Введение
В ходе анализа аварийных ситуаций, принятия новых конструкционных и технологических решений, разработки указаний для исправления дефектов в ответственных элементах конструкций необходимо иметь количественное представление о причинах, приводящих конструкцию к возникновению зон высокой концентрации напряжений [1; 2; 4]. Оценка напряженно-деформированного состояния в важных элементах конструкций, находящихся в существующих объективно эксплуатационных режимах и содержащих области концентрации напряжений, в общем случае вызывает затруднения. Вследствие сложности конструкционных форм и различного сопротивления материалов разрушению прибегают к широкому применению экспериментальных и численных методов и к их комбинации [414].
В настоящее время экспериментальные методы наблюдения и изучения полей у вершины трещины являются надежным и достоверным инструментом получения картины напряженно-деформированного состояния в конструкции. К наиболее современным и признанным методам относится метод корреляции цифровых изображений [15]. Тем не менее классические методы анализа механических полей, такие как метод цифровой фотоупругости, цифровой голографии и спекл-интерферометрии, остаются и ныне активно используемыми и авторитетными экспериментальными методами современной механики разрушения. Следует отметить, что поляризационно-оптические методы, такие как фотоупругость и голография, являясь традиционными экспериментальными техниками исследования полей напряжений, в последнее время переживают возрождение интереса к ним. Об этом свидетельствуют работы, появившиеся в самое последнее время и связанные с возможностью применения технологий искусственного интеллекта и машинного обучения [1621]. Исследования, посвященные методам фотоупругости и голографической интерферометрии [1421], указывают на возрождение интереса к классическим экспериментальным техникам поляризационно-оптических методов. Например, Индийский технологический институт Мадраса (IIT Madras) внедрил в коммерческую эксплуатацию четыре новейших пакета программного обеспечения в области фотоупругого анализа и моделирования (The-Art Software for Photoelastic Analysis and Simulation). Программное обеспечение находит применение в различных областях, начиная от сельского хозяйства и заканчивая передвижением живых организмов, анализом напряжений или выявлением дефектов в 3D-электронике. Новые области применения фотоупругости включают такие области, как биомедицина и традиционный анализ напряжений, включающий сложные нагрузки и граничные условия, а также в аэрокосмической, гражданской, машиностроительной и обрабатывающей промышленности. Анализ фотоупругих напряжений претерпел значительные изменения с появлением цифровых компьютеров и технологий получения изображений. До сих пор не существовало всеобъемлющей программной платформы для внедрения подобных разработок в исследовательских лабораториях и отраслях промышленности, использующих этот метод. Это первое комплексное программное обеспечение для экспериментального анализа фотоупругих напряжений. Врачи, агрономы и биологи в настоящее время все чаще обращаются к использованию фотоупругости для решения своих проблем. Они могут достоверно обрабатывать записанные изображения с помощью программного обеспечения для получения важных выводов из своих исследований. Техника фотоупругости все чаще используется в различных областях, таких как стоматология, разработка протезов в целях снижения напряжений, возникающих при эндопротезировании коленного и тазобедренного суставов, разработка формы иглы для эпидуральной инъекции, улучшение обработки материалов, таких как прецизионное формование стекла (используется в камерах мобильных телефонов), напряжения в 3D электронных устройствах, помимо ряда классических механических и аэрокосмических применений, связанных с анализом напряжений в элементах конструкций.
Авторы статьи [18] отмечают, что с момента зарождения механики разрушения способность фотоупругих методов демонстрировать ясное отражение с помощью изохроматической картины поля напряжений определила направление математического моделирования исследование поля напряжений вблизи вершины трещины посредством интерференционно-оптических методов. Оценка параметров разрушения, а именно КИН и T-напряжения, имеет первостепенное значение для прогнозирования направлений роста трещины и оценки срока службы детали. Современный метод оценки параметров разрушения использует данные фотоупругой картины полос для оценки коэффициентов многопараметрического уравнения поля напряжений путем итеративной минимизации ошибки сходимости в нелинейном смысле наименьших квадратов. Это многоступенчатый, полуавтоматический подход. В [18] используются возможности сверточных нейронных сетей, которые хорошо подходят для распознавания сложных пространственных паттернов, для полной автоматизации оценки параметров разрушения с использованием изображения изохроматической картины полос в качестве входных данных. Сеть предварительно обучается на большом объеме моделируемого набора данных, который позже может быть точно настроен для меньшего экспериментального набора данных. Такой подход помогает обойти требования к большому экспериментально помеченному набору данных, который трудно получить.
В [14] применен подход оценки КИН и номинального напряжения для пластины с трещиноподобным (эллиптическим) дефектом, основанный на рассмотрении двух слагаемых в разложении точного решения для дефекта эллиптической формы. В качестве экспериментальной основы берутся интерференционные картины полос абсолютной разности хода, полученные на основе метода голографической интерферометрии. С помощью соотношений Фавра и приближенного разложения компонент напряжений для плоского случая определяются коэффициент интенсивности напряжений и номинальное напряжение. Новизна предложенного подхода обуславливается возможностью более аккуратного и достоверного представления составляющих тензора напряжений в непосредственной близости окрестности вершины трещиноподобного дефекта. Авторы подчеркивают, что предложенное представление позволяет учесть геометрическую форму дефекта и радиус закругления вершины. Они отмечают, что вычисленные в соответствии с предлагаемым методом значения тарировочной функции в выражении для теоретического определения КИН являются более высокими по сравнению с полученными оценками по ранее применявшимся методикам, что может указывать на недооценку значения КИН при использовании ранее предложенных формул. Помимо применения более точных формул для тензора напряжений предлагаемый уточненный подход предусматривает рассмотрение номинального напряжения и КИН как независимых параметров, что в полной мере соответствует использованию двучленного разложения механических параметров у вершины дефекта. Фактически авторы прибегают к рассмотрению двучленного разложения поля напряжений. Полный учет геометрии трещины и особенностей нагружения невозможен с аналитической точки зрения, однако предложенная процедура позволяет в некоторой степени компенсировать упрощения аналитических выражений для представления тензора напряжений. Авторы показывают, что полученные оценки хорошо согласуются с результатами натурных экспериментов.
Метод голографической фотоупругости, основанный на соотношениях Фавра, связывающих оптические характеристики (порядки полос при вертикальной и горизонтальной поляризации) и механические величины (главные напряжения), позволяет получить два соотношения для главных напряжений, получаемых для вертикальной и горизонтальной поляризаций. Фавр построил интерферометр для измерения абсолютной величины отставания по фазе двух волн, поляризованных в двух направлениях. Следовательно, в рамках данного метода, в отличие от классической фотоупругости, не возникает затруднений, связанных с разделением главных напряжений. Как отмечается в [4], раздельное определение напряжений при фотоупругом моделировании задач о концентрации напряжений затрудняется высокими градиентами напряжений, затруднено определение поля изоклин. Указанных недостатков лишен метод голографической фотоупругости, основанный на анализе интерференционных картин абсолютной разности хода (АРХ).
Мотивация исследования обусловлена:
1) необходимостью аккуратной оценки напряженно-деформированного состояния вблизи острой трещины в линейно-упругой изотропной среде с помощью многопараметрического асимптотического разложения М. Уильямса с удержанием регулярных (неособых) слагаемых; апробация методов определения параметров разрушения обобщенных коэффициентов интенсивности для распространения методов на более сложные среды;
2) бурным развитием интерференционно-оптических методов механики и возможностями быстрой цифровой обработки всего ансамбля экспериментальной информации (получаемых интерференционных картин);
3) появившимися в последнее время возможностями разработки нейронных сетей для оценки полей напряжений и перемещений с использованием изображений цифровой фотоупругости, голографической интерферометрии, спекл-интерферометрии и метода корреляции цифровых изображений, необходимостью создания базы данных, основанной на экспериментальных картинах интерференционных полос, получаемых поляризационно-оптическими методами механики.
Главная задача настоящей статьи состоит в экспериментальном и численном нахождении коэффициентов разложения М. Уильямса полей перемещений и напряжений вблизи вершины трещины с помощью методов голографической интерферометрии и конечных элементов и сопоставление полученных оценок; анализ влияния высших приближений (регулярных, неособых слагаемых) на основе сравнения экспериментального и численного решений задачи для образцов идентичной геометрии и совокупности приложенной нагрузок. Для достижения поставленных целей в статье описаны использованная серия экспериментальных образцов, процедура тарировки, нацеленная на определение постоянных материала; анализ интерференционных картин, полученных для образца с центральной трещиной, экспериментальное определение обобщенных коэффициентов интенсивности напряжений (амплитудных коэффициентов регулярных слагаемых), процедура переопределенного метода, численные решения задач о нагружении пластины с горизонтальным и наклонным разрезом, найденные посредством метода конечных элементов, процедура реконструкции асимптотического ряда Макса Уильямса из результатов конечно-элементного решений. В силу указанных выше причин будем исходить из следующего:
1) метод голографической интерферометрии в механике разрушения еще не исчерпал своих возможностей;
2) современные перспективы построения искусственных интерференционных картин с помощью методов машинного обучения открывают для голографической фотоупругости новые преимущества в сравнении с другими поляризационно-оптическими методами;
3) сочетание и комбинация экспериментальных методов, позволяющих найти поля деформаций (метод корреляции цифровых изображений) и поля напряжений (методы голографической интерферометрии и цифровой фотоупругости) предоставляют исследователю новые возможности оценки картины механических полей в образце.
1. Техника эксперимента. Процедура тарировки. Определение оптических постоянных материала
Главные напряжения в исследуемой модели в рамках интерферометрического метода, основывающегося на картине линий АРХ, определяют с помощью соотношений Фавра [23]
(1.1)
по формулам
(1.2)
где оптические постоянные материала, устанавливаемые из калибровочных экспериментов, номера полос в картинах АРХ. Для определения оптических постоянных материала был использован тарировочный диск, изготовленный из органического стекла. При моделировании принята гипотеза о линейной связи между напряжениями и интерференционными полосами. С целью нахождения постоянных материала был проведен цикл экспериментов с помощью метода голографической фотоупругости, выполненной для вертикальной и горизонтальной поляризации. Интерференционные картины полос абсолютной разности хода при вертикальной и горизонтальной поляризации приведены на рис. 1.11.4 соответственно. Примем, что полосы в диске нумеруются от внешнего края диска до его центра с изменением порядка полосы абсолютной разности хода от нуля до 4 (вдоль горизонального диаметра диска). Показанные на рис. 1.11.4 изодромы использовались для определения значений постоянных материала.
На рис. 1.1, 1.2 показаны линии АРХ (изодромы) при вертикальной поляризации для нагрузок 245.16 Н, 490.33 Н, 735.5 Н, 980.66 Н и 1.471 КН соответственно.

Рис. 1.1. Интерференционные картины полос в сжимаемом вдоль диаметра диске при действии сил 245.16 Н (слева), 490.33 Н (в центре) и 735.5 Н (справа) для вертикальной поляризации
Fig. 1.1. Interference fringes in the diametrally compressed disk for 245.16 Н (left), 490.33 Н (center) and 735.5 Н (right) at the vertical polarization
Рис. 1.2. Интерференционные картины полос в сжимаемом вдоль диаметра диске при действии сил 980.66 Н (слева) и 1.471 KН (справа) для горизонтальной поляризации
Fig. 1.2. Interference fringes in the diametrally compressed disk for 980.66 Н (left) and 1.471 KН (right) at the vertical polarization
На рис. 1.3, 1.4 показаны линии АРХ (изодромы) при горизонтальной поляризации для нагрузок 245.16 Н, 490.33 Н, 735.5 Н, 980.66 Н, 1.226 КН и 1.471 КН соответственно. Следует отметить, что при использовании голографической интерферометрии (фотоупругости) имеются особенности при нумерации интерференционных полос и в литературе указываются два способа нумерации полос изодром. Подробное изложение первого способа приведено в [4]. Согласно данному подходу, полосы в диаметрально сжимаемом диске имеют отрицательные порядки, оптические постоянные в этом случае положительны (для одного из материалов значения приведены в [14]). В отличие от изохром в методе фотоупругости, номера которых имеют постоянный знак, знаки порядков изодром устанавливаются по зонам, где по абсолютной величине преобладает одно из главных напряжений [24]. В зонах модели, где преобладает растяжение, порядок изодром имеет отрицательное значение, а в зонах, где преобладает сжатие, порядок изодром имеет положительное значение. Таким образом, во втором подходе полосы в сжатом диске имеют положительную нумерацию, а в более сложных моделях порядки полос могут чередоваться. Ниже используется второй подход, когда линии АРХ получают положительную нумерацию [24].
Рис. 1.3. Интерференционные картины полос в сжимаемом вдоль диаметра диске при действии сил 245.16 Н (слева), 490.33 Н (в центре) и 735.5 Н (справа) для горизонтальной поляризации
Fig. 1.3. Interference fringes in the diametrally compressed disk for 245.16 Н (left), 490.33 Н (center) and 735.5 Н (right) at the horizontal polarization
Рис. 1.4. Интерференционные картины полос в сжимаемом вдоль диаметра диске при действии сил 980.66 Н (слева) и 1.471 KН (справа) для горизонтальной поляризации
Fig. 1.4. Interference fringes in the diametrally compressed disk for 980.66 Н (left) and 1.471 KН (right) at the horizontal polarization
Полученные изображения (рис. 1.1.1.4) использовались для нахождения оптических констант материала. Коэффициенты закона Фавра и определялись из условия минимума среднеквадратичных отклонений экспериментальных полос и теоретических полос:
(1.3)
где количество экспериментальных точек, выбранных на картинах с вертикальной и горизонтальной плоскостями поляризации соответственно, номера полос в интерферограммах с вертикальной и горизонтальной плоскостями поляризации, которым принадлежит -я точка, значения главных напряжений в -й экспериментальной точке. Значения оптических постоянных, определенных указанным методом, равны и
2. Разложение Уильямса. Определение обобщенных коэффициентов интенсивности напряжений
Асимптические представления механических величин в окрестности вершины трещины восходят к работам М. Уильямса, который сформулировал один из принципиальных результатов механики разрушения упругих сред исключительной важности, нашедшим широкое применение в теоретических исследованиях и инженерных приложениях [1]. Уильямс предложил аппроксимацию полей напряжений и смещений в виде ряда. Он нашел, что для компонент тензора напряжений, ассоциированных с непосредственной окрестностью вершины острой трещины в изотропной линейно-упругой плоскости, справедливо:
(2.1)
где введены стандартные обозначения для зависимостей компонент тензора напряжений от полярного угла которые определяются путем решения краевых задач о растяжении и поперечном сдвиге плоскости с разрезом [2528]; полярная система координат с полюсом в кончике дефекта ; масштабные (амплитудные) коэффициенты, передающие решению информацию о геометрии тела с дефектом и характере приложенной нагрузки; верхний индекс отражает способ нагружения и равен 1 для нагружения, отвечающего типу I, значение 2 типу II.
Универсальные функции отражающие зависимость напряжений от полярного угла присутствующие в формулах в (2.1), определяются равенствами [2529]
(2.2)
Асимптотические ряды для компонент вектора смещений вблизи вершины трещины имеют вид:
(2.3)
(2.4)
(2.5)
где модуль сдвига, константа плоской задачи теории упругости вычисляется по формуле для случая плоского деформированного состояния, для плоского напряженного состояния.
Геометрия образца с трещиной и величины сообщенных нагрузок не оказывают влияния ни на радиальное (описываемое степенной функцией), ни на универсальные угловые распределения составляющих напряженно-деформированного состояния перед вершиной трещины. Вся широкая разновидность граничных задач классической механики хрупкого разрушения для тел с трещиноподобными разрезами и различными совокупностями нагрузок находит свое отражение в коэффициентах асимптотического ряда М. Уильямса В полном формальном асимптотическом разложении М. Уильямса (2.1) в сумме отсекаются слагаемые, отвечающие отрицательным значениям индекса ( ) в силу конечности энергии упругой деформации внутри любого контура, охватывающего вершину дефекта. В практических инженерных приложениях в (2.1) длительное время сохранялось единственно первое слагаемое и первый амплитудный коэффициент приобрел название КИН Впоследствии была принята гипотеза о рассмотрении первых двух слагаемых ряда (2.2) и второе слагаемое ряда получило название -напряжения:
В последние двадцатьдвадцать пять лет у представителей различных ведущих мировых научных школ, занимающихся вопросами хрупкого разрушения, сформировалось устойчивое и твердое осознание обязательности сохранения в ряде Уильямса (2.1) нескольких (от трех до пятнадцати: точное число слагаемых зависит от расстояния от вершины и от требуемой точности) высших приближений регулярных (неособых) слагаемых более высокого порядка малости в сравнении с первыми двумя слагаемыми ряда Уильямса [25]. Сложившееся понимание существенности порядка десяти пятнадцати слагаемых в многопараметрическом ряде М. Уильямса оказывается особенно значимым при проведении экспериментальных исследований, нацеленных на получение механических полей у вершины трещины или надреза, ибо обработка интерференционных картин и ее реконструкция обуславливают рассмотрение многокомпонентных разложений и сохранения слагаемых высокого порядка малости. Обычно в процессе натурного эксперимента (в рамках любого интерференционно-оптического метода) ставится задача определения параметров механики хрупкого разрушения (КИН и Т-напряжений) и наложения асимптотического решения задачи (2.1), (2.3) на полученные экспериментальным образом интерференционные картины. В ходе цифровой обработки картин изолиний извлекаются искомые механические величины обобщенные коэффициенты интенсивности напряжений. При выделении точек из собрания экспериментальных изображений в рамках применения любого из поляризационно-оптических методов экспериментатор, очевидно, априори не может знать, на каком количестве слагаемых в асимптотическом представлении следует усекать ряд (в ходе эксперимента опытным путем, как правило, находится кольцо, окружающее вершину трещины, из которого собираются экспериментальные точки). В силу названной причины при проведении обработки всего ансамбля экспериментальной информации ошибки могут быть следствием недостаточного числа учитываемых членов ряда Уильямса, удерживаемых в аппроксимационном решении. Схожая проблема возникает при применении вычислительных подходов, основанных на методе конечных элементов, который в последнее время стал неотъемлемой частью исследования. Если используется конечно-элементный анализ, параметры механики разрушения (обобщенные коэффициенты интенсивности напряжений) извлекаются из результатов конечно-элементных расчетов: из полученных распределений компонент перемещений и напряжений в узлах сетки. Концепция вычислительного подхода состоит в нахождении множителей (коэффициентов) аппроксимирующего ряда Уильямса из результатов построенного численного МКЭ-решения задачи для образца с угловым вырезом или трещиной посредством переопределенного метода. Вновь неточности и ошибки в анализе могут порождаться тем, что часто усеченный ряд рассматривается и анализируется без надлежащего теоретического анализа вклада регулярных слагаемых ряда.
Поэтому многие исследователи, понимая, что количественная характеристика напряжений у вершины трещины имеет основополагающее значение в механике разрушения и потенциальное влияние членов более высокого порядка на рост и стабильность трещин, предлагают новые подходы, например, интегральный метод, основанный на сопряженных инвариантных интегралах, изучают сходимость рядов с увеличением расстояния до вершины трещины, сравнивают интегральный метод с современным методом подгонки и предоставляют результаты для членов более высокого порядка, варьируя длины трещин, приложенные внешние силы и геометрические размеры для широко используемых образцов, находящихся под действием распределенной нагрузки и сосредоточенных сил [31].
Таким образом, члены более высокого порядка асимптотического поля вершины трещины уточняют механическое описание поведения тел с трещинами. Они могут играть ключевую роль в квазихрупких материалах (таких как керамика, горные породы или композиты на цементной основе), где протяженность зоны вокруг вершины трещины с нелинейным поведением материала очень велика по сравнению с типичными размерами конструкции. Оценка членов более высокого порядка производится экспериментально и(или) численно. В настоящей работе предложена процедура, использующая голографический метод и метод конечных элементов и приводящая к надежной оценке выбранного числа старших членов.
3. Детали экспериментального исследования
В экспериментальной части работы были испытаны четыре типа образца с трещиной: с центральной горизонтальной трещиной и наклонной трещиной с тремя различными углами наклона и к вертикали. Геометрия образцов показана на рис. 3.1. Для всех образцов
Рис. 3.1. Геометрия экспериментальных образцов
Fig. 3.1. Geometry of experimental specimens
На рис. 3.23.8 показаны экспериментальные картины абсолютной разности хода (АРХ) для вертикальной и горизонтальной поляризаций в пластине с центральной сквозной трещиной. Эксперимент проводился на универсальном голографическом столе с оптической схемой, включающей источник света, оптические элементы для направления и формирования световых пучков и пресса для нагружения объекта. Картины АРХ регистрировались методом двух экспозиций по схеме голограмм сфокусированных изображений. Изодромы (АРХ) наблюдаются только при применении двойной экспозиции, то есть при записи суперпозиции нагруженного и ненагруженного состояний. Полученные картины АРХ использовались для вычисления обобщенных КИН. Центральная задача состояла в вычислении коэффициентов слагаемых более высокого порядка малости в сравнении с первыми двумя традиционно сохраняемыми в разложениях полей напряжений, перемещений и деформаций. В эксперименте были получены следующие интерференционные картины.
На рис. 3.2 приведены линии абсолютной разности хода в пластине с горизонтальной трещиной для нагрузок , и при вертикальной и для при горизонтальной поляризации.
Рис. 3.2. Картины линий абсолютной разности хода в пластине с горизонтальным разрезом для и при вертикальной поляризации и для при горизонтальной поляризации
Fig. 3.2. Interference patterns of absolute retardation fringes obtained by the holography method in the plate weakened by the horizontal crack for and at vertical polarization and for at the horizontal polarization
На рис. 3.3 приведены линии абсолютной разности хода в пластине с наклонной под углом трещиной к вертикали при вертикальной поляризации для нагрузок и
Рис. 3.3. Картины линий абсолютной разности хода для 50H, 100H и 150H при вертикальной поляризации в пластине с наклонной трещиной под углом 60° к вертикали
Fig. 3.3. Interference patterns of absolute retardation fringes using holography for 50H, 100H and 150H at vertical polarization for the plate weakened by the inclined crack at 60°
На рис. 3.4 приведены линии абсолютной разности хода в пластине с наклонной под углом трещиной к вертикали при горизонтальной поляризации для нагрузок и
Рис. 3.4. Картины линий абсолютной разности хода для и при вертикальной поляризации в пластине с наклонной трещиной под углом к вертикали Fig. 3.4. Interference patterns of absolute retardation fringes using holography for and at the horizontal polarization for the plate weakened by the inclined crack at
На рис. 3.5. приведены линии абсолютной разности хода в пластине с наклонной под углом трещиной к вертикали при вертикальной поляризации для нагрузок и
Рис. 3.5. Картины линий абсолютной разности хода для и при вертикальной поляризации в пластине с наклонной под углом трещиной к вертикали
Fig. 3.5. Interference patterns of absolute retardation fringes using holography for and at the horizontal polarization for the plate weakened by the inclined crack at
В данном случае знак минус в означает, что в эксперименте снималась нагрузка, равная На рис. 3.6 приведены линии абсолютной разности хода в пластине с наклонной под углом трещиной к вертикали при горизонтальной поляризации для нагрузок и
Рис. 3.6. Картины линий абсолютной разности хода для и при вертикальной поляризации и для при горизонтальной поляризации
Fig. 3.6. Interference patterns of absolute retardation fringes using holography for and at the horizontal polarization for the plate weakened bythe inclined crack at
На рис. 3.7 приведены линии абсолютной разности хода в пластине с наклонной под углом трещиной к вертикали при вертикальной поляризации для нагрузок и
Рис. 3.7. Картины линий абсолютной разности хода для и при вертикальной поляризации в пластине с наклонной под углом трещиной к вертикали
Fig. 3.7. Interference patterns of absolute retardation fringes using holography for and at the vertical polarization for the plate weakened by the inclined crack at
На рис. 3.8 приведены линии абсолютной разности хода в пластине с наклонной под углом трещиной к вертикали при горизонтальной поляризации для нагрузок и
Рис. 3.8. Картины линий абсолютной разности хода для и при горизонтальной поляризации в пластине с наклонной под углом трещиной к вертикали
Fig. 3.8. Interference patterns of absolute retardation fringes using holography for and at the horizontal polarization for the plate weakened by the inclined crack at
4. Цифровая обработка изображений
В настоящее время отсутствует необходимость ручной обработки полученных интерференционных картин, поскольку развитие компьютерных технологий позволило проводить обработку картин автоматически. Можно перечислить несколько приложений, осуществляющих обработку экспериментальных результатов, обретаемых с помощью интерференционно-оптических методов. Fringe XP это простая в использовании программа для анализа границ для любителя. С его помощью можно загружать интерферограммы, вводить и редактировать граничные точки, а также анализировать работу оптической системы. Он обладает возможностью автоматической трассировки и может усреднять несколько наборов коэффициентов Цернике по результатам отдельных анализов интерферограмм. Можно выделить такие программы, как Quick Fringe, OpenFringe Interferogram mirrow analysis, AtmosFRINGE. Последняя программа это мощное программное обеспечение для анализа интерферограмм, используемое для извлечения количественных измерений волнового фронта из лазерной интерферограммы.
Для автоматического определения точек, принадлежащих изодроме, с наименьшей освещенностью было разработано программное обеспечение, позволяющие сохранить в текстовом файле номер полосы и координаты точки. Результаты работы данной программы представлены на рис. 4.1, 4.2.
Рис. 4.1. Результаты цифровой обработки картин линий абсолютной разности хода: картин линий абсолютной разности хода в пластине с трещиной под углом при вертикальной поляризации для нагрузок и
Fig. 4.1. Digital image processing of the interference patterns of absolute retardation fringes in the plate weakened by the inclined crack at for the vertical polarization for loadings and
Рис. 4.2. Результаты цифровой обработки картин линий абсолютной разности хода: картин линий абсолютной разности хода в пластине с трещиной под углом при горизонтальной поляризации (нагружение и )
Fig. 4.2. Digital image processing of the interference patterns of absolute retardation fringes in the plate weakened by the inclined crack at for the horizontal polarization for loading and
5. Техника переопределенного метода
При использовании метода голографической фотоупругости имеются два уравнения, связывающих механические (главные напряжения) и оптические величины (номера изодром, оптические материальные константы):
(5.1)
(5.2)
или
(5.3)
(5.4)
Систему уравнений (5.4) можно представить в более компактной форме
(5.5)
(5.6)
Из интерференционных картин изодром, полученных при горизонтальной и вертикальной поляризациях, можно выбрать и экспериментальных точек, принадлежащих изодромам. Поэтому в общем случае может быть сформулирована система нелинейных алгебраических уравнений (АУ) относительно обобщенных коэффициентов и
(5.7)
(5.8)
Далее в соответствии с техникой переопределенного метода введенные в рассмотрение функции раскладываются в ряд Тейлора в окрестности выбранного нулевого приближения масштабных множителей и сохраняются линейные относительно разностей и поправки к значениям масштабных множителей, полученные на итерации:
(5.9)
где частные производные могут быть легко вычислены по формулам (5.10) (5.11)
(5.12)
(5.13)
Нулевым приближением для обобщенных коэффициентов ряда Уильямса служило точное аналитическое решение для деформирования бесконечной упругой плоскости с центральным разрезом [29]. Описанная итерационная процедура позволяет получить решение существенно переопределенной системы уравнений. Сначала данная схема была апробирована на примере результатов интерференционно-оптических экспериментов для пластины с центральной горизонтальной трещиной. Выход из итерационной процедуры осуществляется при выполнении условия
(5.14)
где наперед заданная точность. В проведенных расчетах полагалось, что Показано, что для получения решения достаточно 8-10 итераций. Результаты вычислений сведены в табл. 5.1.
Таблица 5.1. Амплитудные множители ряда М. Уильямса для пластины с горизонтальной трещиной, вычисленные с помощью метода голографической интерферометрии
Table 5.1. Amplitude factors of the M. Williams series for a plate with a horizontal crack calculated using the holographic interferometry method
Масштабный множитель | Значение |
| |
| |
| |
| |
| |
| |
| |
| |
| |
Результаты вычислений для трещины, составляющей угол с вертикалью, сведены в в табл. 5.2.
Таблица 5.2. Амплитудные множители ряда М. Уильямса для пластины с трещиной, составляющей угол с вертикальной осью, вычисленные с помощью метода голографической фотоупругости
Table 5.2. Amplitude factors of the M. Williams series for a plate with a crack making an angle of with the vertical axis, calculated using the holographic photoelasticity method
Масштабный множитель | Значение | Масштабный множитель | Значение |
| | | |
| | | 0 |
| | | |
| | | |
| | | |
| | | |
| | | |
| | | |
| | | |
| | | |
| | | |
| | | |
| | | |
| | | |
| | | |
Результаты работы итерационной процедуры представлены в табл. 5.3, в которой приведены полученные обобщенные коэффициенты ряда Уильямса для пластины с центральной наклонной под углом трещиной.
Таблица 5.3. Амплитудные множители поля напряжений для пластины с трещиной, составляющей угол с вертикальной осью, вычисленные с помощью метода голографической интерферометрии
Table 5.3. Stress field amplitude factors for a plate with a crack making an angle of with the vertical axis, calculated using the holographic interferometry method
Масштабный множитель | Значение | Масштабный множитель | Значение |
| | | |
| | | 0 |
| | | |
| | | |
| | | |
| | | |
| | | |
| | | |
| | | |
| | | |
| | | |
| | | |
| | | |
| | | |
| | | |
Результаты вычислений, проведенных с помощью переопределенного метода, для пластины, ослабленной трещиной, наклоненной под углом к вертикальной оси, сведены в табл. 5.4.
Таблица 5.4. Амплитудные множители ряда Макса Уильямса, описывающего поле напряжений у вершины наклонной под углом к вертикали трещины, вычисленные с помощью метода голографической интерферометрии
Table 5.4. Amplitude factors of the Max Williams series describing the stress field at the crack tip inclined at an angle of to the crack vertical, calculated using the holographic interferometry method
Масштабные множители | Значение | Масштабные множители | Значение |
| | | |
| | | 0 |
| | | |
| | | |
| | | |
| | | |
| | | |
| | | |
| | | |
| | | |
| | | |
| | | |
| | | |
| | | |
| | | |
6. Конечно-элементное имитационное моделирование нагружения пластины с центральной трещиной
Наряду с методом голографической интерферометрии для повышения точности и надежности измерений и их обработки была проведена последовательность конечно-элементных расчетов, направленных на восстановление множителей ряда М. Уильямса из численных значений полей вблизи острия трещины. Для восстановления поля напряжений был использован переопределенный метод, описанный в целой серии работ [24; 31; 32] и ставший широко используемым и высоконадежным алгоритмом вычисления амплитудных множителей разложения М. Уильямса.
Конечно-элементный анализ был проведен в многоцелевом расчетном комплексе SIMULIA Abaqus. В ходе моделирования были построены конечно-элементные модели пластины с горизонтальной и наклонной под разными углами к вертикальной оси трещинами. Были использованы геометрические размеры образцов, идентичные ранее испытанным в рамках натурного эксперимента (рис. 3.1). Острая трещина создавалась методом Contour integral с введением сингулярных конечных элементов (эффекты затупления трещины не рассматривались). Окружности, охватывающие вершину трещины, разбивались на 72 сектора. Число конечных элементов менялось от 15 950 до 24 980. На рис. 6.1 слева приведено типичное разбиение окрестности дефекта, содержащее сингулярные конечные элементы. На рис. 6.1 справа запечатлено типичное распределение интенсивности касательных напряжений в пластине с центральной горизонтальной трещиной с геометрическими параметрами, полностью соответствующими эксперименту, проведенному посредством метода голографической интерферометрии.
Рис. 6.1. Типичная сетка, включающая сингулярные конечные элементы, вводимая в окрестности вершины трещины, и полученное в ходе конечно-элементного анализа распределение напряжений
Fig. 6.1. Mesh patterns of the specimens tested: typical mesh including singular elements and surrounding the crack tip and the von Mises distribution in the cracked plate obtained by FEA (finite element analysis)
На рис. 6.2 приведены результаты конечно-элементного моделирования для пластины с наклонной под углом к вертикали. На рис. 6.2 слева изображено типичное конечно-элементное разбиение области, охватывающей вершину наклонной трещиной. На рис. 6.2 справа приведена полученная картина интенсивности касательных напряжений в пластине, ослабленной наклонной под углом трещиной.
Рис. 6.2. Типичная сетка, включающая сингулярные конечные элементы, вводимая в окрестности вершины наклонной трещины, и полученное в ходе конечно-элементного анализа распределение напряжений у вершины наклонной трещины Fig. 6.2. Typical mesh including singular elements and surrounding the crack tip and the von Mises distribution in the cracked plate obtained by FEA
Расчет масштабных множителей осуществлялся переопределенным методом, для реализации которого выбирались точки (узлы сетки) и полученные значения напряжений в узловых точках. Ранее было показано [35], что расчет, основанный на имеющихся компонентах тензора напряжений, приводит к значениям масштабных множителей, совпадающим с точными аналитическими значениями для тех конфигурация тел с трещинами, для которых возможно построить точные решения.
Точки выбирались из концентрических окружностей, охватывающих вершину трещины (рис. 6.3). Вдоль каждой окружности имеется возможность выбрать 73 точки, в каждой из которых известны значения компонент тензора напряжений. Для плоской модели использовались значения компонент и Таким образом, каждый путь приводит к 219 АУ относительно масштабных множителей.
Рис. 6.3. Путь, охватывыающий вершину трещины
Fig. 6.3. The path surrounding the crack tip
Решение Уильямса (2.2) для напряжений может быть представлено в матричной форме
(6.1)
где вектор-строка, содержащая значения компонент тензора напряжений, полученные в результате решения задачи методом конечных элементов, матрица, включающая угловые и радиальные распределения напряжений, диктуемые решением Уильямса, вектор-столбец из неизвестных обобщенных коэффициентов. Сформулированная система линейных АУ содержит, в общем случае, существенно больше уравнений, чем число неизвестных, и, следовательно, является переопределенной. Можно получить решение сформулированной переопределенной системы в замкнутой форме
(6.2)
где транспонированная к матрица, псевдообратная матрица к
Альтернативным подходом вычисления обобщенных коэффициентов является введение в рассмотрение целевой функции
(6.3)
В этом случае задача сводится к отысканию минимума квадратичной функции (6.2) коэффициентов. В настоящем исследовании реализованы оба подхода.
Результаты вычислений для пластины с горизонтальной трещиной сведены в табл. 6.1.
Таблица 6.1. Амплитудные множители ряда М. Уильямса для пластины с горизонтальной трещиной, вычисленные с помощью конечно-элементного анализа
Table 6.1. Amplitude factors of the M. Williams series for a plate with a horizontal crack calculated using finite element analysis
Масштабные множители | Значение |
| |
| |
| |
| |
| |
| |
| |
| |
| |
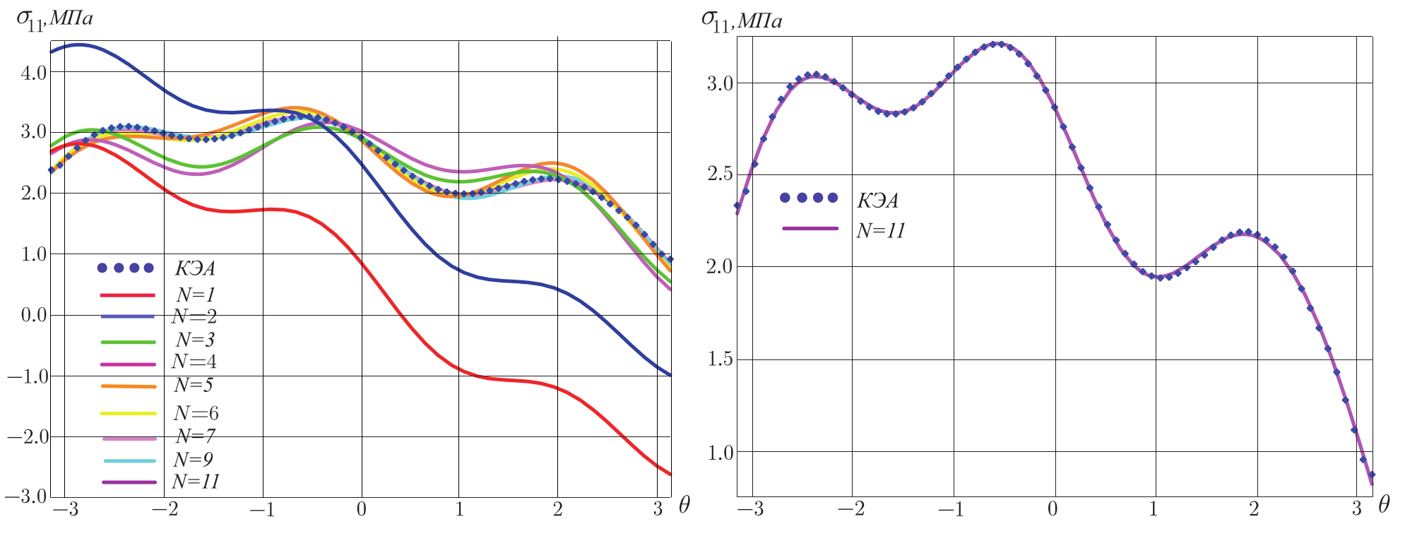
На рис. 6.4 слева показаны кривые, отражающие зависимость от полярного угла компоненты тензора напряжений на расстоянии 8.82 мм от острия трещины, полученные посредством асимптотического разложения М. Уильямса, в котором сохранено различное количество слагаемых. Кривые показаны различными цветами, синими точками показано угловое распределение напряжений, построенное с помощью конечно-элементного анализа. На рис. 6.4 справа показано конечно-элементное решение и одиннадцатичленное асимптотическое представление поля напряжений Из рисунков видно, что угловые распределения напряжений, построенные с помощью -параметрического разложения, где визуально разнятся от численного решения, найденного методом конечных элементов. Из рис. 6.4 справа явствует, что одиннадцатичленное разложение полностью восстанавливает численное распределение компоненты тензора напряжений полученное методом конечных элементов и процедурой переопределенного метода. Таким образом, на расстоянии 8.82 мм от вершины трещины для визуального совпадения угловых распределений требуется сохранение одиннадцати слагаемых ряда.
Рис. 6.4. Зависимости компоненты тензора напряжений от полярного угла выстроенные с помощью асимптотического представления Уильямса, содержащего различное количество слагаемых (слева), и сравнение конечно-элементного решения с одиннадцатичленным асимптотическим разложением Уильямса (справа) Fig. 6.4. -dependences of the stress component obtained by different number of terms in the asymptotic expansion (left) and the comparison of the eleven-term asymptotic Williams series expansion and the finite element solution (right)
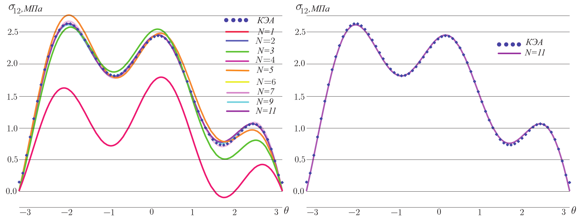
Родственную картину можно видеть для оставшихся компонент тензора напряжений и На рис. 6.5 показаны -зависимости компоненты от угла на расстоянии 8.82 мм от вершины трещины, образованные с помощью многочленных разложений М. Уильямса поля напряжений, ассоциированного с вершиной трещины. Из рис. 6.5 очевидно, что главного члена асимптотического разложения для целостного представления поля напряжений недостаточно. Следует прибегать к удержанию слагаемых более высокого порядка. В случае касательного напряжения 6.5 двучленное разложение совпадает с одночленным разложением, поэтому необходимо рассматривать трехчленное разложение и разложения, содержащие слагаемые более высоких порядков по сравнению с главным. Анализ полученных кривых показывает, что на расстоянии 8.82 мм только одиннадцатичленное разложение полностью восстанавливает численное решение.
Рис. 6.5. Зависимости от полярного угла компоненты тензора напряжений полученные с помощью асимптотического представления Уильямса, содержащего различное количество слагаемых (слева), и сравнение конечно-элементного решения с одиннадцатичленным асимптотическим разложением Уильямса (справа) Fig. 6.5. Circumferential dependence of the stress tensor component obtained by different number of terms in the asymptotic expansion (left) and the comparison of the eleven-term asymptotic Williams series expansion and the finite element solution (right)
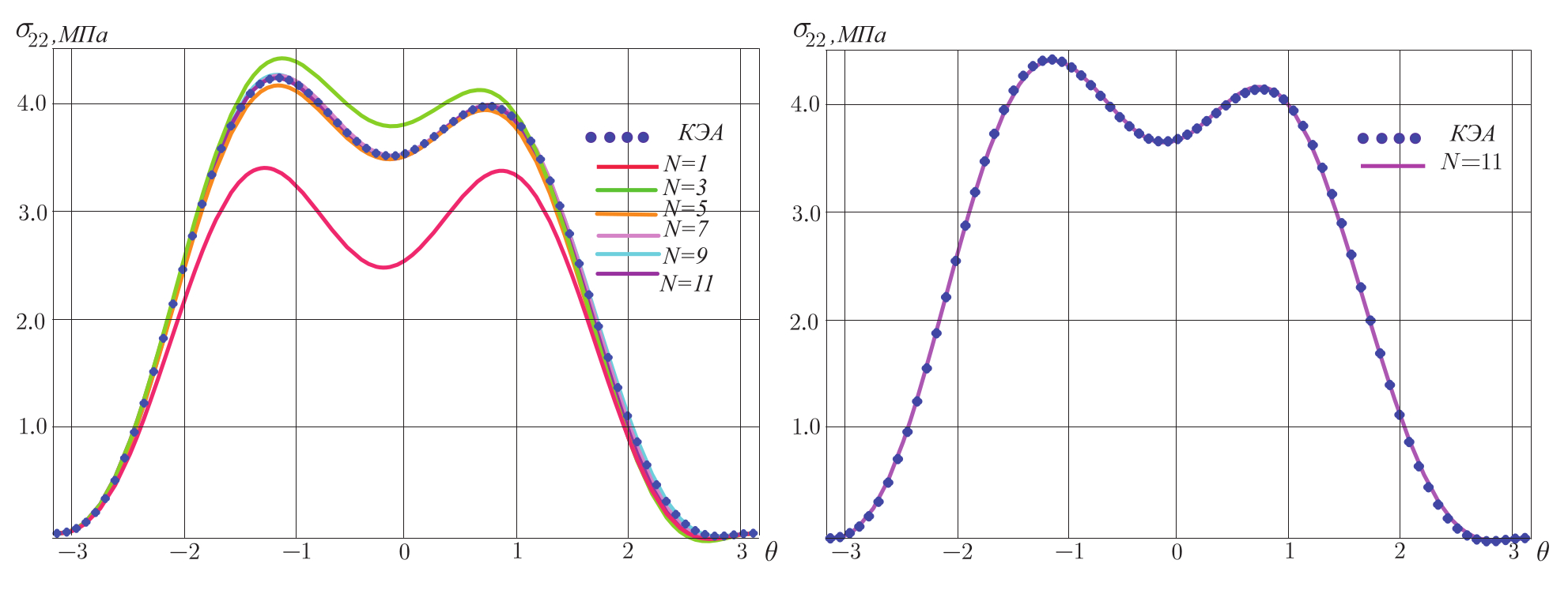
На рис. 6.6 приведены зависимости компоненты от угла на расстоянии 8.82 мм от острия трещины, выстроенные на основании мультипараметрических разложений М. Уильямса поля напряжений, ассоциированного с вершиной трещины. Рисунок 6.6 четко демонстрирует, что одно-, трех- и пятичленные разложения не совпадают с конечно-элементным решением, тогда как сохранение высших приближений приводит к совпадению аналитического и численного представлений компоненты тензора напряжений.
Рис. 6.6. Зависимости от полярного угла компоненты тензора напряжений полученные с помощью асимптотического представления Уильямса, содержащего различное количество слагаемых (слева), и сравнение конечно-элементного решения с одиннадцатичленным асимптотическим разложением Уильямса (справа) Fig. 6.6. Circumferential dependence of the stress tensor component obtained by different number of terms in the asymptotic expansion (left) and the comparison of the eleven-term asymptotic Williams series expansion and the finite element solution (right)
Результаты вычислений для трещины, составляющей угол с вертикалью, сведены в табл. 6.2.
Таблица 6.2. Амплитудные множители ряда М. Уильямса для пластины с трещиной, составляющей угол с вертикальной осью, вычисленные с помощью конечно-элементного анализа
Table 6.2. Amplitude factors of the M. Williams series for a plate with a crack making an angle of with the vertical axis, calculated using finite element analysis
Масштабные множители | Значение | Масштабные множители | Значение |
| | | |
| | | 0 |
| | | |
| | | |
| | | |
| | | |
| | | |
| | | |
| | | |
| | | |
| | | |
| | | |
| | | |
| | | |
| | | |
На рис. 6.7 слева продемонстрированы -распределения компоненты тензора напряжений на расстоянии 7.14 мм от устья трещины, полученные посредством асимптотического разложения М. Уильямса, в котором сохранено различное количество слагаемых. Сплошными линиями показаны угловые распределения напряжений, построенные с удержанием различного числа слагаемых в разложении Уильямса, точками показано угловое распределение, построенное с помощью конечно-элементного решения. На рис. 6.7 справа показано конечно-элементное решение и одиннадцатичленное асимптотическое представление поля напряжений Из рисунков видно, что угловые распределения напряжений, построенные с помощью -параметрического разложения, где визуально не соответствуют конечно-элементному расчету. Из рис. 6.7 справа явствует, что одинадцатичленное разложение полностью восстанавливает численное распределение компоненты тензора напряжений полученное методом конечных элементов и процедурой переопределенного метода. Следоватаельно, на расстоянии 7.14 мм от вершины трещины для визуального совпадения угловых распределений требуется сохранение одиннадцати слагаемых ряда.
Рис. 6.7. Зависимости от полярного угла компоненты тензора напряжений полученные с помощью асимптотического представления Уильямса, содержащего различное количество слагаемых (слева), и сравнение конечно-элементного решения с одиннадцатичленным асимптотическим разложением Уильямса (справа) Fig. 6.7. Circumferential dependence of the stress tensor component obtained by different number of terms in the asymptotic expansion (left) and the comparison of the eleven-term asymptotic Williams series expansion and the finite element solution (right)
Схожая картина может наблюдаться для компонент тензора напряжений и На рис. 6.8 приведены зависимости компоненты от угла на расстоянии 7.14 мм от кончика трещины, выстроенные с помощью многочленных разложений М. Уильямса поля напряжений, ассоциированного с вершиной трещины. Из рис. 6.8 очевидно, что главного члена асимптотического разложения для целостного представления поля напряжений недостаточно. Следует прибегать к удержанию слагаемых более высокого порядка. В случае касательного напряжения 6.8 двучленное разложение совпадает с одночленным разложением, поэтому необходимо рассматривать трехчленное разложение и разложения, содержащие слагаемые более высоких порядков по сравнению с главным. Анализ полученных кривых показывает, что только одиннадцатичленное разложение полностью восстанавливает численное решение.
Рис. 6.8. Зависимости от полярного угла компоненты тензора напряжений полученные с помощью асимптотического представления Уильямса, содержащего различное количество слагаемых (слева), и сравнение конечно-элементного решения с одиннадцатичленным асимптотическим разложением Уильямса (справа) Fig. 6.8. Circumferential dependence of the stress tensor component obtained by different number of terms in the asymptotic expansion (left) and the comparison of the eleven-term asymptotic Williams series expansion and the finite element solution (right)
Рисунок 6.9 показывает зависимости компоненты от угла на расстоянии 7.14 мм от кончика трещины, выстроенные при помощи многопараметрических разложений М. Уильямса поля напряжений, ассоциированного с вершиной трещины. Рисунок 6.9 четко демонстрирует, что одно-, трех- и пятичленные разложения не совпадают с конечно-элементным решением, тогда как сохранение высших приближений приводит к совпадению аналитического и численного представлений компоненты тензора напряжений.
Рис. 6.9. Зависимости от полярного угла компоненты тензора напряжений полученные с помощью асимптотического представления Уильямса, содержащего различное количество слагаемых (слева), и сравнение конечно-элементного решения с одиннадцатичленным асимптотическим разложением Уильямса (справа) Fig. 6.9. Circumferential dependence of the stress tensor component obtained by different number of terms in the asymptotic expansion (left) and the comparison of the eleven-term asymptotic Williams series expansion and the finite element solution (right)
Результаты вычислений, проведенных с помощью переопределенного метода, для пластины, ослабленной трещиной, наклоненной под углом к вертикальной оси, сведены в табл. 6.3.
Таблица 6.3. Амплитудные множители поля напряжений для пластины с трещиной, составляющей угол с вертикальной осью, вычисленные с помощью конечно-элементного анализа
Table 6.3. Amplitude factors of the stress field for a plate with a crack making an angle of угол with the vertical axis, calculated using finite element analysis
Масштабные множители | Значение | Масштабные множители | Значение |
| | | |
| | | 0 |
| | | |
| | | |
| | | |
| | | |
| | | |
| | | |
| | | |
| | | |
| | | |
| | | |
| | | |
| | | |
| | | |
На рис. 6.10 слева показаны угловые распределения составляющей тензора напряжений на расстоянии 6.48 мм от вершины трещины, полученные посредством асимптотического разложения М. Уильямса, в котором сохранено различное количество слагаемых. Сплошными линиями изображено приближенное решение с сохранением различного числа слагаемых, точками показано угловое распределение напряжений, построенное с помощью конечно-элементного анализа. На рис. 6.7 справа показано конечно-элементное решение и одиннадцатичленное асимптотическое представление поля напряжений Из рисунков видно, что угловые распределения напряжений, построенные с помощью -параметрического разложения, где визуально имеют отличия от конечно-элементного расчета. Из рис. 6.7 справа явствует, что одиннадцатичленное разложение полностью восстанавливает численное распределение компоненты тензора напряжений полученное методом конечных элементов и процедурой переопределенного метода. Таким образом, на расстоянии 6.48 мм от вершины трещины для визуального совпадения угловых распределений требуется сохранение одиннадцати слагаемых ряда.
Рис. 6.10. Зависимости от полярного угла компоненты тензора напряжений полученные с помощью асимптотического представления Уильямса, содержащего различное количество слагаемых (слева), и сравнение конечно-элементного решения с одиннадцатичленным асимптотическим разложением Уильямса (справа)
Fig. 6.10. Circumferential dependence of the stress tensor component obtained by different number of terms in the asymptotic expansion (left) and the comparison of the eleven-term asymptotic Williams series expansion and the finite element solution (right)
Подобную картину можно наблюдать для компонент тензора напряжений и Зависимости компоненты от угла на расстоянии 6.48 мм от острия трещины, выстроенные при помощи многочленных разложений М. Уильямса поля напряжений, ассоциированного с вершиной трещины, приведены на рис. 6.11, из которого очевидно, что главного члена асимптотического разложения для целостного представления поля напряжений недостаточно. Следует прибегать к удержанию слагаемых более высокого порядка. В случае касательного напряжения (рис. 6.11) двучленное разложение совпадает с одночленным разложением, поэтому необходимо рассматривать трехчленное разложение и разложения, содержащие слагаемые более высоких порядков по сравнению с главным. Анализ полученных кривых показывает, что только одиннадцатичленное разложение полностью восстанавливает численное решение.
Рис. 6.11. Зависимости от полярного угла компоненты тензора напряжений полученные с помощью асимптотического представления Уильямса, содержащего различное количество слагаемых, и сравнение конечно-элементного решения с одиннадцатичленным асимптотическим разложением Уильямса (справа) Fig. 6.11. Circumferential dependence of the stress tensor component obtained by different number of terms in the asymptotic expansion (left) and the comparison of the eleven-term asymptotic Williams series expansion and the finite element solution (right)
На рис. 6.12 приведены зависимости компоненты от угла на расстоянии 6.48 мм от устья трещины, выстроенные при помощи мультипараметрических разложений М. Уильямса поля напряжений, ассоциированного с вершиной трещины. Рисунок 6.12 четко демонстрирует, что одно-, трех- и пятичленные разложения не совпадают с конечно-элементным решением, тогда как сохранение высших приближений приводит к совпадению аналитического и численного представлений компненты тензора напряжений.
Рис. 6.12. Зависимости от полярного угла компоненты тензора напряжений полученные с помощью асимптотического представления Уильямса, содержащего различное количество слагаемых, и сравнение конечно-элементного решения с одиннадцатичленным асимптотическим разложением Уильямса (справа) Fig. 6.12. Circumferential dependence of the stress tensor component obtained by different number of terms in the asymptotic expansion (left) and the comparison of the eleven-term asymptotic Williams series expansion and the finite element solution (right)
Результаты вычислений, проведенных с помощью переопределенного метода, пластины, ослабленной трещиной, наклоненной под углом к вертикальной оси, сведены в табл. 6.4.
Таблица 6.4. Амплитудные множители ряда Макса Уильямса, описывающего поле напряжений у вершины наклонной под углом к вертикали трещины, вычисленные с помощью конечно-элементного анализа и переопределенного метода
Table 6.4. Amplitude factors of the Max-Williams series describing the stress field at the vertex of a vertical crack calculated using finite element analysis and an overridden method
Масштабные множители | Значение | Масштабные множители | Значение |
| | | |
| | | 0 |
| | | |
| | | |
| | | |
| | | |
| | | |
| | | |
| | | |
| | | |
| | | |
| | | |
| | | |
| | | |
Рисунок 6.13 слева показывает угловые распределения составляющей тензора напряжений на расстоянии 7.9 мм от острия трещины, выстроенные при помощи асимптотического ряда М. Уильямса, в котором сохранено различное количество слагаемых. Сплошными линиями изображено приближенное асимптотическое решение, точками показано угловое распределение напряжений, построенное с помощью конечно-элементного анализа. На рис. 6.13 справа показано конечно-элементное решение и одиннадцатичленное асимптотическое представление поля напряжений Из рисунков видно, что угловые распределения напряжений, построенные с помощью -параметрического разложения, где визуально расходятся с конечно-элементным расчетом. Из рис. 6.13 справа явствует, что одинадцатичленное разложение полностью восстанавливает численное распределение компоненты тензора напряжений полученное методом конечных элементов и процедурой переопределенного метода. Таким образом, на расстоянии 7.9 мм от вершины трещины для визуального совпадения угловых распределений требуется сохранение одиннадцати слагаемых ряда.
Рис. 6.13. Зависимости от полярного угла компоненты тензора напряжений полученные с помощью асимптотического представления Уильямса, содержащего различное количество слагаемых (для трещины, наклоненной под углом ) к вертикали, и сравнение конечно-элементного решения с одиннадцатичленным асимптотическим разложением Уильямса (справа) Fig. 6.13. dependence of the stress tensor component obtained by different number of terms in the asymptotic expansion (left) and the comparison of the eleven-term asymptotic Williams series expansion and the finite element solution (right)
Подобное свойство обнаруживается для компонент тензора напряжений и На рис. 6.14 экспонированы зависимости компоненты от угла на расстоянии 7.9 мм от вершины трещины, построенные с помощью многочленных разложений М. Уильямса поля напряжений, ассоциированного с вершиной трещины. Из рис. 6.14 очевидно, что главного члена асимптотического разложения для целостного представления поля напряжений недостаточно. Следует прибегать к удержанию слагаемых более высокого порядка. В случае касательного напряжения, изображенного на рис. 6.14, двучленное разложение совпадает с одночленным разложением, поэтому необходимо рассматривать трехчленное разложение и разложения, содержащие слагаемые более высоких порядков по сравнению с главным. Анализ полученных кривых показывает, что только одиннадцатичленное разложение полностью реконструирует численное решение.
Рис. 6.14. Зависимости компоненты тензора напряжений от полярного угла найденные с помощью асимптотического представления Уильямса, содержащего различное количество слагаемых, и сравнение конечно-элементного решения с одиннадцатичленным асимптотическим разложением Уильямса (справа) Fig. 6.14. dependence of the stress tensor component obtained by different number of terms in the asymptotic expansion (left) and the comparison of the eleven-term asymptotic Williams series expansion and the finite element solution (right)
На рис. 6.15 приведены зависимости компоненты от угла на расстоянии 7.9 мм от устья трещины, выстроенные при помощи многопараметрических разложений М. Уильямса поля напряжений, ассоциированного с вершиной трещины. Рисунок 6.12 четко демонстрирует, что одно-, трех- и пятичленные разложения не совпадают с конечно-элементным расчетом, тогда как сохранение высших приближений приводит к совпадению аналитического и численного представлений компоненты тензора напряжений.
Рис. 6.15. Зависимости компоненты тензора напряжений от полярного угла полученные с помощью асимптотического представления Уильямса, содержащего различное количество слагаемых, и сравнение конечно-элементного решения с одиннадцатичленным асимптотическим разложением Уильямса (справа)
Fig. 6.15. Circumferential dependence of the stress tensor component obtained by different number of terms in the asymptotic expansion (left) and the comparison of the eleven-term asymptotic Williams series expansion and the finite element solution (right)
Выводы
В статье с помощью метода голографической интерферометрии на основании соотношений Фавра вычислены обобщенные коэффициенты разложения М. Уильямса компонент тензора напряжений и вектора перемещения в окрестности острой трещины в однородном изотропном линейно-упругом материале. В асимптотическом разложении М. Уильямса удержаны регулярные (неособые) слагаемые, коэффициенты при которых получили название обобщенных коэффициентов интенсивности напряжений в мультипараметрическом разложении М. Уильямса. Показано, что неособые (регулярные) слагаемые являются исключительно важными при описании механических полей при увеличении расстояния от кончика трещины. Сохранение высших приближений в разложении М. Уильямса приводит к существенному расширению области действия асимптотического представления. Предложена методика, основывающаяся на двух соотношениях Фавра и их линеаризации, которая позволяет получить переопределенную систему линейных АУ относительно обобщенных коэффициентов интенсивности напряжений. Показано, что метод голографической интерферометрии позволяет найти коэффициенты разложения с высокой точностью. Результаты экспериментального анализа сопоставлены с результатами конечно-элементного расчета. Продемонстрировано, что наблюдается хорошее соответствие между вычислительными и экспериментальными результатами.
В ходе проведенного анализа экспериментальных интерференционных картин и конечно-элементных решений могут быть сформулированы следующие выводы.
1. Экспериментальная оценка и конечно-элементные расчеты обобщенных коэффициентов интенсивности напряжений явственно показывают потребность оперирования с многочленными представлениями напряжений: сохранения членов высокого порядка малости по сравнению с доминирующими первыми двумя слагаемыми, что приводит к значительному расширению области, в которой справедливо решение Уильямса.
2. Обработка экспериментальных данных и проведенная серия конечно-элементных расчетов приводят к необходимости вывода аппроксимирующих формул для обобщенных коэффициентов интенсивности напряжений множителей разложения Уильямса. Ясно видна необходимость проведения регрессионного анализа, нацеленного на получение по экспериментальным данным натурного и компьютерного эксперимента регрессионных моделей и вычисление коэффициентов регрессионных моделей с использованием простейших полиномов нелинейной регрессии.
Последнему вопросу будут посвящена следующая часть данной работы.