Пространственная структура туризма Тюменской области в контексте концепции центр–периферия
- Авторы: Гудковских М.В.1, Дирин Д.А.1
-
Учреждения:
- Тюменский государственный университет
- Выпуск: Том 87, № 1 (2023)
- Страницы: 147-163
- Раздел: РЕГИОНАЛЬНЫЕ ГЕОГРАФИЧЕСКИЕ ПРОБЛЕМЫ
- URL: https://bakhtiniada.ru/2587-5566/article/view/135574
- DOI: https://doi.org/10.31857/S2587556623010077
- EDN: https://elibrary.ru/LGHQQS
- ID: 135574
Цитировать
Полный текст
Аннотация
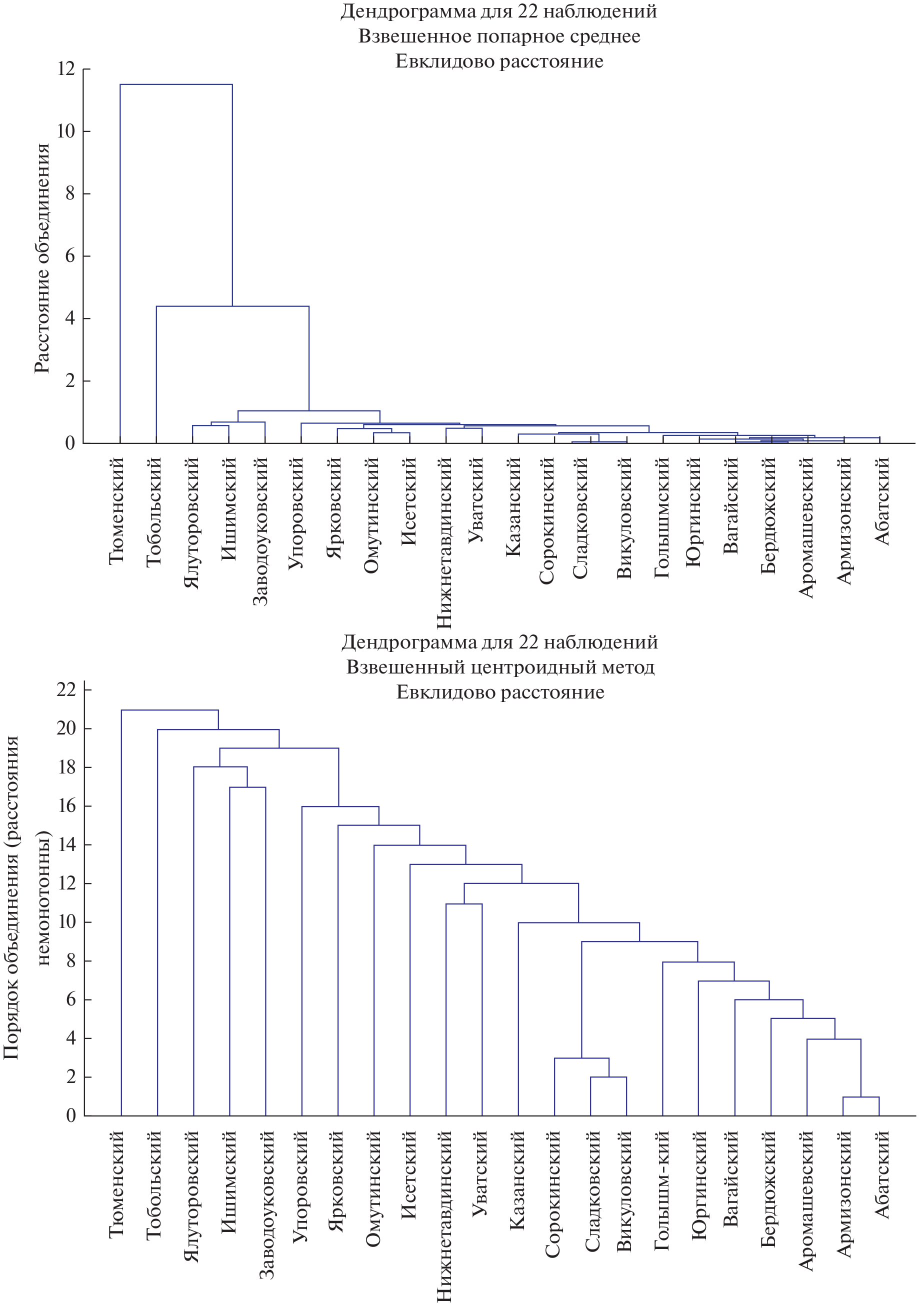
Статья посвящена анализу пространственной структуры туристского хозяйства в Тюменской области. Теоретико-методологической основой анализа выступает концепция центр–периферия. Развитие внутреннего туристского рынка признано одним из важнейших приоритетов региональной экономики Тюменской области. В этой связи актуальной задачей является выявление закономерностей пространственной организации туризма как центро-периферической системы, в которой выделяются разные по своим функциям и статусу зоны. Выявление и изучение данных закономерностей имеет не только и не столько научно-теоретическое, сколько прикладное значение. Полная и достоверная информация такого типа является непременной основой для рационального территориального планирования развития туристской инфраструктуры; принятия эффективных управленческих решений в сфере туризма; залогом успешной инвестиционной политики. В исследовании применяется метод кластерного анализа (через правила одиночной и полной связи, взвешенного попарного среднего, взвешенного центроидного методов и метода Варда) для вычленения групп муниципальных образований, схожих по набору переменных, отражающих инфраструктурную обеспеченность и культурно-исторический потенциал территории. Такой подход гарантирует адекватную сегментацию туристского пространства региона на региональный центр, концентрирующий максимальное количество и разнообразие туристских ресурсов и, соответственно, наиболее разноплановые виды туристской активности; вторые центры, фиксирующиеся по повышенным показателям туристского потенциала с явно выделяющимися отраслями специализации. Полупериферия туристского пространства области определяется как наиболее перспективная и имеющая экономический, природно-культурный и инфраструктурный потенциал для роста туристских прибытий, где должны концентрироваться максимальные усилия региональных властей в поддержке туристской отрасли. Периферийные районы чрезвычайно слабо оснащены туристской и сопутствующей инфраструктурой, характеризуются внутренней неоднородностью в развитии туризма, имеют единичные дестинации с транспортной изолированностью. При этом туризм для них является средством преодоления экономической отсталости, но находится в зоне рискованного предпринимательства. Результаты исследования позволяют совершенствовать научное и практическое содержание туристского районирования и территориального планирования туристской отрасли Тюменской области.
Об авторах
М. В. Гудковских
Тюменский государственный университет
Автор, ответственный за переписку.
Email: m.v.gudkovskikh@utmn.ru
Россия, Тюмень
Д. А. Дирин
Тюменский государственный университет
Email: m.v.gudkovskikh@utmn.ru
Россия, Тюмень
Список литературы
- Александрова А.Ю. Структурно-функциональный анализ туристического пространства мира // Вестн. Моск. ун-та. Сер. 5. География. 2009. № 4. С. 21–26.
- Ашугатоян С.Г. Трансформация территориальной структуры въездного и внутреннего туризма в Турции // Геогр. вестн. 2017. № 4 (43). С. 153–161.
- Валлерстайн И. Анализ мировых систем и ситуация в современном мире / пер. с англ. П.М. Кудюкина; под ред. Б.Ю. Кагарлицкого. СПб.: Унив. кн., 2001. 414.
- Грицай О.В., Иоффе Г.В., Трейвиш А.И. Центр и периферия в региональном развитии. М.: Наука, 1991. 168 с.
- Гудковских М.В. Методика комплексной оценки туристско-рекреационного потенциала // Географический вестн. 2017. № 1 (40). С. 102–116.
- Зырянов А.И. Теория и методология рекреационной географии Пермь, 2021. 368 с. http://www.psu.ru/files/docs/science/books/uchebnie-posobiya/zyryanov-teoriya-i-metodologiya-rekreacionnoj-geografii.pdf
- Каганский В.Л. Центр – провинция – периферия – граница. Основные зоны культурного ландшафта // Культурный ландшафт: вопросы теории и методологии исследований: семинар “Культурный ландшафт”: 2-й тематич. вып. докл. М.–Смоленск: Изд-во СГУ, 1998. С. 72–101.
- Кружалин В.И., Кружалин К.В. Пространственная организация рекреации и туризма в регионах России // Туризм и рекреация: фундаментальные и прикладные исследования: Тр. V Междунар. научн.-практ. конф. МГУ имени М.В. Ломоносова, географический факультет (Москва, 28–29 апреля 2010 г.). CПб.: Д.А.Р.К., 2010. С. 19–29.
- Крыстев В.К. Геоэкономическая поляризация мирового туристского пространства в центро-периферийном порядке // Социально-политические и эколого-хозяйственные проблемы развития Балтийского региона: К 170-летию Русского географического общества: Материалы междунар. научн.-практ. конф. (Псков, 19–20 ноября 2015 г.). Псков: Псков. гос. ун-т, 2015. С. 3–10.
- Манаков А.Г. География международного туризма и всемирного наследия ЮНЕСКО: взгляд сквозь призму концепции “центр–периферия” // Псков. регионол. журн. 2009. № 8. С. 63–74.
- Aubert A., Csapo J., Pirkhoffer E., Puczko L., Szabo G. A method for complex spatial delimitation of tourism destinations in South Transdanubia // Hungarian Geogr. Bul. 2010. Vol. 59. № 3. P. 271–287.
- Friedmann J. Regional development policy. Boston: Mass. Intst. Techn., 1966. 279 p.
- Ghimire K.B. Regional tourism and South-South economic cooperation // Geogr. J. 2001. Vol. 167. № 2. P. 99–110.
- Gormsen E. The impact of tourism on coastal areas // GeoJournal. 1997. № 42. P. 39–54.
- Holmgren H., Lindkvist K.B. Resource management regimes and innovation in peripheral nature-based tourism: The case of North Cape tourism and sea-fishing tourism // Norsk Geografisk Tidsskrift. 2016. Vol. 70. № 4. P. 203–215.
- Husbands W. Centres, peripheries, tourism, and socio-spatial development // Ontario Geogr. 1981. Vol. 17. P. 37–59.
- Keller C.P. Centre-periphery tourism development and control // Leisure, tourism and social change. Conference papers, Edinburgh. 1983. P. 77–84.
- Manyane R.M. Rethinking trans-boundary tourism resources at the Botswana-North West Province border // South African Geogr. J. 2017. Vol. 99. № 2. P. 134–151.
- Mowforth M., Munt I. Tourism and sustainability: Development, globalisation and new tourism in the Third World. London: Routledge, 2015. 476 p.
- Penzes J. The dimensions of peripheral areas and their restructuring in Central Europe // Hungarian Geogr. Bul. 2013. Vol. 62. № 4. P. 373–386.
- Rezzani R.J. Classification analysis of world economic regions // Geogr. Analysis. 2001. Vol. 33. № 4. P. 330–352.
- Taylor P.J., Catalano G., Walker D.R.F. Exploratory analysis of the world city network // Urban Stud. 2002. Vol. 39. № 13. P. 2377–2394.
- Wu X. Ben, Sui Daniel Z. An initial exploration of a lacunarity-based segregation measure // Environ. and Planning. 2001. Vol. 28. № 3. P. 433–446.
- Zimmermann G.R. Madagascar: Economic and ecological interdependencies illustrated along a centre-periphery profile // Geographische Rundschau. 2005. Vol. 57. № 4. P. 42–49.
Дополнительные файлы








