академия радиационной, химической и биологической защиты имени Маршала Советского Союза С. К. Тимошенко»
Email: migatchov_yri@mail.ru
ORCID iD: 0000-0001-9424-9875
начальник кафедры средств защиты от оружия массового поражения, доктор технических наук
Россия, 156015, г. Кострома, ул. Горького, д. 16Юрий Алексеевич Кузнецов
ФГБОУ ВО «Орловский государственный аграрный университет имени Н. В. Парахина»
Email: kentury@yandex.ru
ORCID iD: 0000-0003-3699-8231
профессор кафедры надежности и ремонта машин, доктор технических наук
Россия, 302019, г. Орёл, ул. Генерала Родина, д. 69Александр Михайлович Давыдкин
ФГБОУ ВО «МГУ им. Н. П. Огарёва»
Автор, ответственный за переписку.
Email: aldavydkin@yandex.ru
ORCID iD: 0000-0002-2984-2362
ResearcherId: S-8297-2018
доцент кафедры технического сервиса машин Института механики и энергетики, кандидат технических наук
Россия, 430005, г. Саранск, ул. Большевистская, д. 68Михаил Николаевич Ерофеев
ФГБУН «Институт машиноведения им. А. А. Благонравова Российской академии наук»
Email: erofeeff2007@yandex.ru
ORCID iD: 0000-0002-1048-3574
заместитель директора по научной работе, доктор технических наук, профессор
Россия, 101990, г. Москва, Малый Харитоньевский пер., д. 4Список литературы
- Герасимов, В. С. Утилизация как механизм обновления машинно-тракторного парка АПК России / В. С. Герасимов, Р. Ю. Соловьев, В. И. Игнатов // Труды ГОСНИТИ. – 2014. – Т. 115. –С. 19–24. – URL: https://docplayer.ru/46913729-Utilizaciya-kak-mehanizm-obnovleniya-mashinnotraktornogo-parka-apk-rossii.html (дата обращения: 05.11.2020). – Рез. англ.
- Герасимов, В. С. Обоснование необходимости разработки системы утилизации сельскохозяйственной и лесной техники / В. С. Герасимов, Р. Ю. Соловьев, В. И. Игнатов // Лесной вестник. – 2014. –№ 2 (101). – С. 28–34. – URL: https://cyberleninka.ru/article/n/obosnovanie-neobhodimosti-razrabotki-sistemy-utilizatsii-selskohozyaystvennoy-i-lesnoy-tehniki/viewer (дата обращения: 05.11.2020).
- Герасимов, В. С. Основные направления и перспективы развития системы утилизации сельскохозяйственной техники / В. С. Герасимов, С. А. Соловьев // Труды ГОСНИТИ. – 2015. – Т. 121. –С. 69–75. – Рез. англ.
- Герасимов, В. С. Исследование условий и возможностей формирования системы утилизации сельскохозяйственной техники на примере предприятий АПК Краснодарского края / В. С. Герасимов,А. Г. Черноиванов, Р. Ю. Соловьев // Труды ГОСНИТИ. – 2015. – Т. 121. – С. 61–68. – Рез. англ.
- Методика определения величины утилизационного сбора для выведенной из эксплуатации самоходной техники / В. И. Игнатов, А. С. Дорохов, В. С. Герасимов, В. А. Денисов. – doi: 10.15507/2658-4123.029.201901.124-139 // Инженерные технологии и системы. – 2019. – Т. 29, № 1. – С. 124–139. –URL: http://vestnik.mrsu.ru/index.php/en/articles2-en/80-19-1/687-10-15507-0236-2910-029-201901-9(дата обращения: 05.11.2020). – Рез. англ.
- Игнатов, В. И. Утилизация и ремонт техники как элементы циркулярной экономики /В. И. Игнатов, В. С. Герасимов, М. С. Мордасова. – doi: 10.15507/2658-4123.030.202001.021-042 // Инженерные технологии и системы. – 2020. – Т. 30, № 1. – С. 21–42. – URL: http://vestnik.mrsu.ru/index.php/en/articles2-en/88-20-1/751-10-15507-0236-2910-030-202001-2 (дата обращения:05.11.2020). – Рез. англ.
- Разработка интегрированной системы контроля качества технических изделий, вооружения и военной техники на этапах хранения и утилизации / И. Н. Кравченко, Ю. С. Мигачев, В. В. Кочуров, И. В. Лучин // Ремонт. Восстановление. Модернизация. – 2012. – № 7. – С. 25–30. – URL: http://www.nait.ru/journals/number.php?p_number_id=1669 (дата обращения: 05.11.2020). – Рез. англ.
- Игнатов, В. И. Использование цифровых технологий при утилизации сельскохозяйственной техники / В. И. Игнатов, В. С. Герасимов, Д. В. Андреева // Сельскохозяйственная техника: обслуживание и ремонт. – 2020. – № 6. – С. 49–58. – Рез. англ.
- Герасимов, В. С. Создание вторичного рынка подержанной сельскохозяйственной техники в агропромышленном комплексе Российской Федерации / В. С. Герасимов // Труды ГОСНИТИ. –2013. – Т. 113. – С. 33–43. URL: http://www.gosniti.com/publish1.html (дата обращения: 05.11.2020). –Рез. англ.
- Алдошин, Н. В. Контроль качества изделий выбывшей из эксплуатации техники / Н. В. Алдошин // Техника в сельском хозяйстве. – 2010. – № 4. – С. 30–33. – Рез. англ.
- Структура автоматизированной системы формирования базы данных для эффективного управления процессами утилизации транспортных машин / И. Н. Кравченко, Н. В. Алдошин,Ю. А. Лесконог, Ю. А. Шамарин // Техника и оборудование для села. – 2017. – № 2 (236). –С. 34–39. – URL: https://rosinformagrotech.ru/data/tos/arkhiv-zhurnala-besplatnyj-dostup/download/56-arkhiv-zhurnala-za-2017/439-tekhnika-i-oborudovanie-dlya-sela-fevral-2-236-2017-g (дата обращения:05.11.2020). – Рез. англ.
- Техника как особый вид отходов в системе утилизации машин / С. А. Соловьев, В. С. Герасимов, В. И. Игнатов, С. А. Буряков // Техника и оборудование для села. – 2016. – № 6. –С. 2–5. – URL: https://rosinformagrotech.ru/data/tos/arkhiv-zhurnala-besplatnyj-dostup/download/57-arkhiv-zhurnala-za-2016/431-tekhnika-i-oborudovanie-dlya-sela-6-228-iyun-2016-g (дата обращения 05.11.2020). – Рез. англ.
- Кравченко, И. Н. Методика обоснования системы показателей утилизируемости технических средств сельскохозяйственного производства / И. Н. Кравченко, Н. В. Алдошин,Ю. А. Лесконог [и др.] // Техника и оборудование для села. – 2017. – № 3 (237). – С. 32–36. – URL:https://rosinformagrotech.ru/data/tos/arkhiv-zhurnala-besplatnyj-dostup/download/56-arkhiv-zhurnaaza-2017/440-tekhnika-i-oborudovanie-dlya-sela-mart-3-237-2017-g (дата обращения: 05.11.2020). –Рез. англ.
- Методика оценки параметров и финансовых потоков в системе утилизации сельскохозяйственной техники и оборудования / В. С. Герасимов, Р. Ю. Соловьев, Ю. В. Трофименко, В. И. Игнатов // Техника и оборудование для села. – 2014. – № 8. – С. 37–40. − URL: https://elib.pstu.ru/vufind/EdsRecord/edselr,edselr.21836508 (дата обращения 05.11.2020). – Рез. англ.
- Моделирование процессов формирования системы утилизации, выведенной из эксплуатации сельскохозяйственной техники / И. Н. Кравченко, Ю. А. Кузнецов, Ю. А. Лесконог [и др.] // Техника и оборудование для села. – 2017. – № 9 (243). – С. 39–44. – URL: https://rosinformagrotech.ru/data/tos/arkhiv-zhurnala-besplatnyj-dostup/download/56-arkhiv-zhurnala-za-2017/446-tekhnika-i-oborudovaniedlya-sela-sentyabr-9-243-2017-g (дата обращения: 05.11.2020). – Рез. англ.
- Recycling Technologies of Nickel-Metal Hydride Batteries: An LCA Based Analysis / L. Silvestri,A. Forcina, G. Arcese, G. Bella. – doi: 10.1016/j.jclepro.2020.123083 // Journal of Cleaner Production. – 2020. – Vol. 273. – URL: https://www.sciencedirect.com/science/article/pii/S0959652620331280?via%3Dihub (дата обращения: 05.11.2020).
- Modelling the Generation of Household Automo-Biles in the Context Scrap of Urban-Rural Disparity: A Case Study of Nanjing, China / L. Zhang, W. Yuan, J. Songyan [et al.]. – doi: 10.1016/j.jclepro.2020.122237 // Journal of Cleaner Production. – 2020. – Vol. 268. – URL: https://www.sciencedirect.com/science/article/pii/S0959652620322848?via%3Dihub (дата обращения: 05.11.2020).
- Jafari, M. A Facile Chemical-Free Cathode Powder Separation Method for Lithium Ion Battery Resource Recovery / M. Jafari, M. M. Torabian, A. Bazargan. – doi: 10.1016/j.est.2020.101564 //Journal of Energy Storage. – 2020. – Vol. 31. – URL: https://www.sciencedirect.com/science/article/pii/S2352152X19318316?via%3Dihub (дата обращения: 05.11.2020).
- Dobrotă, D. Improvement of Waste Tyre Recycling Technology Based on a New Tyre Markings / D. Dobrotă, G. Dobrotă, T. Dobrescu. – doi: 10.1016/j.jclepro.2020.121141 // Journal of Cleaner Production. – 2020. – Vol. 260. – URL: https://www.sciencedirect.com/science/article/pii/S0959652620311884?via%3Dihub (дата обращения: 05.11.2020).
- Novel Approach for Clean Utilization of Complex Low-Grade Metal Resources Using Silicon as Metal Getter / Y. Lei, P. Qiu, W. Ma, Ch. Wang. – doi: 10.1016/j.jclepro.2020.121063 // Journal of Cleaner Production. – 2020. – Vol. 260. – URL: https://www.sciencedirect.com/science/article/pii/S0959652620311100?via%3Dihub (дата обращения: 05.11.2020).
Дополнительные файлы



























