The effect of carbon nanomodifier on the ageing processes of polymer modified binders Part II: Practical research
- Autores: Obukhova S.I.1, Korolev E.V.2, Gladkikh V.A.1,3
-
Afiliações:
- National Research Moscow State University of Civil Engineering
- Saint Petersburg State University of Architecture and Civil Engineering
- Research center «MGSU Stroy-Test»
- Edição: Nº 1 (2024)
- Páginas: 18-33
- Seção: Materials
- URL: https://bakhtiniada.ru/2542-114X/article/view/296263
- DOI: https://doi.org/10.25686/2542-114X.2024.1.18
- EDN: https://elibrary.ru/ZWNARG
- ID: 296263
Citar
Texto integral
Resumo
Introduction. Polymer-modified binders are a common way to improve the quality of asphalt concrete and, as a result, extend the durability of highways. However, this group of materials is characterised by an important and unresolved drawback that prevents the full potential of modified binders from being realised. It is due to its ageing tendency, which inevitably causes road surfaces to deteriorate preliminarily. The use of nanomodifiers is a viable strategy to eliminate this drawback.
The aim of the research is to determine how single-walled carbon nanotubes affect the way that these binders form structurally during operational impacts (ageing).
Materials and methods. First, homogenization and dynamic viscosity were measured in order to select the optimal ratio of SBS polymer, hydrocarbon plasticizer, and single-walled carbon nanotubes for the modified binder. Next, the RTFOT method (furnace for rolling thin-film materials) and PAV (pressure vessel) were used to simulate the ageing process in a laboratory furnace. The dependences of viscoelastic characteristics on the component composition of binders were investigated. The upper and lower limits of the operating temperature range were established. Relaxation processes in nanomodified polymer-bitumen binders have been studied.
Research results. It was discovered that adding single-walled carbon nanotubes to a polymer-bitumen binder increased the melt's viscosity. This is in line with the theory that systems that are filled with dispersed particles will become more viscous as the volume concentration of the dispersed phase increases. In the concentration range under study, this phenomenon can be explained by A. Einstein's rheological linear equation. The optimal content of single-walled carbon nanotubes (0.001%), SBS polymer 3.5%, and spent hydrocarbon plasticizer 4% in the binder composition has been established, which provides improved performance of the modified binder from PG (52-22) to PG grade (64-34).
Conclusion. It has been established that single-walled carbon nanotubes have enhanced low-temperature relaxation qualities, resistance to fatigue damage, and provided a 150% increase in the durability parameter (∆Tc binder).
Palavras-chave
Texto integral
Введение
Полимерно-модифицированные вяжущие (ПМВ) представляют собой материал, состоящий из рационально подобранного соотношения нефтяного дорожного битума, стирол-бутадиен стирольного полимера и пластификатора (при необходимости) [1-3]. Дополнительно в своем составе ПМВ могут содержать поверхностно-активные вещества, противостарители, нано- и микроразмерные минеральные добавки [4-7]. Их применение направлено на улучшение качества ПМВ. Однако стоит отметить, что наряду с положительным эффектом их применение значительно усложняет систему, делает ее менее стабильной и, как следствие, более подверженной процессам расслаивания и возможному ускорению старения [8].
Для устранения существующих проблем при применении ПМВ используют различные наномодификаторы. Ранее [5] с помощью электронной микроскопии асфальтеносмолистых комплексов нами был установлен физический эффект, заключающийся в следующем: введение углеродных нанотрубок в битум приводит к увеличению дисперсности асфальтеносмолистых комплексов, в результате происходит образование структурных элементов (физических барьеров), препятствующих коагуляции асфальтеносмолистых комплексов. На основе этого знания мы предполагаем, что указанный эффект (препятствие углеродными нанотрубками коагуляции асфальтеносмолистых комплексов) будет способствовать замедлению эксплуатационного процесса старения полимерно-битумных вяжущих. Последнее, как говорилось ранее в первой, теоретической части нашего исследования [9], согласно представлениям R. N. Traxler и K. H. Gusfeldt [10, 11], основано на физических процессах, связанных с формированием надмолекулярных структур, происходящих вследствие коагуляции асфальтенов, и последующим переходом битума из структуры золь в структуру гель. Данная работа направлена на установление влияния углеродных нанотрубок на долгосрочное старение полимерно-битумного вяжущего, а также дополнение различных выводов о влиянии углеродных нанотрубок совместно с полимером SBS и углеводородным пластификатором на протекающие долгосрочные процессы старения. Это исследование призвано помочь получить представления о возможных характеристиках, возникающих при наномодифицировании полимерно-битумных вяжущих под воздействием старения в масштабе вяжущего.
Материалы и методы исследования
Исходные материалы и их характеристики. Углеродные нанотрубки – одностенные углеродные нанотрубки (ОУНТ), полученные методом термического испарения графита в присутствии Ni-Cr катализатора в электрической дуге (Arc ОУНТ), содержащего наночастицы графита длиной 20-100 нм и наночастицы металла диаметром 5 нм. Одностенные углеродные нанотрубки синтезированы в РАН (г. Черноголовка, Россия).
Пластификатор – отработанное масло индустриальное (минеральное) марки И-40А SN 300, производства ООО «Пушкинский завод», Московская обл., г. Пушкино. Отработанное индустриальное масло – это маловязкая жидкость, представляющая собой сложную смесь углеводородов парафинового, нафтенового и ароматических рядов, отвечает требованиям ГОСТ 20799-88. Свойства и требования к маслу представлены в таблице 1.
Таблица 1. Физические и химические свойства отработанного индустриального масла И-40А SN 300
Table 1. Physical and chemical properties of spent industrial oil I-40А SN 300
Свойства | Требования ГОСТ 20799-88 | Фактические значения |
Кинематическая вязкость при 40 °С, мм2/с | 61-75 | 75 |
Кислотное число мг КОН на 1 г масла, | <0,05 | 0,035 |
Зольность, %, | <0,005 | 0,004 |
Массовая доля серы в маслах из сернистых нефтей, %, | <1.1 | 0,9 |
Плотность при 20 °С, кг/м3 | <900 | 890 |
Температура вспышки, °C | ≥220 | 242 |
Полимер – стирол-бутадиенсти-рольный СБС Л 30-01А. Термоэластопласт линейный бутадиен-стирольный представляет собой продукт блоксополимеризации стирола и бутадиена в растворе углеводородов в присутствии литийорганического катализатора, опудрен стеаратом кальция или диоксидом кремния. Характеристики полимера СБС Л 30-01А соответствуют промышленному стандарту ТУ 38.40327–98 предприятия-производителя ОАО «Воронежсинтезкаучук», г. Воронеж, Россия. Основные физические и химические свойства исследуемого полимера СБС Л 30-01А представлены в таблице 2.
Таблица 2. Физические и химические свойства полимера СБС Л 30-01А
Table 2. Physical and chemical properties of polymer SBS L 30-01А
Свойства | Фактические значения | Методы исследования |
Вязкость в 5,23 % растворе толуола при 25 °С, сСт | 14±5 | ГОСТ Р 53708 /ASTM D 445 |
Массовая доля летучих веществ, % масс. | ≤ 0,8 | ГОСТ Р 54546 /ASTM D 5668 |
Массовая доля золы, % масс | ≤ 0,3 | ГОСТ Р 54545 /ASTM D 5667 |
Содержание связанного стирола, % масс. | 30±1,5 | Внутренний метод поставщика |
Условная прочность при растяжении, МПа | 15 | ГОСТ Р 54554 /ASTM D 3182 |
Модуль упругости при удлинении 300 % , МПа | 2,7 | ГОСТ Р 54554 /ASTM D 3182 |
Относительное удлинение при разрыве, % | 700 | ГОСТ Р 54554 /ASTM D 3182 |
Битум – нефтяной дорожный битум марки PG 52-22, производства ООО «ЛУКОЙЛ-Нижегороднефтеоргсинтез», г. Кстово, Россия. Битум был протестирован на соответствие требованиям российского государственного стандарта ГОСТ Р 58400.1–2019. Результаты лабораторных испытаний физико-механи-ческих свойств битума приведены в таблице 3.
Таблица 3. Физические и химические свойства битума PG 52-22
Table 3. Physical and chemical properties of bitumen PG 52-22
Наименование показателя | Требования ГОСТ Р 58400.1-2019 | Фактические значения |
Исходное битумное вяжущее | ||
Температура вспышки, °C | ≥ 230 | 249 |
Динамическая вязкость при температуре 135 °C | ≤ 3 Па·с | 0,83 |
Сдвиговая устойчивость G*/sin δ при 10 рад/с при температуре испытания 52 °C | ≥ 1 кПа | 2,03 |
Битумное вяжущее, состаренное по методу RTFOT | ||
Сдвиговая устойчивость G*/sin δ при 10 рад/с при температуре испытания 52 °C | ≥ 2,2 кПа | 2,93 |
Битумное вяжущее, состаренное по методу PAV | ||
Температура старения по PAV, °C | 90 | 90 |
Усталостная устойчивость G*·sin δ при 10 рад/с при температуре испытания 19 °C | ≤ 5000 кПа | 546 |
Низкотемпературная устойчивость: жесткость, S, при температуре -12 °C | ≤ 300 МПа | 154 |
Низкотемпературная устойчивость: параметр m, при температуре испытания -12 °C | ≥ 0,300 | 0,311 |
Методика приготовления наномодифицированного полимерно-битумного вяжущего. В ходе выполнения ряда поисковых экспериментов, включающих контроль потерь наномодифицированных дисперсных систем «пластификатор – углеродные нанотрубки» при пробоподготовке, использование различного оборудования для отвешивания компонентов, различные технологические этапы объединения компонентов полимерно-битумного вяжущего, были установлены оптимальные технологические параметры приготовления полимерно-битумных вяжущих с наномодифицированными дисперсными системами, обеспечивающие получение статистически значимых результатов (рис. 1).
Рис. 1. Схематичное изображение технологии приготовления наномодифицированного полимерно-битумного вяжущего (иллюстрация авторов)
Fig. 1. Schematic representation of the technology of preparation of nanomodified polymer-bitumen binder (prepared by the authors)
- На первом этапе предварительно готовится наномодифицированная дисперсная система «отработанный углеводородный пластификатор – углеродные нанотрубки» с помощью погружного ультразвукового диспергатора (УЗД) Vibra Cell до достижения гомогенного состояния. Предварительно было установлено, что продолжительность ультразвукового диспергирования зависит от процентного содержания углеродных нанотрубок и находится в диапазоне 2–5 мин [5]. Далее битум разогревается в емкости с герметичной крышкой до рабочей температуры 160–170 °С. Затем в емкость погружаются лопастной смеситель (ЛС) IKA и датчик контроля подвода тепла. Включается смеситель со скоростью 100–300 rpm, и медленно вводится дисперсная система «отработанный углеводородный пластификатор – углеродные нанотрубки» в течение 2-3 минут. Далее система перемешивается в течение 5-10 минут.
- На втором этапе по истечении времени в битум, содержащий наномодифицированную дисперсную систему, начинают медленно вводить полимер в течение 3–10 минут при скорости перемешивания 100 rpm. По истечении времени скорость смесителя увеличивают до 300 rpm, емкость с модифицированным полимерно-битумным вяжущим герметично закрывают с датчиком температуры для контроля подвода тепла и перемешивание ведется до достижения гомогенизации полимера в объеме
битума. - На третьем этапе при достижении гомогенизации полимера в объеме вяжущего перемешивание завершается. Наномодифицированное полимерно-битумное вяжущее помещается в сушильный шкаф при температуре 135 °С для «дозревания», что обеспечит стабилизацию структуры вяжущего. Стадия «дозревания» осуществляется в течение 1–2 часов.
Характеристики полимерного наномодифицированного вяжущего. Подбор оптимального соотношения компонентов полимерного наномодифицированного вяжущего (ПНМВ). При строительстве автомобильных дорог в центральной части Российской Федерации общепринято использовать марку модифицированного битума PG 64–34. Поэтому при подборе оптимального соотношения компонентов наномодифицированного полимерно-битумного вяжущего показатели качества данной марки являлись базовыми. Для этого были приготовлены следующие составы композиций (табл. 4).
Таблица 4. Составы модифицированных полимерно-битумно вяжущих
Table 4. Compositions of modified polymer-bitumen binders
№ состава | Компоненты наномодифицированного полимерно-битумного вяжущего, % | Гомогенизация ПНМВ | |||
Битум PG 52-16 | Отработанное масло | СБС Л 30-01А | ОУНТ | ||
1 | 100 | 4,0 | 2,5 | - | да |
2 | 100 | 4,0 | 2,5 | 0,001 | да |
3 | 100 | 4,0 | 2,5 | 0,005 | да |
4 | 100 | 4,0 | 3,5 | - | да |
5 | 100 | 4,0 | 3,5 | 0,001 | да |
6 | 100 | 4,0 | 3,5 | 0,005 | да |
7 | 100 | 4,0 | 4,5 | - | да |
8 | 100 | 4,0 | 4,5 | 0,001 | да |
9 | 100 | 4,0 | 4,5 | 0,005 | да |
10 | 100 | 4,0 | 5,5 | - | нет |
11 | 100 | 4,0 | 5,5 | 0,001 | нет |
12 | 100 | 4,0 | 5,5 | 0,005 | нет |
При подборе оптимального соотношения компонентов наномодифицированного полимерно-битумного вяжущего предварительно экспертно определили гомогенизацию (табл. 4). Для этого осуществили визуальную оценку, а также с помощью стеклянной палочки определяли наличие видимых нерастворенных частичек полимера. Образцы № 10, 11 и 12 не прошли данное испытание и в дальнейшем в работе не учитывались.
После приготовления для всех образцов модифицированных вяжущих была проведена проверка динамической вязкости с помощью ротационного вискозиметра. Если динамическая вязкость составляла менее 3 Па·с при температуре испытания 135 °C, то этот образец использовался для дальнейших исследований. Если вязкость составляла более 3 Па·с, образец не использовался в дальнейших испытаниях.
Определение влияния рецептуры на свойства модифицированного битумного вяжущего осуществляется методами, указанными в ГОСТ Р 58400.1-2019 и ГОСТ Р 58400.2–2019 (в соответствии с AASHTO M 320).
Исследование краткосрочных процессов старения, протекающих в наномодифицированных полимерно-битумных вяжущих. Высокотемпературные характеристики
- Испытание битума на динамическую вязкость проводилось для измерения его сопротивления текучести и оценки обрабатываемости. Вязкость при вращении при 135 °C определяли с помощью вискозиметра Брукфилда. При температуре 135 °C отбирали 10,5 г битума и вращали его с помощью шпинделя S27.
- Сдвиговую вязкость определяли на динамическом реометре сдвига DSR. Исследования проводились с использованием приставки – «два диска», диаметр прокладки составлял 25 мм (в соответствии с AASHTO M 320).
- Устойчивость к пластической деформации определялась по показателю, учитывающему модуль сдвига G* и фазовый угол δ – G*/sin(δ). Испытания исходного связующего и состаренного по методу RTFOT в печи проводились в соответствии с методологией, изложенной в ГОСТ Р 58400.10 (в соответствии с AASHTO T 315).
- Для установления верхнего предела диапазона рабочих температур наномодифицированного битумного вяжущего (класс PG X) была определена максимальная температура, при которой ПНМВ может сохранять необходимые свойства, в соответствии с методологией, изложенной в ГОСТ Р 58400.3–2019 (в соответствии с AASHTO R 29).
- Для изучения колееобразующих свойств полимерно-битумных вяжущих, модифицированных ОУНТ, был проведен тест MSCR на определение восстановления ползучести при многократных напряжениях (Multiple stress creep recovery) в соответствии с AASHTO T-350. Испытания проводились при двух уровнях напряжения 0,1 и 3,2 кПа. В результате теста MSCR были получены показатели ползучести Jnr (кПа-1) и процент восстановления R (%) наномодифицированных полимерно-битумных вяжущих. Для определения показателей ползучести и восстановления было применено по 10 циклов. Показатели определялись при каждом цикле нагружения. Показатель ползучести Jnr рассчитывался по формуле
, (1)
где
– величина деформации в конце фазы восстановления;
– начальное значение деформации в начале участка ползучести;
– значение уровня напряжения, используемого в цикле нагружения.
Процент восстановления R рассчитывался по формуле
, (2)
где – величина деформации в конце участка ползучести;
– номер цикла.
Исследование долгосрочных процессов старения, протекающих в наномодифицированных полимерно-битумных вяжущих. Низкотемпературные характеристики. Низкотемпературные и усталостные характеристики определялись для образцов полимерно-битумных вяжущих, состаренных по методу PAV (Pressure Aging Vessel). Старение PAV представляет собой метод старения под действием давления и температуры. Это позволяет имитировать процесс старения в течение периода эксплуатации в дорожном покрытии от 5 до 10 лет. Долгосрочное старение осуществлялось в камере под давлением 2,1 МПа в течение 20 часов при температуре 100 °С.
- Низкотемпературные характеристики были определены на реометре, изгибающим балочку (BBR), при температуре -24 °С. Модуль жесткости (S) характеризует сопротивляемость постоянным нагрузкам, а параметр m – скорость ее изменения. Битумное вяжущее будет обеспечивать устойчивость к низкотемпературному растрескиванию в том случае, если одновременно станут выполняться два условия: S ≤ 300 МПа и m ≥ 0,3 при длительности нагрузки 60 с.
- Усталостное растрескивание (когезионное растрескивание) было определено на реометре динамического сдвига (DSR) по ГОСТ Р 58400-2019 при температуре 19 °С.
- Для установления нижнего предела диапазона рабочих температур (класс PG Y) была установлена минимальная температура, при которой вяжущее, состаренное по методу PAV, может сохранять способность к релаксации напряжений в соответствии с методологией, изложенной в ГОСТ Р 58400.3–2019 (в соответствии с AASHTO R 29).
Для каждого процентного содержания полимера и углеродных нанотрубок приготовлено и протестировано не менее трех образцов. Максимальное отклонение от среднего значения не превышало 5 %.
Исследование релаксационных процессов в наномодифицированных полимерно-битумных вяжущих. В соответствии с термодинамическими представлениями любая система стремится перейти к своему равновесному состоянию с соответствующими внешними условиями. Поэтому логично предположить, что физико-химические изменения, протекающие в полимерно-битумных вяжущих в процессе эксплуатации, связаны с переходом структуры в более равновесное термодинамическое состояние.
Традиционно температура изготовления асфальтобетонных покрытий автомобильных дорог составляет 150-160 °С. Скорость охлаждения асфальтобетонной смеси до 60 °С при этом будет находиться в интервале 0,5-1,5 °С/мин. Эта скорость больше требуемой для установления равновесного состояния структуры в высоковязкой системе полимерно-битумного вяжущего при эксплуатационных температурах. Поэтому для достижения системой равновесного состояния необходимо время, которое называется временем релаксации.
В процессе эксплуатации температура битумных вяжущих постоянно меняется, что значительно усложняет протекание тепловых релаксационных процессов, а это в свою очередь способствует образованию структуры, которая отличается от той структуры, которая была сформирована после протекания релаксационных процессов при какой-либо постоянной температуре. Следствием формирования равновесных структур в полимерно-модифицированных битумах является их гетерогенизация, которая в некоторых случаях может закончиться синерезисом [12]. В процессе протекания релаксации в битумах изменяются все свойства.
Для оценки потенциала релаксации в полимерно-битумных вяжущих в данной работе использовали параметр долговечности ∆Tc. Впервые данный параметр был предложен M. Anderson [13] для исследования потери растяжимости состаренного битумного вяжущего, характеризующей взаимосвязь между свойствами битума и трещинами в асфальтобетонном покрытии, которые не связаны с нагрузкой. Данный параметр ∆Tc предлагается использовать как критерий оценки потери релаксационных свойств битумных вяжущих. Он определяется по следующей формуле [13]:
, (3)
где Tc(s) – изомодульная температура, °С;
Tc(m) – критическая температура, °С.
Изомодульная температура Tc(s) рассчитывается при условии равенства жесткости S величине 300 MПa:
, (4)
где T1 – наименьшая температура, при которой выполняются оба условия:
S ≤ 300 МПа и m ≥ 0,3, °С;
T2 – наибольшая температура, при которой выполняется одно из условий: S ≤ 300 МПа и m ≥ 0,3, °С;
S1 – жесткость, определяемая в течение 60 с при температуре Т1;
S2 – жесткость, определяемая в течение 60 с при температуре 2;
m1 – параметр m при температуре 1;
m2 – параметр m при температуре Т2.
Критическая температура Tc(m), характеризующая способность вяжущего к релаксации напряжений, рассчитывается при параметре m = 0,3 по формуле
. (5)
Величина ∆Tc ≠ 0 будет характеризовать не только долговечность, но и изменение релаксационных свойств битумного вяжущего в процессе протекания физико-химических процессов его старения. Чем больше величина ∆Tc, тем выше склонность битумного вяжущего к старению, и, как следствие, ухудшенается его релаксационная способность.
Результаты исследования
Битум – материал, чувствительный к температуре, поэтому его вязкость служит одной из важных характеристик, которая является мерой внутреннего трения, влияющей на обрабатываемость смеси. Вязкость базовых и модифицированных углеродными нанотрубками ПБВ при температуре 135 °С представлена в таблице 5.
Таблица 5. Динамическая вязкость (верх/низ) модифицированных полимерно-битумных вяжущих при 135 °С
Table 5. Dynamic viscosity (top/bottom) of modified polymer-bitumen binders at 135 °C
№ состава | Требования ГОСТ Р 58400.1–2019 (ASTM D6373) | Фактические значения |
1 | ≤ 3 Па·с | 0,99/- |
2 | ≤ 3 Па·с | 1,23/1,22 |
3 | ≤ 3 Па·с | 1,27/1,27 |
4 | ≤ 3 Па·с | 1,07/- |
5 | ≤ 3 Па·с | 1,57/1,57 |
6 | ≤ 3 Па·с | 1,59/1,59 |
7 | ≤ 3 Па·с | 1,09/- |
8 | ≤ 3 Па·с | 1,58/1,59 |
9 | ≤ 3 Па·с | 1,59/1,60 |
При введении углеродных наномодификаторов остается проблема обеспечения равномерности их распределения в объеме вяжущего. Поэтому для установления равномерности распределения ОУНТ образцы для определения вязкости брали из верхней и нижней частей.
Анализ данных таблицы 5 показывает, что используемая технология приготовления ПБВ, модифицированного ОУНТ, позволяет обеспечить равномерность распределения наномодификатора в объеме. Так, разница в динамической вязкости образцов, взятых из верхней и нижней частей, составляет не более 1 %. Установлено, что добавление углеродных нанотрубок (составы ПНМВ № 2, 3, 5, 6, 8 и 9) увеличивает вязкость битумно-полимерной основы. Увеличение вязкости объясняется закономерным влиянием дисперсной фазы, которая в исследуемом диапазоне концентрации может быть описана реологическим линейным уравнением А. Эйнштейна [14].
Компенсировать увеличение вязкости модифицированного вяжущего возможно посредством увеличения температуры приготовления, так как битум является классическим термопластическим веществом, вязкость расплава которого снижается с ростом температуры. Однако данные таблицы 5 демонстрируют, что вязкость модифицированного углеродными нанотрубками полимерно-битумного вяжущего соответствует требованиям спецификаций Superpave (ASTM D6373) и является достаточно текучей для перекачки во время работы асфальтосместительной установки.
Высокотемпературные характеристики. Тест на определение сдвиговой вязкости был использован для изучения влияния одностенных углеродных нанотрубок на характеристики полимерно-битумных вяжущих при высокой рабочей температуре. Результаты испытаний, т. е. сдвиговая устойчивость к пластической деформации, которая способствует стойкости к образованию пластических колей и соответствующие им температуры разрушения, показаны на рисунках 2 и 3.
Рис. 2. Влияние одностенных углеродных нанотрубок на сдвиговую устойчивость: а – оригинального модифицированного вяжущего; б – модифицированного вяжущего, состаренного по методу RTFOT
Fig. 2. The effect of single–walled carbon nanotubes on the shear stability of: a – the original modified binder; b – modified binder aged by the RTFOT method
Рис. 3. Влияние одностенных углеродных нанотрубок на температуру разрушения при воздействии высоких температур: а – оригинального модифицированного вяжущего; б – модифицированного вяжущего, состаренного по методу RTFOT
Fig. 3. The effect of single–walled carbon nanotubes on the fracture temperature when exposed to high temperatures: a – the original modified binder; b – modified binder aged by the RTFOT method
Сдвиговая устойчивость G*/sinδ для несостаренных образцов должна быть не менее 1,0 кПа, а для образцов, подверженных кратковременному старению по методу RTFOT, – 2,2 кПа. Данные рисунка 3a демонстрируют, что в образцах ПБВ с содержанием полимера 3,5 % введение одностенных углеродных нанотрубок в количестве 0,001 и 0,005 % (составы № 5 и № 6) позволяет улучшить сдвиговую устойчивость до 21 %. Дополнительно к этому ОУНТ дают возможность получить более прочную и стабильную структуру ПНМВ к краткосрочному процессу старения. Так, после старения по методу RTFOT сдвиговая устойчивость для этих образцов не изменилась.
Введение одностенных углеродных нанотрубок в образцы ПБВ с большим содержанием полимера 4,5 % (составы № 8 и № 9) также позволяет улучшить сдвиговую устойчивость до 15 % относительно базового состава № 7. При этом такое увеличение содержания полимера не вносит значимых изменений в сравнении с наномоди-фицированными образцами (№ 5 и № 6). На основании сказанного можно заключить, что при подборе оптимального состава наномодифицированного вяжущего не всегда большее количество полимера в совокупности с наномодификатором будут обеспечивать улучшение свойств ПБВ [15].
При подборе оптимальных модифицированных составов следует не только исходить из качественной составляющей, но и учитывать экономическую точку зрения. С позиции экономической целесообразности перспективными являются образцы ПНМВ (составы № 5 и № 6), которые продемонстрировали также высокую устойчивость к образованию пластических колей при высоких температурах (см. рис. 2). Более того, при этом улучшились эксплуатационные свойства вяжущих при высоких температурах (см. рис. 3).
Результаты испытаний показали, что эксплуатационные свойства модифицированных вяжущих при высоких температурах повысились с PG 52 до PG 64 при содержании полимера 3,5 % и ОУНТ 0,001 и 0,005 % (составы № 4, 5 и 6).
Согласно условию данной работы наномодифицированное полимерно-битумное вяжущее должно соответствовать марке PG 64-34. Проведенные исследования показали, что составы № 1, № 2 и № 3 не соответствуют этому условию.
Для дальнейшего изучения колееобразующих свойств полимерно-битумных вяжущих, модифицированных ОУНТ, был проведен тест Multiple stress creep recovery (MSCR). В таблице 6 приведены краткие результаты этого теста.
Таблица 6. Результаты испытания «Multiple stress creep recovery» (Восстановление ползучести при многократных напряжениях)
Table 6. The results of the "Multiple stress creep recovery" test (Creep recovery at multiple stresses)
№ состава | Jnr, кПа -1 | R, % | |||
0,1 кПа | 3,2 кПа | Jnr % Diff | 0,1 кПа | 3,2 кПа | |
4 | 3,247 | 3,635 | 9,5 | 0,60 | 0,26 |
5 | 1,289 | 1,388 | 9,90 | 2,90 | 0,90 |
6 | 1,275 | 1,384 | 10,20 | 2,90 | 0,90 |
7 | 2,738 | 2,914 | 7,40 | 1,30 | 0,45 |
8 | 1,265 | 1,384 | 10,20 | 2,97 | 0,96 |
9 | 1,265 | 1,384 | 10,20 | 2,97 | 0,96 |
Согласно результатам теста, представленным в таблице 6, введение одностенных углеродных нанотрубок (составы № 5, 6, 8 и № 9) значения Jnr (ползучести) как при уровне напряжения 0,1 кПа, так и при напряжении 3,2 кПа постепенно снижаются. Причем независимо от содержания ОУНТ в исследуемом диапазоне 0,001 % (№ 5 и 8) и 0,005 % (№ 6 и 9) эти образцы наномодифицированного полимерно-битумного вяжущего характеризуются наименьшим значением Jnr, что указывает на значительное улучшение устойчивости к образованию колеи. Результаты восстановления R показывают, что модифицированные одностенными углеродными нанотрубками ПБВ восстанавливаются больше, чем базовый состав ПБВ (№ 5 и 7) в циклах восстановления.
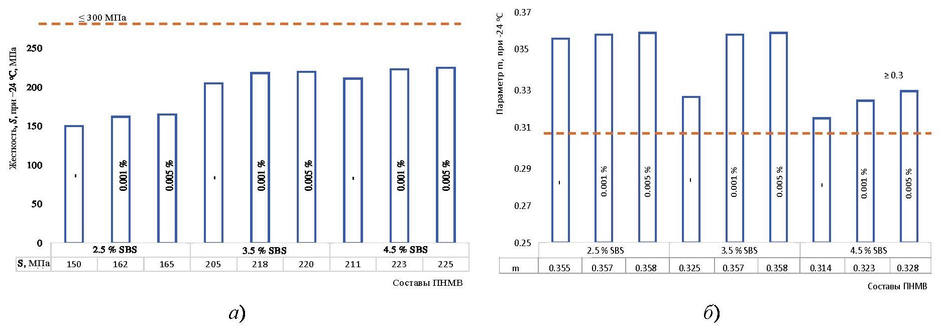
Низкотемпературные и усталостные характеристики. Низкотемпературные характеристики модифицированного одностенными углеродными нанотрубками ПБВ (значения жесткости S и параметра m) представлены на рисунке 4.
Рис. 4. Влияние одностенных углеродных нанотрубок на жесткость S (а); параметр m (ползучесть) (б) при воздействии низких температур на модифицированное вяжущее, состаренное по методу PAV
Fig. 4. The effect of single-walled carbon nanotubes on stiffness S (a); parameter m (creep) (b) when exposed to low temperatures on a modified binder aged by the PAV method
Из анализа рисунка 4а видно, что жесткость S незначительно увеличились для всех наномодифицированных вяжущих. В среднем увеличение составило не более 7 %. Это позволяет заключить, что одностенные углеродные нанотрубки в исследуемом диапазоне не ухудшают низкотемпературных характеристик вяжущего.
Параметр m характеризует способность вяжущего рассеивать накопленное напряжение, что, в свою очередь, характеризует его способность сопротивляться растрескиванию при низких температурах. Значения m также показали незначительные изменения. Наилучшие результаты характерны для составов вяжущих № 5 и 6, в данном случае при введении ОУНТ изменения составили 1 %.
Усталостные характеристики модифицированного одностенными углеродными нанотрубками ПБВ представлены на рисунке 5.
Рис. 5. Влияние одностенных углеродных нанотрубок на усталостную устойчивость (а); температуру разрушения (б) при воздействии низких температур на модифицированное вяжущее, состаренное по методу PAV
Fig. 5. The effect of single-walled carbon nanotubes on fatigue resistance (a); fracture temperature (b) when exposed to low temperatures on a modified binder aged by the PAV method
Модифицирование углеродными нанотрубками ПБВ позволяет улучшить показатель усталостной устойчивости (рис. 6а) до 47 % (состав № 5). Это свидетельствует о том, что после воздействия долгосрочного старения PAV модифицированное вяжущее способно эффективно проявлять свойства вязкоупругого материала и восстанавливаться после снятия нагрузки. Это характеризует вяжущее как систему с устойчивой к процессам долгосрочного старения полимерной сеткой, усиленной одностенными углеродными нанотрубками. Улучшились также и температурные эксплуатационные свойства модифицированных вяжущих с PG-22 до PG-34 при содержании полимера 3,5 % и ОУНТ 0,001 и 0,005 % (составы № 4, 5 и 6), что дополнительно подтверждает, что ОУНТ оказывает значительное влияние на улучшение эксплуатационных свойств при отрицательных температурах (рис. 5б).
Обобщая полученные результаты по разработке модифицированного одностенными углеродными нанотрубками ПБВ, можно заключить, что перспективными являются составы № 4 и 5.
Исследование релаксационных процессов в наномодифицированных полимерно-битумных вяжущих. Для изучения влияния одностенных углеродных нанотрубок на процессы эксплуатационного старения исследованы релаксационные процессы, протекающие в вяжущих. Для этого были рассчитаны изомодульная Tc(s) и критическая температуры Tc(m) и параметр ∆Tc, величины которых представлены в таблице 7.
Таблица 7. Влияние одностенных углеродных нанотрубок на изомодульную и критическую температуру и параметр долговечности полимерно-битумных вяжущих
Table 7. The effect of single-walled carbon nanotubes on isomodular and critical temperature and durability parameter of polymer-bitumen binders
№ состава | Параметры оценки релаксационных процессов в вяжущих | ||
Tc(s) | Tc(m) | ∆Tc | |
1 | -30,0 | -28,4 | -2,1 |
2 | -32,0 | -30,2 | -1,8 |
3 | -32,6 | -31,0 | -1,6 |
4 | -34,5 | -34,0 | -0,5 |
5 | -36,5 | -37,0 | 0,5 |
6 | -36,9 | -37,4 | 0,5 |
7 | -35,7 | -35,3 | -0,4 |
8 | 37,0 | -37,5 | 0,5 |
9 | 37,1 | -37,6 | 0,5 |
Параметр ∆Tc количественно определяет потерю релаксационных свойств по мере долгосрочного старения асфальтобетонного вяжущего. Чем ниже величина ∆Tc, тем вяжущее больше подвержено процессам старения и потере релаксации возникающих напряжений и, как следствие, растрескиванию. Модифицирование углеродными нанотрубками ПБВ позволяет улучшить параметр ∆Tc. Максимальный эффект наблюдается у образца № 4.
Полученные данные подтверждают наше предположение о том, что одностенные углеродные нанотрубки, препятствуя коагуляции асфальтеносмолистых комплексов, способствуют замедлению эксплуатационного процесса старения полимерно-битумных вяжущих, которое основано на физических процессах, связанных с формированием надмолекулярных структур вследствие коагуляции асфальтенов.
Дальнейшее увеличение содержания СБС полимера и одностенных углеродных нанотрубок не обеспечивает дополнительного улучшения свойств. Поэтому не целесообразно проводить модифицирование указанными веществами в количествах, превышающих экспериментально установленные концентрации.
Выводы
С помощью различных методов проведена всесторонняя оценка влияния одностенных углеродных нанотрубок на свойства полимерно-битумных вяжущих. Результаты показали следующее:
- Введение одностенных углеродных нанотрубок в полимерно-битумное вяжущее увеличило вязкость расплава, что согласуется с представлениями об изменении вязкости дисперсно-наполненных систем с увеличением объемной концентрации дисперсной фазы. При этом вязкость модифицированного углеродными нанотрубками полимерно-битумного вяжущего соответствует требованиям спецификаций Superpave ≤ 3 Па∙с, а значит, не требует технологических изменений при приготовлении асфальтобетонной смеси.
- Распределение ОУНТ в объеме ПБВ в соответствии с примененным методом оценки можно считать равномерным. Так, различия в значениях динамической вязкости образцов, взятых из верхней и нижней частей, отличаются не более чем на 1 %.
- Результаты испытаний ПБВ, модифицированных одностенными углеродными нанотрубками, показали улучшенные характеристики образования колей и усталости по сравнению с ПБВ при любом количестве добавленного модификатора. Однако рекомендуемое количество составляет 0,001 % ОУНТ, 3,5 % СБС полимера и 4 % отработанного индустриального масла от массы битума для обеспечения усталостной стойкости.
- Экспериментальные данные косвенно подтверждают гипотезу о влиянии одностенных углеродных нанотрубок на коагуляцию асфальтеносмолистых комплексов, заключающемся в замедлении коагуляции, что обеспечивает замедление старения полимерно-битумных вяжущих в эксплуатационный период. Указанное, в частности, следует из увеличения параметра долговечности ∆Tc на 150 %.
Требуются дополнительные исследования модифицированного одностенными углеродными нанотрубками ПБВ к растрескиванию при низких температурах в более широких температурном и временном диапазонах, а также расширение перечня битумов и видов модификаторов.
Sobre autores
Svetlana Obukhova
National Research Moscow State University of Civil Engineering
Autor responsável pela correspondência
Email: SHehovtsovaSYU@mgsu.ru
Candidate of Engineering Sciences, Associate Professor of the Department of Urban Planning. Research interests – asphalt concrete, bitumen materials, polymers, nanomodification, structure formation, thermodynamics, durability. Author of more than 140 publications.
Rússia, MoscowEvgenii Korolev
Saint Petersburg State University of Architecture and Civil Engineering
Email: korolev@nocnt.ru
Advisor of the Russian Academy of Architecture and Construction Sciences, Doctor of Engineering Sciences, Professor, Vice-Rector for Research. Research interests – building materials science, theory of structure formation, technology of new composite materials. Author of more than 600 publications.
Rússia, Saint PetersburgVitalii Gladkikh
National Research Moscow State University of Civil Engineering; Research center «MGSU Stroy-Test»
Email: gladkich_87@mail.ru
Candidate of Engineering Sciences, Director of the Research and Testing Center «MGSU STROY-TEST». Research interests – building materials science, road construction, asphalt concrete, sulfur asphalt concrete, sulfur-containing building materials. Author of more than 50 publications.
Rússia, Moscow; MoscowBibliografia
- Loos M. Carbon Nanotube Reinforced Composites: CNT Polymer Science and Technology. William Andrew, 2014. 304 р.
- Chen J.-S., Wang T. J., Lee C.-T. Evaluation of a highly modified asphalt binder for field performance. Construction and Building Materials. 2018;171:539-545. https://doi.org/10.1016/j.con buildmat.2018.03.188
- Tirupan M., Ryan S., Bahia U. H., Barmand S. Effect of cross-linking agents on the rheological properties of polymer-modified bitumen. Road Materials and Pavement Design. 2015;16(1):349-361, doi: 10.1080/14680629.2015.1029683
- Hernando D., Couscheir K., Jacobs G., Almalehy H., Omranian S. R., Vuye C., Braspenninckx J., Van den bergh W. A comparative study on the performance of field-sampled asphalt mixtures for heavy-duty pavements using laboratory testing and mechanistic-empirical simulations. Road Materials and Pavement Design. 2023;24(1):554-573. https://doi.org/10.1080/14680629.2023.2181011
- Shekhovtsova S. Yu., Korolev E. V. Formation of polymer modified binder structure in the presence of carbon nanomaterials. Construction and Building Materials. 2021;303:124591. doi: 10.1016/j.conbuildmat.2021.124591
- Aakif I. M., Giustozzi F. Effect of polymers and micro fibres on the thermo-chemical and rheological properties of polymer modified binders. Australian Journal of Civil Engineering. 2023;21(1):34-49. doi: 10.1080/14488353.2022.2067100
- Burkov V. M., Eremin V. A. Mechanical properties of carbon-fiber-reinforced epoxy composites modified by carbon micro- and nanofillers. Polymer composites. 2021;42(9):4265-4276. https://doi.org/10.1002/pc.26144
- Arifuzzaman M. Polymer nanocomposites for road construction: investigating the aging performance of polymer and carbon nanotube–modified asphalt binder. Advanced Polymer Nanocomposites. 2022:319-334. https://doi.org/10.1016/B978-0-12-824492-0.00004-0
- Obuhova S. Iu., Korolev E. V., Gladkih V. A. The effect of carbon nanomodifier on the aging processes of polymer-modified binders. Part I: Theoretical research. Bulletin of Volga State University of Technology. Series: Materials. Constructions. Technologies. 2023;(4):6-16. (In Russ.).
- Traxler R. N., Coombs C. E. The Colloidal Nature of Asphalt as Shown by its Flow Properties. J. Phys. Chem. 1936;40(9):1133–1147. https://doi.org/10.1021/j150378a005
- Gusfeldt K. H., Scott J. Factors governing Adhesion in bituminous mixes. Deutsche Shell AG, Hamburg. 1975;1:49-65; ABS. FR.; BIBL. 15
- Pechenyj B. G., Kurbatov V. L., Losev V. P. On the mechanism of bitumen aging and methods of their testing. University Science. 2019;(2):28-32. (In Russ.).
- Anderson R. M., King G., Hanson D., Blankenship P. Evaluation of the Relationship between Asphalt Binder Properties and Non-Load Related Cracking. Asphalt Paving Technology: Association of Asphalt Paving Technologists-Proceedings of the Technical Sessions. 2011;(80):615-664.
- Hodakov G. S. Rheology of suspensions. The theory of phase flow and its experimental substantiation. Rossijskij himicheskij zhurnal. 2003;47(2):33-44. (In Russ.).
- Naipeng T., Weidong H., Gengren H. Effect of aging on morphology, rheology, and chemical properties of highly polymer modified asphalt binder. Construction and Building Materials. 2021;281:122595. https://doi.org/10.1016/j.conbuildmat.2021.122595.
Arquivos suplementares






