Assessment of the Grassland Degradation Stages in Highland Semiarid Ecosystems of the Central Caucasus
- Authors: Tembotova F.A.1, Uligova T.S.1, Zhashuev A.J.1, Gedgafova F.V.1, Khanov Z.M.1, Tembotov R.H.1, Tsepkova N.L.1, Pshegusov R.H.1, Gorobtsova O.N.1, Chadaeva V.A.1, Khakunova E.M.1
-
Affiliations:
- Tembotov Institute of Ecology of Mountain Territories of Russian Academy of Sciences
- Issue: Vol 87, No 7 (2023)
- Pages: 1097-1112
- Section: ОЦЕНКА ВОЗМОЖНОСТЕЙ УСТОЙЧИВОГО ЗЕМЛЕПОЛЬЗОВАНИЯ В УСЛОВИЯХ ГОРНЫХ ПАСТБИЩНЫХ СИСТЕМ
- URL: https://bakhtiniada.ru/2587-5566/article/view/231720
- DOI: https://doi.org/10.31857/S2587556623070142
- EDN: https://elibrary.ru/IFWZKN
- ID: 231720
Cite item
Full Text
Abstract
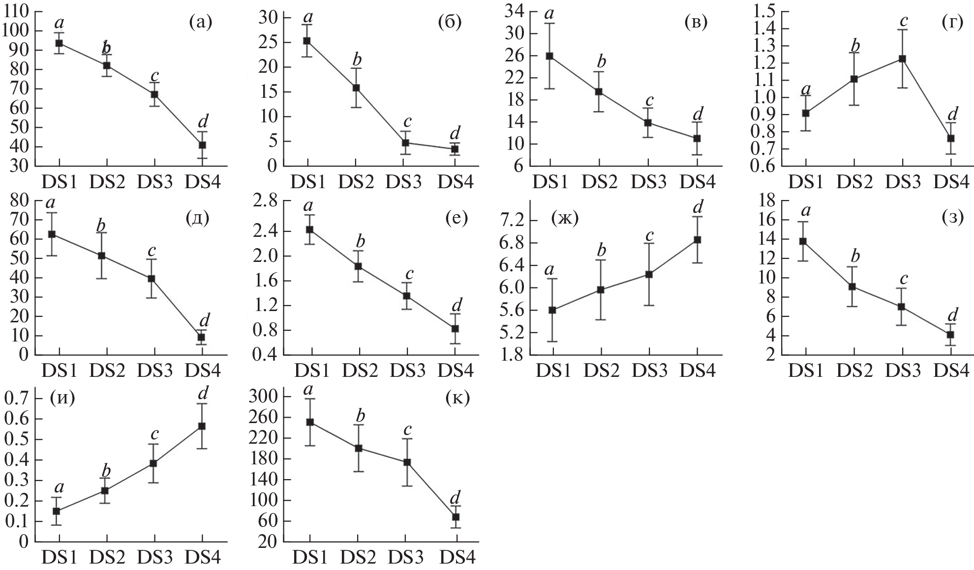
Overgrazing, grassland degradation, and soil erosion are significant problems in mountain semiarid ecosystems of the Central Caucasus. Semiarid highland grasslands mainly occur on southern slopes with shallow soils covering a rocky impermeable layer. These ecosystems experience more drought than the grasslands on the northern slopes, and like other drylands, they are especially prone to climate change and desertification. Year-round overgrazing in rural semiarid pastures, as a result of the increase in livestock on private farms at the turn of the 20th and 21st century, also contributed to landscape xerophytization and soil erosion. The aim was to define vegetation and soil indicators for the stages of grassland degradation to help land managers make decisions on sustainable grassland management. We identified four stages of grassland degradation and calculated the integral degradation index for each stage. Main indicators of grassland degradation were grass height, vegetation coverage, Shannon index, humus content, and soil moisture. These parameters decreased significantly with each stage of grassland degradation. At the stage of extremely degraded grasslands, there was clear evidence of the spread of drier vegetation types to more mesic types with soil erosion and hydrological change. Regulation of stocking rates at each stage of grassland degradation is recommended to maintain and restore the highland semiarid ecosystems of the Central Caucasus.
About the authors
F. A. Tembotova
Tembotov Institute of Ecology of Mountain Territories of Russian Academy of Sciences
Email: v_chadayeva@mail.ru
Russia, Nalchik
T. S. Uligova
Tembotov Institute of Ecology of Mountain Territories of Russian Academy of Sciences
Email: v_chadayeva@mail.ru
Russia, Nalchik
A. J. Zhashuev
Tembotov Institute of Ecology of Mountain Territories of Russian Academy of Sciences
Email: v_chadayeva@mail.ru
Russia, Nalchik
F. V. Gedgafova
Tembotov Institute of Ecology of Mountain Territories of Russian Academy of Sciences
Email: v_chadayeva@mail.ru
Russia, Nalchik
Z. M. Khanov
Tembotov Institute of Ecology of Mountain Territories of Russian Academy of Sciences
Email: v_chadayeva@mail.ru
Russia, Nalchik
R. H. Tembotov
Tembotov Institute of Ecology of Mountain Territories of Russian Academy of Sciences
Email: v_chadayeva@mail.ru
Russia, Nalchik
N. L. Tsepkova
Tembotov Institute of Ecology of Mountain Territories of Russian Academy of Sciences
Email: v_chadayeva@mail.ru
Russia, Nalchik
R. H. Pshegusov
Tembotov Institute of Ecology of Mountain Territories of Russian Academy of Sciences
Email: v_chadayeva@mail.ru
Russia, Nalchik
O. N. Gorobtsova
Tembotov Institute of Ecology of Mountain Territories of Russian Academy of Sciences
Email: v_chadayeva@mail.ru
Russia, Nalchik
V. A. Chadaeva
Tembotov Institute of Ecology of Mountain Territories of Russian Academy of Sciences
Author for correspondence.
Email: v_chadayeva@mail.ru
Russia, Nalchik
E. M. Khakunova
Tembotov Institute of Ecology of Mountain Territories of Russian Academy of Sciences
Email: v_chadayeva@mail.ru
Russia, Nalchik
References
- Авессаломова И.А., Петрушина М.Н., Хорошев А.В. Горные ландшафты: структура и динамика. М.: Изд-во Моск. ун-та, 2002. 158 с.
- Бадикова А.А., Хусаинова С.А., Ахмадуллин И.И., Хусаинов А.Ф. Влияние выпаса на флору и растительность петрофитных степей на южной границе Природного парка “Кандры-куль” // Тенденции развития науки и образования. 2018. Т. 43. № 7. С. 59–62.
- Борликов Г.М., Бананова В.А., Лазарева В.Г., Бамбышева А.Н. Динамика опустынивания черноземельских пастбищ юга европейской части России // Научная мысль Кавказа. 2006. № 2. С. 63–69.
- Грачева Р.Г., Белоновская Е.А. Современное состояние пасторальных экосистем Центрального Кавказа // Изв. РАН. Сер. геогр. 2010. № 1. С. 90–102.
- Гунин П.Д., Микляева И.М., Бажа С.Н., Слемнев Н.Н., Чердонова В.А. Особенности деградации и опустынивания растительных сообществ лесостепных и степных экосистем Южного Забайкалья // Аридные экосистемы. 2003. Т. 9. № 19–20. С. 7–21.
- Имескенова Э.Г., Бутуханов А.Б. Продукционные возможности пастбищных экосистем тункинского района // Вестн. Бурятской гос. с.-х акад. им. В.Р. Филиппова. 2013. № 1 (30). С. 77–81.
- Казеев К.Ш., Колесников С.И., Вальков В.Ф. Биологическая диагностика и индикация почв: методология и методы исследования. Ростов-на-Дону: Изд-во Ростов. ун-та, 2003. 204 с.
- Кобечинская В.Г. Постпастбищная демутация в опустыненных степях равнинного Крыма с учетом интенсивности пасквальной нагрузки // Учен. зап. Крымского фед. ун-та им. В.И. Вернадского. Биология. Химия. 2018. Т. 70. № 4. С. 79–96.
- Микляева И.М., Гунин П.Д., Слемнев Н.Н., Бажа С.Н., Факхире А. Нарушенность растительности степных экосистем // Аридные экосистемы. 2004. Т. 10. № 24–25. С. 35–47.
- Миркин Б.М., Наумова Л.Г. Изучение состава и динамики растительных сообществ в Республике Башкортостан // Вестн. Акад. наук Республики Башкортостан. 2014. Т. 19. № 2. С. 29–39.
- Миронычева-Токарева Н.П. Эволюция растительного покрова лугов Южного Урала // Гео-Сибирь. 2009. Т. 4. № 2. С. 78–83.
- Пшегусов Р.Х., Чадаева В.А. Исторические аспекты использования пастбищных ресурсов горно-луговых экосистем Кабардино-Балкарской Республики // Докл. Адыгской (Черкесской) Междунар. акад. наук. 2020. Т. 20. № 2. С. 16–23.
- Районы и города Кабардино-Балкарии. Статистический сборник / гл. ред. Н.В. Скоркина. Нальчик: ОП Cеверо-Кавказстата по КБР, 2019. 151 с.
- Разумов В.В., Курданов Х.А., Разумова Л.А., Крохмаль А.Г., Батырбекова Л.М. Экосистемы гор Центрального Кавказа и здоровье человека. М.–Ставрополь: Илекса, Ставропольсервисшкола, 2003. 448 с.
- Сидоров Ю.Н., Докина Н.Н., Королев В.Л., Маханова Р.С. Погодные и антропогенные условия пастбищной дигрессии в зонах сухих и засушливых степей Южного Предуралья // Вестн. мясного скотоводства. 2013. № 4 (82). С. 111–116.
- Уртнасан М., Любарский Е.Л. Пастбищная дигрессия в степях Центральной Монголии (на примере сомона Батсумбэр Центрального аймака Монголии) // Учен. Зап. Казанского ун-та. Сер.: Естественные науки. 2013. Т. 155. № 1. С. 158–170.
- Bananova V.A., Lazareva V.G. Trends of changes in the botanical diversity under the influence of desertification in the Republic of Kalmykia // Arid Ecosystems. 2014. Vol. 4 (2). P. 119–126.
- Bosch O.J.H. Degradation of the semi-arid grasslands of southern Africa // J. Arid Environ. 1989. Vol. 16. P. 165–175.
- Chadaeva V., Gorobtsova O., Pshegusov R., Tsepkova N., Tembotov R., Khanov Z., Gedgafova F., Zhashuev A., Uligova T., Khakunova E., Stepanyan E. Stages of grassland degradation in subalpine ecosystems of the Central Caucasus, Russia // Chil. J. Agr. Res. 2021. Vol. 81. P. 630–642.
- Cipriotti P.A., Aguiar M.R., Wiegand Th., Paruelo J.M. Combined effects of grazing management and climate on semi-arid steppes: Hysteresis dynamics prevent recovery of degraded rangelands // J. Appl. Ecol. 2019. Vol. 56. P. 2155–2165.
- Christen M. Expanding Plant Species in Armenia: A Case Study from Geghadzor and Kuchak in the Aragatsotn Marz. Stuttgart: Acopian Center for the Environment, Univ. Hohenheim, 2020. 44 p.
- Çomakli E., Güllap M.K., Çomakli T., Bilgili A. The comparison of botanical composition and the condition and health class of different rangeland sites in forest ecosystem // Turk. J. Agric. For. 2021. Vol. 45. P. 349–355.
- Fırıncıoglu H.K., Seefeldt S.S., Sahin B., Vural M. Assessment of grazing effect on sheep fescue (Festuca valesiaca) dominated steppe rangelands, in the semi-arid Central Anatolian region of Turkey // J. Arid Environ. 2009. Vol. 73. P. 1149–1157.
- Gasanova A.F. Ecological evaluation of rangeland quality in dry subtropics of Azerbaijan // Eurasian Soil Science. 2014. Vol. 47 (12). P. 1283–1292.
- Guo X., Dai L., Li Q., et al. Light grazing significantly reduces soil water storage in alpine grasslands on the Qinghai-Tibet plateau // Sustainability. 2020. Vol. 12. Art. 2523.
- Haider M., Maclaurin A., Chaudhry A., Mushtaque M., Ullah S. Effect of grazing systems on range condition in Pabbi Hills Reserve Forest, Kharian, Punjab, Pakistan // Chil. J. Agr. Res. 2011. Vol. 71. P. 560–565.
- Hammer O., Harper D.A.T., Ryan P.D. PAST: Paleontological statistics software package for education and data analysis // Palaeontol Electron. 2001. Vol. 4. P. 4.
- IUSS Working Group WRB. World Reference Base for Soil Resources. International soil classification system for naming soils and creating legends for soil maps. 4th edition. Vienna: Int. Union of Soil Sciences (IUSS), 2022. 236 p.
- Karatassiou M. Water use efficiency and net production of two semiarid grasslands in different successional stages // Ap-pl. Ecol. Env. Res. 2016. Vol. 14. P. 41–53.
- Kemp D., Behrendt K., Badgery W., et al. Chinese degraded grasslands – pathways for sustainability // Rangeland J. 2020. Vol. 42. P. 339–346.
- Koç A., Güllap M.K., Sürmen M., Erkovan H.I. Changes in some vegetation properties of the rangelands of the Palandöken Mountains, Erzurum, over two decades // Turk. J. Agric. For. 2020. Vol. 44. P. 589–598.
- Kudrevatykh I.Yu., Kalinin P.I., Mitenko G.V., Alekseev A.O. The role of plant in the formation of the topsoil chemical composition in different climatic conditions of steppe landscape // Plant Soil. 2021. Vol. 465. P. 453–472.
- Lebedeva N.V., Ilyina L.P., Ponomareva A.V., Savitsky R.M. The effect of grazing intensity on the transformation of arid steppe ecosystems in the Manych Valley // Arid Ecosystems. 2011. Vol. 1. P. 251–259.
- Lee B.H., Kim J.Y., Park H.S., Sung K.I., Kim B.W. Evaluation of grassland grade by grassland vegetation ratio // J. Korean Soc. Grass. Forage Sci. 2020. Vol. 40. P. 29–36.
- Leu S., Mussery A.M., Budovsky A. The effects of long time conservation of heavily grazed shrubland: a case study in the Northern Negev, Israel // Environ. Management. 2014. Vol. 54. P. 309–319.
- Liu M., Ouyang S., Tian Y., et al. Effects of rotational and continuous overgrazing on newly assimilated C allocation // Biol. Fert. Soils. 2021. Vol. 57. P. 193–202.
- Mayel S., Jarrah M., Kuka K. How does grassland management affect physical and biochemical properties of temperate grassland soils? A review study // Grass. Forage Sci. 2021. Vol. 76. P. 1–30.
- Muller M., Siebert S., Ntloko B.R., Siebert F. A floristic assessment of grassland diversity loss in South Africa // Bothalia. 2021. Vol. 51 (1). Art. 11.
- Nakano T., Bat-Oyun T., Shinoda M. Responses of palatable plants to climate and grazing in semi-arid grasslands of Mongolia // Glob. Ecol. Conserv. 2020. Vol. 24. e0121.
- Navarro L.M., Pereira H.M. Rewilding abandoned landscapes in Europe // Ecosystems. 2012. Vol. 15. P. 900–912.
- Neudert R. Combating Pasture Degradation in Central Asia and the Caucasus – A Review of Approaches. In Transitioning to Sustainable Life on Land. / V. Beckmann (Ed.). Basel: MDPi, 2021. P. 231–273.
- Peper J., Pietzsch D., Manthey M. Semi-arid rangeland vegetation of the Greater Caucasus foothills in Azerbaijan and its driving environmental conditions // Phytocoenologia. 2010. Vol. 40. P. 73–90.
- Taboada M.A., Rubio G., Chaneton E.J. Grazing impacts on soil physical, chemical, and ecological properties in forage production systems. In Soil management: Building a stable base for agriculture / J.L. Hatfield, Th.J. Sauer (Eds.). USA: American Society of Agronomy and Soil Science Society of America, 2011. P. 301–320.
- Tepanosyan G.H., Shushanik G.A., Muradyan V.S., Saghatelyan A.K. Mapping man-induced soil degradation in Armenia’s high mountain pastures through remote sensing methods: A case study // Remote Sensing Applications: Society and Environment. 2017. Vol. 8. P. 105–13.
- Wei L., Huang H.-Z., Zhang Z.-N., Wu G.-L. Effects of grazing on the soil properties and C and N storage in relation to biomass allocation in an alpine meadow // J. Soil Sci. Plant. Nut. 2011. Vol. 11. P. 27–39.
- Zhang C., Dong Q., Chu H., et al. Grassland community composition response to grazing intensity under different grazing regimes // Rangeland Ecol Manag. 2018. Vol. 71. P. 196–204.
- Zhang B., Beck R., Pan Q., Zhao M., Hao X. Soil physical and chemical properties in response to long-term cattle grazing on sloped rough fescue grassland in the foothills of the Rocky Mountains, Alberta // Geoderma. 2019. Vol. 346. P. 75–83.
Supplementary files







