Simulation of the Discharge of a Supercapacitor Storage Device during Current Stabilization in the Windings of a Multi-Section Magnetic System
- Authors: Vykhodtsev P.V.1, Rostov V.V.1, Stepchenko A.S.1
-
Affiliations:
- Institute of high current electronics SB RAS
- Issue: Vol 34, No 4 (2024)
- Pages: 648-667
- Section: Electrical Technologies and Equipment
- Submitted: 12.08.2024
- Accepted: 15.08.2024
- Published: 23.12.2024
- URL: https://bakhtiniada.ru/2658-4123/article/view/261497
- DOI: https://doi.org/10.15507/2658-4123.034.202404.648-667
- ID: 261497
Cite item
Full Text
Abstract
Introduction. The magnetic systems of high power microwave generators, such as relativistic reverse wave lamps and klystrons, are powered with a direct current of up to 1 000 A from supercapacitor storage for several seconds. When designing power supplies for these magnetic systems, there is always necessary to determine the energy characteristics of the storage device. The analytical calculation of the characteristics is difficult, because of dynamic changes in some parameters of the magnetic system and storage device during current flow.
Aim of the Study. The aim of the article is to create and experimentally test a mathematical model describing the process of powering a multi-section magnetic system with direct current from a supercapacitor storage device.
Materials and Methods. The simulation takes into account the dynamic changes in the magnetic system parameters when current flows. The supercapacitor storage device is represented as a simple RC-circuit, the parameters of which are the nameplate data of its capacitance and internal resistance. The description of a storage device discharge process is based on the energy balance data. This model is implemented in the National Instruments LabView 2012 software package and has a user-friendly graphical interface. The simulation results were tested on equipment consisting of a power supply based on a supercapacitor storage device and two-section magnetic system.
Results. The simulation results showed a good agreement with the experimental ones. According to the experiment results, the waveform of the current and voltage of the storage device, and the maximum duration of current stabilization were close to the simulation results. At the same time, the nameplate data of the capacity and internal resistance of the storage device characterize well its real parameters, taking into account the peculiarities of working together with the current regulator and the pulsed nature of energy consumption.
Discussion and Conclusion. The slight difference in the results is explained by the deviation of the actual parameters of the storage device from its passport data and by the difference in the temperature of the windings used in the experiment and simulation. The calculation of the energy characteristics of the storage device is performed on the basis of the energy balance, which allows scaling the load through adding any number of energy consumers with independent current stabilization in each.
Full Text
Введение
В мощных микроволновых генераторах, таких как релятивистские лампы обратной связи (ЛОВ)1 [1–3], клистроны2, для транспортировки электронного пучка необходимо магнитное поле c индукцией 0,5–3 Тл. Для формирования таких полей в объемах от 500 до 15 000 см3 с помощью соленоидов3 требуется от 15 до 300 кВт электрической мощности, что предъявляет серьезные требования к источнику питания и организации охлаждения обмотки4. Использование импульсно-периодических ускорителей семейства СИНУС [4; 5] для питания микроволновых генераторов на основе релятивистских ЛОВ позволяет им работать в импульсно-периодическом режиме с различной, вплоть до непрерывной, продолжительностью. По причине высокой потребляемой мощности, продолжительность существования магнитного поля с необходимой для работы микроволнового генератора индукцией в большинстве случаев будет определять продолжительность работы пары ЛОВ–СИНУС.
Для решения большинства задач научно-исследовательского характера не требуется длительной непрерывной работы магнитной системы. Использование накопителя электрической энергии позволяет организовать работу магнитной системы в импульсно-периодическом режиме с продолжительностью работы до нескольких секунд и минутными паузами между последовательностями. При этом подзарядка накопителя и охлаждение обмоток магнитной системы производятся во время пауз. Учитывая свойства и характеристики, а также предполагаемый режим работы, авторы исследований5 [6–8] отмечают, что для питания магнитных систем наиболее подходящим является накопитель на основе суперконденсаторов. При использовании такого накопителя ток в обмотке магнитной системы стабилизируется по мере его разряда. Так как обмотка магнитной системы представляет собой нагрузку активно-индуктивного типа, наиболее подходящей схемой для регулировки и стабилизации тока является схема регулятора тока понижающего типа6. Минимальный уровень напряжения, до которого можно разрядить накопитель, определяется эффективным постоянным напряжением обмотки магнитной системы, под которым понимается падение напряжения на ее активном сопротивлении при протекании постоянного тока заданной величины [9]. Продолжительность стабилизации тока в обмотке будет определяться энергозапасом накопителя и эффективностью использования запасенной в нем энергии, которая определяется диапазоном рабочих напряжений. При проектировании таких источников питания возникает необходимость в выявлении энергетических характеристик накопителя. Под этим понимается определение емкости и зарядного напряжения, при которых обеспечивается протекание постоянного тока в обмотках магнитной системы в течение заданного времени.
Целью работы является создание математической модели, в которой описывается процесс питания многосекционной магнитной системы постоянным током от суперконденсаторного накопителя и учитывается динамическое изменение всех влияющих на потребление энергии параметров. Модель предназначена для проведения инженерных расчетов энергетических характеристик накопителя, используемого для питания постоянным током обмоток двухсекционной магнитной системы с независимой регулировкой и стабилизацией тока в каждой.
Обзор литературы
В общем случае питание обмоток магнитных систем от емкостного накопителя стабилизированным постоянным током представляет собой разряд накопителя постоянной мощностью. На основании этого проводится оценка энергетических характеристик накопителя в работах [10–12]. Под этим понимается определение максимальной длительности стабилизации тока в обмотке магнитной системы при ее питании от накопителя емкостью С, заряженного до напряжения U0:
(1)
где U0 – напряжение на накопителе в момент начала стабилизации тока, B; UC0 – напряжение зарядки накопителя, B; UCmin – минимально возможное напряжение разряда накопителя, равное эффективному постоянному напряжению обмотки , B; – мощность, выделяемая в обмотке магнитной системы; – активное сопротивление обмотки, Oм; – внутреннее сопротивление накопителя, Oм; – величина тока в обмотке, А.
Считается, что при оценке энергетических характеристик по формуле (1) в обмотке течет постоянный ток, а ее сопротивление является постоянной величиной. В то же время при протекании тока по обмотке на ее активном сопротивлении рассеивается вся потребляемая мощность, значение которой может достигать нескольких сотен кВт. При этом температура обмотки может повышаться со скоростью до нескольких десятков градусов в секунду, вследствие чего будет наблюдаться рост ее активного сопротивления. По этой причине будет иметь место рост потребляемой мощности и постоянного эффективного напряжения обмотки, определяющего минимальное напряжение разряда накопителя. В формуле (1) также не учитываются потери энергии на внутреннем сопротивлении накопителя и расход энергии на переходной процесс, связанный с нарастанием тока в обмотке до заданной величины IS. Все вышеперечисленные факторы в разной степени влияют на результат вычисления. В работе [9] при оценке энергетических характеристик впервые был произведен учет потерь на внутреннем сопротивлении накопителя, что существенно повысило достоверность результатов вычисления. В случае питания от общего накопителя многосекционных магнитных систем, имеющих различные параметры секций, уровень тока и потребляемую мощность, аналитический расчет его энергетических характеристик по формуле (1) затруднен.
Особенности поведения суперконденсаторов также вносят дополнительные сложности в аналитический расчет энергетических характеристик накопителей на их основе. Одной из особенностей является то, что его эквивалентная схема не может быть представлена в виде простой RС-цепи [13–15]. В простейшем случае она состоит из двух ветвей, представленных в виде RC-цепей, соединенных параллельно и имеющих разные постоянные времени [13; 14]. Количество параллельных ветвей, имеющих различные соотношения емкости и постоянные времени, в разрядной модели суперконденсатора может достигать пяти [16]. Основная (быстрая) ветвь описывает изменение энергии во время заряда или разряда, вторая (медленная) ветвь дополняет основную и описывает внутреннее перераспределение энергии. Согласно такой модели внутреннее перераспределение заряда между ветвями в процессе работы приводит к изменению напряжения на клеммах накопителя без какого-либо обмена зарядом между ним и внешними потребителями. Другой особенностью является некоторая зависимость его емкости от зарядного напряжения7 [13]. При этом полная емкость суперконденсатора представляется в виде суммы его постоянной емкости С0 и дифференциальной емкости Cдифф, линейно зависящей от напряжения. Таким образом, при заряде и разряде суперконденсаторов их емкость меняется согласно следующему выражению в котором k = const – постоянный коэффициент, имеющий размерность [Ф/В].
В то же время в качестве паспортного параметра суперконденсаторных накопителей указывается номинальная емкость [8], которая является постоянной величиной и не зависит от напряжения. Согласно [16; 17] существует множество методик и стандартов измерения параметров суперконденсаторов, но результаты, полученные с использованием различных процедур тестирования, могут существенно отличаться. В настоящее время большинство как отечественных, так и мировых производителей используют метод8 для определения номинальной емкости своих изделий. Согласно данному методу емкость суперконденсатора оценивается на основании его разряда постоянным током с 80 до 40 % от максимального зарядного напряжения и представляет собой некоторую эквивалентную емкость, запасающую такое же количество заряда или энергии, что и линейный конденсатор в том же диапазоне напряжений.
Составление схемной модели такого источника питания с последующим моделированием в специализированных программных пакетах представляет собой определенную сложность ввиду наличия в схеме нестандартных функциональных блоков, таких как регуляторы тока и магнитная система, и необходимостью аналитического описания их поведения. Схемная реализация магнитной системы также представляет некоторую сложность в виду необходимости учета ее неэлектрических параметров, таких как масса и температура, и их влияние на характеристики магнитной системы.
Материалы и методы
Для расчета энергетических характеристик накопителя была составлена математическая модель, которая на основании энергетического баланса описывает процесс питания постоянным током двухсекционной магнитной системы от емкостного накопителя. Под энергетическим балансом понимается то, что полная энергия, потребленная из накопителя, равняется сумме энергий, рассеянных на активном сопротивлении обмоток магнитной системы и внутреннем сопротивлении накопителя. Данная модель также учитывает динамическое изменение параметров магнитной системы при протекании тока. При этом суперконденсаторный накопитель представляется в виде простой RC-цепи, параметрами которой являются паспортные значения его емкости и внутреннего сопротивления.
Модель реализована в виде прикладного ПО в среде National Instruments LabView 2012 и имеет удобный графический интерфейс пользователя (рис. 1). Это позволяет применять ПО для инженерных расчетов на любом персональном компьютере.
Рис. 1. Интерфейс ПО
Fig. 1. Software GUI
Источник: составлено авторами статьи в программе National Instruments LabView 2012.
Source: compiled by the authors of the article in the program National Instruments LabView 2012.
Источник электрической энергии, на котором проводилась проверка результатов моделирования, предназначен для питания двухсекционной магнитной системы постоянным током 160–180 А в течение нескольких секунд. Данная магнитная система, формирующая магнитное поле с максимальной индукцией до 0,8 Тл в трубчатом канале диаметром 180 мм и длинной 560 мм, используется в составе микроволнового генератора на основе релятивистской ЛОВ [1; 2] и ускорителя семейства СИНУС [4; 5]. При активном сопротивлении каждой секции, равном 1,5 Ом, максимальная суммарная выходная мощность обоих каналов источника достигала 90 кВт. Максимальная длительность протекания тока на предельной мощности достигает 2,5 с. Длительность паузы между импульсами тока составляет несколько минут, что необходимо для подзарядки накопителя и охлаждения обмоток магнитной системы.
Охлаждение магнитной системы осуществляется путем прокачки трансформаторного масла между секциями обмоток, с последующим его охлаждением в водно-масляном теплообменнике. По причине низкой удельной теплоемкости и температуропроводности трансформаторного масла и большой тепловой мощности, выделяемой на активном сопротивлении обмоток, охлаждение обмоток осуществляется в паузах между работой микроволнового генератора. При этом приращение температуры обмоток за время протекания тока ограничено лишь их теплоемкостью. Таким образом, конечная температура обмотки будет определять длительность стабилизации тока и эффективность использования энергии накопителя.
Внешний вид магнитной системы с источником питания приведен на рисунке 2, структурная схема источника питания приведена на рисунке 3.
Рис. 2. Внешний вид магнитной системы с источником питания: 1 – магнитная система; 2 – накопитель; 3 – регуляторы тока; 4 – контроллер с элементами схемы зарядки и разрядки
Fig. 2. Appearance of magnetic system with its power supply: 1 – magnetic system; 2 – supercapacitor storage; 3 – current regulators; 4 – controller with parts of charging and discharging circuit
Источник: здесь и далее рисунки составлены авторами статьи.
Source: hereinafter in this article the figures are compiled by the authors of the article.
Рис. 3. Структурная схема источника питания
Fig. 3. Power supply block diagram
Примечание: ЗУ – зарядное устройство; ДР – драйвер IGBT-модуля; ДТ – датчик тока; ПК – персональный компьютер.
Note: ЗУ – charging device; ДР – driver of IGBT switching module; ДТ – current sensor; ПК – personal computer.
Источник питания состоит из накопителя и двух параллельно подключенных к нему регуляторов тока понижающего типа9, стабилизирующих ток в обмотках магнитной системы. Система управления источником включает в себя контроллер и персональный компьютер.
Накопитель состоит из пяти включенных параллельно модульных накопителей НСКБ-2.4-36010. Паспортное значение емкости этих модулей составляет 2,4 Ф, а внутреннее сопротивление – 240 мОм. Согласно паспортным данным суммарная емкость и внутреннее сопротивление накопителя составляют 12 Ф и 48 мОм соответственно. Накопитель заряжается до рабочего напряжения 340–350 В постоянным током от зарядного устройства, максимальный выходной ток которого составляет 7,5 А, при этом выходная мощность достигает значения 3 кВт. В качестве зарядного устройства используется стабилизированный источник питания с регулируемыми выходными параметрами ИПС-3000-380/500B-7,5A-3UR11. Максимальная энергия, запасаемая в накопителе на номинальном зарядном напряжении 350 В, при паспортном значении емкости 12 Ф составляет 735 кДж.
В качестве ключей S и диодов VD регуляторов тока используются IGBT-модули МДТКИ 400-12К. Выходной ток регуляторов тока измеряется стандартными датчиками ДТ1 и ДТ2, работающими на основе эффекта Холла. Работой ключей управляет контроллер по релейному закону регулирования12. Максимальная частота коммутации ключей не превышает 4 кГц и определяется требуемой величиной пульсаций тока в обмотках, значениями их сопротивления и индуктивности, а также выходным напряжением накопителя [9].
Контроллер, выполненный на базе микропроцессора, измеряет и регулирует ток в секциях магнитной системы, измеряет напряжение и зарядный ток накопителя, также управляет его зарядкой и разрядкой, передает данные в персональный компьютер. Особенностью данного источника является тесная интеграция его системы управления в общую систему управления микроволновым генератором. На персональном компьютере установлена общая управляющая программа, в которой реализован графический интерфейс пользователя. В этой программе задаются и хранятся все настройки источника тока и ускорителя, а также отображаются осциллограммы тока в обмотках магнитной системы и выходного напряжения накопителя. В дальнейшем все осциллограммы и массивы данных сохраняются на жестком диске в виде файла истории. Связь между компьютером и контроллером осуществляется по протоколу ТCP/IP.
Для последующего сравнения экспериментальных данных с результатами моделирования используются полученные из управляющей программы массивы значений тока и напряжения. Эти значения измеряются контроллером источника питания. Калибровка всех измерительных трактов контроллера производилась с помощью прецизионных источников тока и напряжения. Временной шаг Δt получения хранящихся в массивах данных составляет 1 мс. Обработка и сравнение экспериментальных данных с результатами моделирования производилась в программной среде Microsoft Excel.
Результаты исследования. Схема питания двухсекционной магнитной системы, для которой реализована математическая модель, приведена на рисунке 4. Система состоит из накопителя, параллельно к которому подключены два регулятора тока, стабилизирующие ток заданной величины в секциях магнитной системы по мере разряда накопителя.
Накопитель электрической энергии емкостью С и внутренним сопротивлением r0 предварительно заряжается до напряжения UC0, в несколько раз превышающего эффективное напряжение US1 и US2 каждой секции магнитной системы. В момент времени Тстарт включаются регуляторы тока, токи в обмотках магнитной системы начинают нарастать (интервал t0–t1 на рисунке 5) до заданных значений I1 и I2, после чего выполняется их стабилизация по мере разряда накопителя. Стабилизация тока (интервал t1–t2 на рисунке 5) возможна до тех пор, пока выходное напряжение накопителя превышает эффективное постоянное напряжение US1 и US2 каждой секции, после чего начинается резистивный разряд накопителя на их активное сопротивление (интервал t2–t3 на рисунке 5). В момент времени Тстоп выключаются регуляторы, и ток в обмотках экспоненциально спадает через диод VD (интервал t3–t4 на рисунке 5).
Рис. 4. Схема питания двухсекционной магнитной системы от суперконденсаторного накопителя
Fig. 4. The power supply circuit of a two-section magnetic system from a supercapacitor storage device
Примечание: УУ – устройство управления.
Note: УУ – control unit.
Рис. 5. Графики, поясняющие работу схемы питания на примере одного канала
Fig. 5. Graphics explaining the operation of power supply scheme
Модель, описывающая процесс питания двухсекционной магнитной системы от общего накопителя, состоит из трех независимых, протекающих одновременно процессов. Блок-схема модели приведена на рисунке 6.
Рис. 6. Блок-схема математической модели
Fig. 6. Block diagram of a mathematical model
В процессах секций 1 и 2 описывается поведение тока в обмотках, работающих совместно с регуляторами тока, а также вычисляются все связанные с ними переменные величины. К ним относятся потребляемый от накопителя ток, потребляемая обмоткой мощность, ее температура и сопротивление, а также энергия, выделяющаяся на ее активном сопротивлении. Далее, в процессе разряда накопителя, вычисляется полная потребляемая энергия, описывается поведение выходного напряжения накопителя, вычисляется выходное напряжение и ток накопителя. Общее время t для всех процессов вычисляется в процессе 3. Так как напряжение и ток накопителя вычисляется на основании суммарной энергии, потребленной всеми секциями, в данной математической модели может быть любое количество процессов, описывающих поведение тока в секциях.
Процесс моделирования начинается с инициализации, в ходе которой вводятся реальные параметры обмоток магнитной системы и накопителя. Параметрами обмоток являются ток I, сопротивление R, индуктивность L, масса m, начальная температура T0 и удельная теплоемкость материала обмотки с. Параметрами накопителя являются зарядное напряжение U0, емкость C и внутреннее сопротивление r0. Моделирование выполняется в течение временного интервала Tпроц с шагом где N – количество точек на интервале моделирования.
При описании поведения тока каждый процесс секций 1 и 2 разбивается на четыре состояния: исходное, нарастание тока, стабилизация тока, резистивный разряд и затухание (рис. 5). В модели эти состояния развиваются последовательно друг за другом.
В исходном состоянии накопитель заряжен до напряжения UC0, регулятор тока выключен, ток в обмотках магнитной системы отсутствует. В момент времени Tстарт включается регулятор тока и процесс переходит в состояние нарастания тока.
Во время этого состояния ключ S всегда замкнут, накопитель подключен к обмотке, ток в которой начинает нарастать с нулевого значения. Реальные параметры элементов RLC-цепи, образуемой обмоткой и накопителем, таковы, что связанный с нарастанием тока переходной процесс носит апериодический характер13. Поведение тока в обмотке во время состояния нарастания описывается следующим выражением:
где коэффициенты p1 и p2 – корни характеристического уравнения, соответствующего дифференциальному уравнению, которое описывает переходной процесс в RLC-цепи. Эти коэффициенты определяются для каждой обмотки перед началом моделирования согласно14. Так как ключ S всегда замкнут, выходной ток накопителя равен току обмотки:
Состояние нарастания тока продолжается до тех пор, пока выполняется следующее условие . Как только ток в обмотке достигает заданного значения I1, процесс переходит в состояние стабилизации тока, и засекается время t1, характеризующее момент перехода в это состояние. В этом состоянии в обмотке течет постоянный ток, уровень которого стабилизируется регулятором тока:
Ток, потребляемый из накопителя, определяется как
где – мощность, рассеиваемая на активном сопротивлении обмотки.
Стабилизация тока возможна до тех пор, пока выходное напряжение накопителя превышает эффективное напряжение обмотки:
Как только перестает выполняться это условие, стабилизация тока прекращается, засекается значение времени t2, характеризующее момент окончания стабилизации тока. Ключ S при этом остается замкнутым, происходит резистивный разряд накопителя на активное сопротивление обмотки:
Во время резистивного разряда ток накопителя равен току обмотки:
В момент времени Tстоп регулятор тока выключается, ключ S размыкается, обмотка магнитной системы отключается от накопителя, засекается значения тока в обмотке IS1(Tстоп), процесс переходит в состояние затухания тока. В этом состоянии ток в обмотке спадает через диод VD по экспоненциальному закону:
.
Энергия из накопителя не потребляется, его выходной ток равен нулю .
При протекании тока вся потребленная из накопителя энергия выделяется на активном сопротивлении обмоток. Это приводит к их нагреву и росту активного сопротивления R. Текущее значение температуры обмотки вычисляется на всем интервале протекания тока:
где с – удельная теплоемкость материала обмотки, Дж/(кг ∙ ˚С); m1 – масса обмотки, кг.
Активное сопротивление обмотки вычисляется следующим образом:
где α – температурный коэффициент сопротивления материала обмоток, ˚С₋1; R01 – начальное сопротивление, Ом.
С ростом сопротивления обмотки растет потребляемая мощность:
а также увеличивается их эффективное постоянное напряжение:
Величина энергии, выделяющейся на активном сопротивлении обмоток, рассчитывается на протяжении всего процесса моделирования:
Полный ток, потребляемый из накопителя, равен суммарному току, потребляемому секциями:
Полная энергия, потребленная из накопителя, состоит из суммарной энергии, потребленной всеми секциями, и энергии потерь на внутреннем сопротивлении накопителя:
Энергия потерь на внутреннем сопротивлении накопителя вычисляется следующим образом:
Напряжение на емкости накопителя без учета падения на его внутреннем сопротивлении определяется на основании полной потребленной энергии:
Выходное напряжение накопителя с учетом падения на его внутреннем сопротивлении:
По завершению процесса моделирования определяется длительность стабилизации тока и коэффициент использования запасенной в накопителе энергии. Этот коэффициент является отношением потребленной за время протекания тока энергии к изначально запасенной и показывает эффективность использования энергии накопителя магнитной системой:
При определении этого коэффициента потребление энергии ведется до тех пор, пока возможна стабилизация тока в обоих каналах. В момент времени Тстоп или после прекращения стабилизации тока хотя бы в одной секции выключаются регуляторы тока, определяется длительность его стабилизации Tстаб = t2 – t1.
Перед сравнением результатов моделирования с экспериментальными данными на основании значений массивов токов в секциях и выходного напряжения накопителя была определена мощность и энергия, потребляемые каждой секций, а также выходной ток накопителя. В процессе обработки также была определена мощность, потребляемая каждой секцией . В этом выражении и далее k = 0...N – порядковый номер элементов массива; N – длина массива. При определении потребляемой мощности учитывался, по аналогии с моделированием, связанный с нагревом рост активного сопротивления обмоток. Длительность пауз между включениями источника составляла несколько минут, чего вполне достаточно для достижения теплового равновесия между обмотками и маслом. На основании чего начальная температура обмоток считалась равной температуре охлаждающего масла на выходе магнитной системы перед включением. При этом сопротивления обмоток были предварительно измерены при комнатной температуре. После чего определялся выходной ток накопителя и падение напряжения на его внутреннем сопротивлении . Энергия, потребленная обмотками магнитной системы, определялась как , а энергия потерь на внутреннем сопротивлении накопителя как . Полная энергия, потребленная из накопителя, равняется сумме энергий, потребленных секциями, и энергии потерь на внутреннем сопротивлении накопителя .
Необходимым условием сравнения результатов эксперимента с моделированием, помимо равенства зарядного напряжения накопителя, параметров секций и токов, является равенство потребленной энергии , , , где эксп – значения, полученные экспериментально; мод – значения, полученные в результате моделирования.
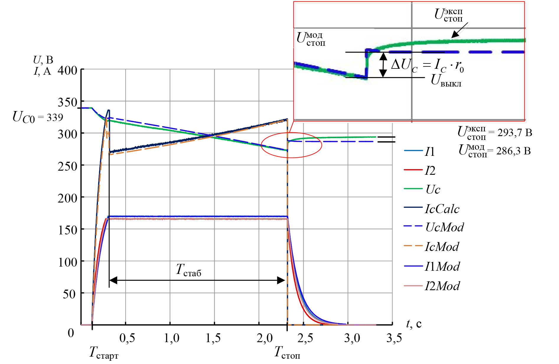
Форма и значения токов в секциях магнитной системы, при которых обеспечивается необходимая индукция и распределение магнитного поля, а также выходного напряжения накопителя, показаны на рисунке 7. Для удобства сравнения на одном графике с ними показаны результаты моделирования.
Рис. 7. Форма выходного тока и напряжения накопителя по результатам эксперимента и моделирования: I1, I2, Uc – экспериментальные формы тока и напряжения; IcCalc – расчетный выходной ток накопителя; UcMod, IcMod, I1Mod, I2Mod – результаты моделирования
F i g 7. The shape of the output current and voltage of the storage device according to the results of the experiment and simulation: I1, I2, Uc – experimental forms of current and voltage; IcCalc – the calculated output current of the storage; IcMod, I1Mod, I2Mod – simulation results
При сравнении экспериментальных данных с результатами моделирования видно, что значения и форма тока в обмотках магнитной системы полностью совпадают. Форма и значения выходного напряжения и тока накопителя также достаточно близки. Экспериментальное значение напряжения накопителя Uвыкл в момент выключения регулятора тока совпадает с результатами моделирования. Уровень остаточного напряжения Uстоп накопителя спустя короткое время после выключения регуляторов и прекращения потребления также совпадает с результатами моделирования. При этом величина скачка напряжения ΔUC в течение короткого временного промежутка численно совпадает с падением напряжения на внутреннем сопротивлении накопителя . После чего остаточное напряжение накопителя, согласно результатам моделирования, остается постоянным, а в эксперименте наблюдается его постепенно замедляющийся рост в течение нескольких секунд с дальнейшим выходом на «плато». Это объясняется особенностями поведения суперконденсатора при разряде, в ходе которого (согласно [13–15]) заряд первоначально потребляется из ветвей, имеющих меньшую постоянную времени. После прекращения потребления энергии также имеет место внутреннее перераспределение энергии с выравниванием потенциалов быстрых и медленных ветвей, чем объясняется рост остаточного напряжения накопителя после выключения регуляторов тока. Расхождение в скорости спада выходного напряжения накопителя в эксперименте и моделировании можно объяснить зависимостью емкости реального суперконденсатора от напряжения.
После отключения регуляторов тока и прекращения потребления энергии происходит перераспределение заряда по ветвям с последующим выравниванием их потенциалов. По этой причине будут иметь место расхождения в оценке коэффициента использования запасенной энергии, значение которого по результатам моделирования будет несколько больше реального. Численная оценка этого коэффициента по формуле (2) при паспортном значении емкости дает следующие значения: в эксперименте KEэксп = 24,96 %, при моделировании KEмод = 28,67 %. Также дополнительный вклад в это расхождение вносит прямая зависимость емкости реальных суперконденсаторов от зарядного напряжения15 [13; 14; 16]. В моделировании же используется паспортное постоянное значение емкости.
В ходе экспериментов также определялась максимальная длительность стабилизации тока, которая затем сравнивалась с результатом моделирования и аналитического расчета. Накопитель во всех случаях был заряжен до 342 В, для удобства аналитического расчета значения тока в обеих секциях были одинаковыми и составляли 170 А, начальная температура обмоток – 24 °С, средняя мощность, потребляемая от накопителя, во время стабилизации тока – 87,5 кВт.
Рис. 8. Форма тока и напряжения при максимальной длительности стабилизации тока
Fig. 8. The shape of current and voltage at the maximum duration of current stabilization
Из графика на рисунке 8 видно, что после прекращения стабилизации в обоих случаях наблюдался спад тока сначала во второй секции, а затем и в первой. Сравнивая данный график с графиком на рисунке 7, можно заметить, что при увеличении потребляемой мощности наблюдается большее расхождение реального значения выходного напряжения накопителя с результатами моделирования. Это можно объяснить повышенным, по сравнению с паспортными данными, значением внутреннего сопротивления накопителя.
По результатам испытаний максимальная длительность стабилизации тока Тстаб составляет 2,1 с, что несколько меньше расчетной длительности, значение которой по результатам моделирования составляет 2,2 с. Эту разницу можно объяснить отличием динамических параметров накопителя, свойственных конкретному режиму работы и частотно-импульсному характеру потребления энергии, от паспортных значений, определяемых при других условиях16. Также на расхождение результатов может оказывать влияние небольшое различие температуры обмоток в эксперименте и моделировании. При моделировании начальная температура обмоток считалась равной температуре охлаждающего масла на выходе из магнитной системы после длительных (продолжительностью до нескольких минут) пауз между включениями, являющихся условием достижения теплового равновесия. В реальности температура обмоток могла незначительно превышать температуры охлаждающего масла.
Результат аналитического расчета длительности стабилизации тока по формуле (1) составляет 2,7 с, что существенно превышает результаты эксперимента и моделирования. Как отмечалось выше, при аналитическом расчете не учитывается множество факторов, влияющих на общий результат, который годится лишь для грубой оценки параметров накопителя.
Обсуждение и заключение
Математическая модель, описывающая на основании энергетического баланса процесс разряда суперконденсаторного накопителя на обмотки магнитной системы через регуляторы тока, стабилизирующие ток в обмотках, показала качественные сходства с экспериментальными результатами. Данная модель легко позволяет проводить масштабирование нагрузки путем добавления любого количества потребителей энергии, представляющих собой секции магнитной системы с независимой регулировкой тока в каждой. По результатам моделирования были также определены и экспериментально проверены максимальная длительность стабилизации тока и коэффициент использования запасенной в накопителе энергии. Полученные в результате моделирования и определенные экспериментально значения длительности стабилизации тока и коэффициент использования запасенной энергии при всех одинаковых параметрах накопителя и магнитной системы оказались достаточно близки. Значение коэффициента использования запасенной энергии, определенное экспериментально, на 15 % меньше значения, полученного в результате моделирования. Разница между полученной экспериментально длительностью стабилизации тока как более важного параметра от длительности стабилизации тока, полученной в результате моделирования, составляет порядка 5 %. Она объясняется отличием динамических, свойственных конкретному режиму работы, параметров накопителя от паспортных значений, а также возможной разностью температуры обмоток в эксперименте и моделировании.
Можно сделать вывод, что паспортные значения емкости и внутреннего сопротивления накопителя достаточно хорошо отражают реальные характеристики накопителя с учетом особенностей его работы совместно с регулятором тока и импульсным характером потребляемого тока.
1 Benford J., Swegle J. A., Schamiloglu E. High Power Microwaves. New York : Taylor&Francis Group, 2007. 446 p.
2 Там же.
3 Лагутин А. С., Ожогин В. И. Сильные импульсные магнитные поля в физическом эксперименте. М. : Энергоатомиздат, 1988. 192 c. URL: https://clck.ru/3EEzVU (дата обращения: 17.05.2024); Монтгомери Д. Получение магнитных полей с помощью соленоидов. М. : Мир, 1971. 358 c.
4 Монтгомери Д. Получение магнитных полей с помощью соленоидов.
5 Conway B. Electrochemical Supercapacitors. Scientific Fundamentals and Technological Applications. New York : Kluwer Academic / Plenum, 1999. 698 p.
6 Мелешин В. И. Транзисторная преобразовательная техника. М : Техносфера, 2005. 627 с.
7 Conway B. Electrochemical Supercapacitors. Scientific Fundamentals and Technological Applications; Kurzwell P., Frenzel B., Gallay R. Capacitance Characterization Methods and Ageing Behaviour of Supercapacitors // Proc. the 15th International Seminar on Double Layer Capacitors (5 – 7 December 2005, Deerfield Beach, Fl., USA). Deerfield Beach, 2005. P. 1–12. URL: https://clck.ru/3DpjS5 (дата обращения: 21.05.2024).
8 IEC 62391-2-1:2006. International Standard. Fixed Electric Double Layer Capacitors for Use in Electronic Equipment. Part 2–1: Blank Detail Specification – Electric Double-Layer Capacitors for Power Applications – Assessment Level EZ. URL: https://clck.ru/3DpjYa (дата обращения: 21.05.2024); ГОСТ Р МЭК 62391-1-2023. Конденсаторы постоянной емкости с двойным электрическим слоем для электрического и электронного оборудования. Часть 1. Общие технические условия. М. : Российский институт стандартизации, 2023. 50 с. URL: https://protect.gost.ru/document.aspx?control=7&id=255075 (дата обращения: 21.05.2024).
9 Мелешин В. И. Транзисторная преобразовательная техника.
10 Системы накопления энергии [Электронный ресурс]. URL: https://titanps.ru/product/sistemy-nakopleniya-energii/ (дата обращения: 21.05.2024).
11 Выпрямители с регулируемым выходным напряжением и током [Электронный ресурс]. URL: http://vorpostnsk.ru/catalog/ips/vypryamiteli-s-reguliruemym-vykhodnym-napryazheniem-i-tokom/isp500v/ (дата обращения: 21.05.2024).
12 Клюев А. С. Двухпозиционные автоматические регуляторы и их настройка. М. : Энергия, 1967. 104 c.
13 Основы теории цепей. Учебник для вузов. 4-е изд., перераб. / Г. В. Зевеке [и др.]. М. : Энергия, 1975. 752 с.
14 Там же.
15 Kurzwell P., Frenzel B., Gallay R. Capacitance Characterization Methods and Ageing Behaviour of Supercapacitors.
16 IEC 62391-2-1:2006. International Standard. Fixed Electric Double Layer Capacitors for Use in Electronic Equipment; ГОСТ Р МЭК 62391-1-2023. Конденсаторы постоянной емкости с двойным электрическим слоем для электрического и электронного оборудования. Часть 1. Общие технические условия.
Дополнительная информация
Конфликт интересов: авторы заявляют об отсутствии конфликта интересов.
Заявленный вклад авторов:
П. В. Выходцев – постановка задачи, анализ литературных источников, разработка математической модели и ее реализация в программном пакете National Instruments LabView 2012, обработка и анализ результатов, подготовка текста статьи.
В. В. Ростов – постановка задачи, консультирование по теоретической части, планирование и организация экспериментов.
А. С. Степченко – консультирование по теоретической части, подготовка экспериментального оборудования и программного обеспечения, проведение исследований, обработка результатов.
About the authors
Pavel V. Vykhodtsev
Institute of high current electronics SB RAS
Email: pasha@lfe.hcei.tsc.ru
ORCID iD: 0000-0003-2569-7919
SPIN-code: 9283-0909
ResearcherId: AAE-2858-2022
Researh Officer the Institute of High Current Electronics
Russian Federation, 2/3 Academichesky Ave., Tomsk 634055Vladislav V. Rostov
Institute of high current electronics SB RAS
Email: rostov@lfw.hcei.tsc.ru
ORCID iD: 0000-0002-1718-0111
SPIN-code: 1021-4897
ResearcherId: A-2031-2012
Dr.Sci.(Phis.-Math.), Head of Department of Institute of High Current Electronics
Russian Federation, 2/3 Academichesky Ave., Tomsk 634055Alexey S. Stepchenko
Institute of high current electronics SB RAS
Author for correspondence.
Email: lexa_stp@msn.com
ORCID iD: 0000-0001-7481-358X
Research Officer the Institute of High Current Electronics
Russian Federation, 2/3 Academichesky Ave., Tomsk 634055References
- Korovin S.D., Rostov V.V., Smorgonsky A.V. [Pulse-Periodic Relativistic Carcinotron]. Izvestiya VUZov. Radiofizika. 1986;29(10):1278–1280. (In Russ.) Available at: https://radiophysics.unn.ru/issues/1986/10/1278 (accessed 17.05.2024).
- Korovin S.D., Rostov V.V., Polevin S.D., Pegel I.V., Schamiloglu E., Fuks M., et al. Pulsed Power-Driven High-Power Microwave Sources. Proceeding of the IEEE. 2004;92(7):1082–1095. https://doi.org/10.1109/JPROC.2004.829020
- Gold S.H., Nusinovich G.S. Review of High-Power Microwave Source Research. Review of Scientific Instruments. 1997;68(11):3945–3974. https://doi.org/10.1063/1.1148382
- Korovin S.D., Rostov V.V. High-Current Nanosecond Pulse-Periodic Electron Accelerators Utilized a Testa Transformer. Russian Physics Journal. 1996;39(12):1177–1185. https://doi.org/10.1007/BF02436160
- Mesyats G.A., Korovin S.D., Gunin A.V., Gubanov V.P., Stepchenko A.S., Grishin D.M., et al. Repetitively Pulsed High-Current Accelerators with Transformer Charging of Forming Lines. Laser and Particle Beams. 2003;21(2):197–209. https://doi.org/10.1017/S0263034603212076
- Volfkovich Yu.M. [Electrochemical Supercapacitors (Review)]. Elektrohimiya. 2021;57(4):197–238. (In Russ.) EDN: AWUGYP
- Sahin M.E., Bllaberg A., Sangwongwanich A. A Comprehensive Review on Supercapacitor Applications and Developments. Energies. 2022;15(3):674. https://doi.org/10.3390/en15030674
- Volfkovich Yu.M. Supercapacitors Produced by Industrial Companies. Electrochemical Energetics. 2024;24(1):3–27. (In Russ., abstract in Eng.) EDN: POMDSM
- Vykhodstev P.V., Karpov Yu.A., Stepchenko A.S., Rostov V.V. Regulated DC Sources for Powering Magnetic Systems of Microwave Generators Based on Supercapacitor Storages. Instruments and Experimental Techniques. 2024;67(3):471–483. https://doi.org/10.1134/S0020441224700684
- Grishin D.M., Gubanov V.P., Gunin A.V., Korovin S.D., Stepchenko A.S. A Power Supply for One-Second Source of Highly Stable Magnetic Field. PPPS-2001 Pulsed Power Plasma Science 2001, 28th. IEEE International Conference on Plasma Science and 13th. IEEE International Pulsed Power Conference (Las Vegas, USA June 17 – 22, 2001). Las Vegas, 2001:1638–1641. https://doi.org/10.1109/PPPS.2001.1001880
- June J., Zhenxing J., Dian Z., Jianhua Ya., Ting S., Huihuang Z., et al. 4.8 MJ Magnetic Field Excitation Source Using Pulse Width Modulation Technique. High Power laser and Particle Beams. 2010;22(6):1323–1326. (In Chin., abstract in Eng.) https://doi.org/10.3788/HPLPB20102206.1323
- Yang X., Cui X., Zheng Z., Zhang H., Qiu W., Tang J. Design of a 2 T Magnetic System Based on Storage Supercapacitor. IEEE Transactions on Magnetics. 2020;56(9). Available at: https://ieeexplore.ieee.org/stamp/stamp.jsp?arnumber=9144600 (accessed 17.05.2024).
- Zubieta L., Bonert R. Characterization of Double-Layer Capacitors for Power Electronics Applications. IEEE Transactions on Industry Applications. 2000;36(1):199–205. https://doi.org/10.1109/28.821816
- Sahin M.E., Blaabjerg A., Sangwongwanich A. Modelling of Supercapacitors Based on Simplified Equivalent Circuit. CPSS Transactions on Power Applications. 2021;6(1):31–39. https://doi.org/10.24295/CPSSTPEA.2021.00003
- Naseri F., Karimi S., Farjah B., Schaltz E. Supercapacitor Management System: A Comprehensive Review of Modeling, Estimation, Balancing, and Protection Techniques. Renewable and Sustainable Energy Reviews. 2022;155:111913. https://doi.org/10.1016/j.rser.2021.111913
- Yang H. A Comparative Study of Supercapacitor Capacitance Characterization Methods. Journal of Energy Storage. 2020;29:101316. https://doi.org/10.1016/j.est.2020.101316
- Zhao J., Burke A. Review on Supercapacitors: Technologies and Performance Evaluation. Journal of Energy Chemistry. 2021;59:276–291. https://doi.org/10.1016/j.jechem.2020.11.013
Supplementary files



























