Трансграничный водообмен в бассейне Дона
- Авторы: Долгов С.В.1, Коронкевич Н.И.1, Алентьев Ю.Ю.1
-
Учреждения:
- Институт географии РАН
- Выпуск: Том 87, № 2 (2023)
- Страницы: 250-263
- Раздел: ПРИРОДОПОЛЬЗОВАНИЕ И ГЕОЭКОЛОГИЯ
- URL: https://bakhtiniada.ru/2587-5566/article/view/135581
- DOI: https://doi.org/10.31857/S2587556623020048
- EDN: https://elibrary.ru/KESAHY
- ID: 135581
Цитировать
Полный текст
Аннотация
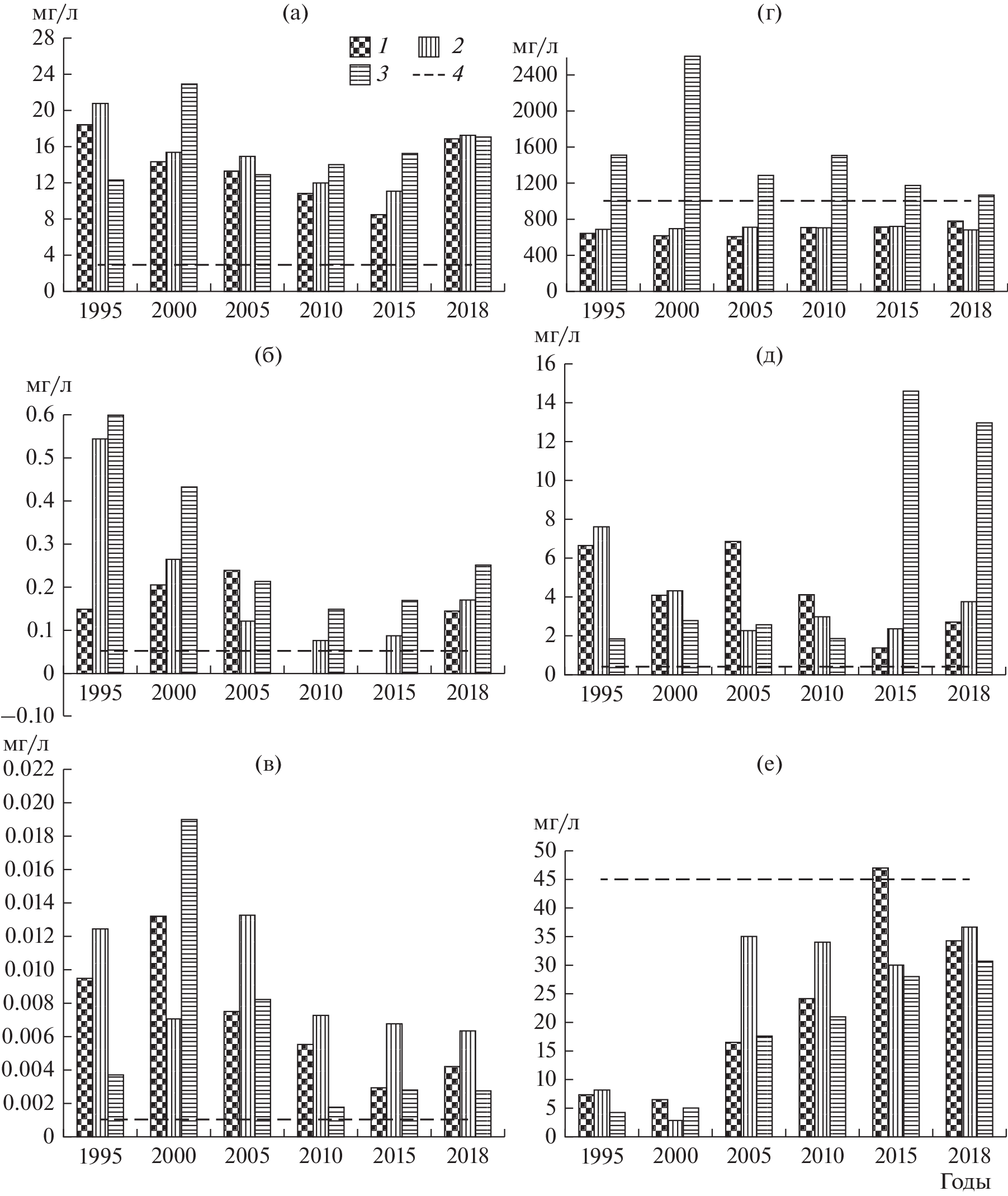
Рассмотрены разные виды водообмена через государственные (по состоянию на конец февраля 2022 г.), административные и природные границы в бассейне Дона. Приведены показатели атмосферного влагопереноса и ветрового перемещения снега, водного стока через границы лесостепной и степной зон и границы отдельных ландшафтов. Большая часть воды переносится через все границы в атмосфере. Речной сток составляет лишь 4% от величины атмосферного переноса влаги. Из лесостепи к границам степной зоны притекает 42% общего годового стока, 39% стока половодья и 55–65% минимального стока летне-осенней и зимней меженей. Определен обмен речной водой между отдельными субъектами РФ в российской части донского бассейна. Наблюдается значительное улучшение водообеспеченности регионов с учетом транзитного стока. Рассмотрен перенос с водой химических веществ. Выявлены особенности формирования диффузного стока биогенных элементов в разных ландшафтах. Приведены результаты сравнительного анализа динамики содержания загрязняющих веществ в составе сточных вод Ростовской, Воронежской и Липецкой областей за период 1995–2018 гг. Дана оценка воздействия местных и транзитных сточных вод на качество водных ресурсов Ростовской области. Выявлены особенности трансграничного водообмена в связи с произошедшими за последние десятилетия изменениями климата и хозяйственной деятельности. В основном вследствие климатических изменений речной сток на Нижнем Дону значительно сократился – в среднем на 20%. Роль поверхностной составляющей стока в перемещении воды вместе с загрязняющими веществами через административные и природные границы существенно снизилась, а роль подземной составляющей, напротив, возросла. Предложены пути решения основных проблем, обусловленных трансграничным водообменом.
Об авторах
С. В. Долгов
Институт географии РАН
Автор, ответственный за переписку.
Email: svdolgov1978@yandex.ru
Россия, Москва
Н. И. Коронкевич
Институт географии РАН
Автор, ответственный за переписку.
Email: koronkevich@igras.ru
Россия, Москва
Ю. Ю. Алентьев
Институт географии РАН
Автор, ответственный за переписку.
Email: alentev49@mail.ru
Россия, Москва
Список литературы
- Водные ресурсы и водное хозяйство России: Стат. сб. / под ред. Н.Г. Рыбальского, В.А. Омельяненко, А.Д. Думнова. М.: НИА-Природа, 2008–2018.
- Водные ресурсы и водный баланс территории Советского Союза. Л.: Гидрометеоиздат, 1967. 199 с.
- Водные ресурсы России и их использование / под ред. И.А. Шикломанова. СПб.: ГГИ, 2008. 600 с.
- Водные ресурсы Российской Федерации: Стат. сб. / под ред. Н.Г. Рыбальского и А.Д. Думнова. М.: НИА-Природа, 2007. 205 с.
- Водные ресурсы СССР и их использование. Л.: Гидрометеоиздат, 1987. 301 с.
- Государственный доклад “О состоянии и использовании водных ресурсов Российской Федерации в 2018 году”. М.: НИА-Природа, 2019. 290 с.
- Джамалов Р.Г., Киреева М.Б., Косолапов А.Е., Фролова Н.Л. Водные ресурсы бассейна Дона и их экологическое состояние. М.: ГЕОС, 2017. 205 с.
- Долгов С.В. Гидрологические последствия изменений хозяйственной деятельности в Курской области // Изв. РАН. Сер. геогр. 2002. № 5. С. 72–82.
- Долгов С.В., Коронкевич Н.И., Барабанова Е.А. Ландшафтно-гидрологические изменения в бассейне Дона // Водные ресурсы. 2020. Т. 47. № 6. С. 674–685.
- Долгов С.В., Швыдкий В.О., Штамм Е.В. Закономерности формирования баланса азота и фосфора на речных водосборах в центральной лесостепи Русской равнины в 1990–2020 гг. // Изв. РАН. Сер. геогр. 2021. Т. 85. № 3. С. 355–367.
- Закруткин В.Е., Коронкевич Н.И., Шишкина Д.Ю., Долгов С.В. Закономерности антропогенного преобразования малых водосборов степной зоны Юга России (в пределах Ростовской области). Ростов-на-Дону: Изд-во Ростов. ун-та, 2004. 252 с.
- Калинин Г.П. Проблемы глобальной гидрологии. Л.: Гидрометеоиздат, 1968. 377 с.
- Клюев Н.Н. Экологические угрозы в Российском приграничье // Изв. РАН. Сер. геогр. 2017. № 1. С. 35–46.
- Коронкевич Н.И., Барабанова Е.А., Георгиади А.Г., Долгов С.В., Зайцева И.С. Трансграничный водообмен в России // Водные ресурсы. 2021. Т. 48. № 4. С. 407–416.
- Коронкевич Н.И., Барабанова Е.А., Георгиади А.Г., Долгов С.В., Зайцева И.С., Кашутина Е.А. Оценка антропогенных воздействий на водные ресурсы России // Вестн. РАН. 2019. № 6. С. 603–614.
- Коронкевич Н.И., Долгов С.В. Сток с водосбора как источник диффузного загрязнения рек // Вода и экология: проблемы и решения. 2017. № 4. С. 103–110.
- Котляков В.М. Мир снега и льда. М.: Наука, 1994. 286 с.
- Кузнецова Л.П. Перенос влаги в атмосфере над территорией СССР. М.: Наука, 1978. 91 с.
- Научно-прикладной справочник: Основные гидрологические характеристики водных объектов бассейна реки Дон / под ред. В.Ю. Георгиевского. СПб.: Свое издательство, 2020. 262 с.
- Ресурсы поверхностных и подземных вод, их использование и качество: Ежегод. изд-е. СПб.–М., 2001–2019.
- Ясинский С.В., Кашутина Е.А., Сидорова М.В., Нарыков А.Н. Антропогенная нагрузка и влияние водосбора на диффузный сток биогенных элементов в крупный водный объект (на примере водосбора Чебоксарского водохранилища) // Водные ресурсы. 2020. Т. 47. № 5. С. 630–648.
Дополнительные файлы








