The nitrogen deficiency influence on the growth and development of spring two-nuclear barley varieties grown under photoculture conditions
- Authors: Surin N.A.1, Gerasimov S.A.1, Lipshin A.G.1, Ushakova S.A.2, Tikhomirov A.A.2,3, Velichko V.V.2,3, Gribovskaya I.V.2
-
Affiliations:
- Krasnoyarsk Research Institute of Agriculture – Division of Federal Research Center “Krasnoyarsk Scientific Center of the Siberian Branch of the RAS”
- Institute of Biophysics SB RAS, Federal Research Center “Krasnoyarsk Science Center SB RAS RF”
- M.F. Reshetnev Siberian State University of Science and Technology
- Issue: No 4 (2024)
- Pages: 13-21
- Section: Crop Production and Selection
- URL: https://bakhtiniada.ru/2500-2082/article/view/262617
- DOI: https://doi.org/10.31857/S2500208224040031
- EDN: https://elibrary.ru/xlwnlo
- ID: 262617
Cite item
Full Text
Abstract
The purpose of the research is to study, the effect of N deficiency in irrigation solutions on the structural and functional characteristics of spring barley (Hordeum vulgare L.), the Oplot variety under controlled environmental conditions, in comparison with the structural and functional characteristics of Takmak barley, which has been the standard in all variety testing sites of the Krasnoyarsk Territory since 2022. The plants were grown under light culture conditions using hydroponics on expanded clay with constant environmental conditions at a photoperiod day/night of 17h / 7h, respectively. The basis for the preparation of irrigation solutions was Knop solution (control) and a solution in which, in order to reduce the concentration of N-NO3, the salt content was changed 2 times so as not to change the concentration of other macronutrients. A comparison of the rate of absorption of macronutrients by barley plants of the Oplot and Takmak varieties, depending on the composition of the irrigation solution, shows a higher demand of the barley of the Oplot variety for the presence of mineral nutrition elements in the irrigation solution in comparison with the barley of the Takmak variety. The deficiency of N in the irrigation solution led to a decrease in total tillering by about 2.5 times, but productive tillering in the barley of the Oplot variety decreased to a greater extent than in the barley of the Takmak variety. When growing on Knop solution the barley of the Oplot variety showed higher productivity than the barley of the Takmak variety. When grown on solutions with a deficiency of N, the grain yield of the barley of the Oplot variety decreased by 2.8 times, and in the barley of the Takmak variety, the differences between the control and experimental variants were unreliable. The barley of the Takmak variety showed higher resistance to N deficiency in the irrigation solution, thereby showing higher plasticity compared to the barley of the Oplot variety.
Full Text
Яровой ячмень в Восточной Сибири – одна из главных фуражных культур. Его кормовая ценность определяется сбалансированным составом зерна по белку (15%) и жиру (2…3%). Основные площади сосредоточены в Красноярском крае – 144,7 тыс. га (13,0%). В региональных производственных посевах по уровню урожайности ячмень лидирует среди зерновых (более 24,0 ц/га), превышая этот показатель у пшеницы и овса на 2…4 ц/га. Вместе с тем урожайность по отдельным земледельческим зонам края варьирует от 12 до 50 ц/га. Это связано с большой контрастностью почвенно-климатических зон Красноярского края и Восточной Сибири, которые характеризуются засушливым климатом в южных районах и увлажненным в подтаежных и таежных зонах на севере. Более 33% пахотных земель региона подвергаются ветровой, водной и комплексной эрозии. Сдерживающий фактор широкого распространения ячменя в северных подтаежных и таежных районах, где он практически не пригоден для возделывания, – повышенная кислотность почв. Указанные обстоятельства ограничивают его распространение в Восточной Сибири, тем не менее увеличение объемов производства связано с внедрением новых высокоурожайных сортов, приспособленных к местным условиям. [6] Решить эту проблему может селекция – экологически безопасный прием повышения урожайности. [6, 11] Большое значение имеет рациональное использование доз минеральных удобрений, внесение которых должно разрабатываться не под конкретную культуру, а с учетом особенностей сорта, что может быть одним из способов увеличения производства биологически полноценного и экологически безопасного зерна ячменя. [4, 9, 16] Поглощение минеральных элементов за вегетацию происходит неравномерно. Недостаточная обеспеченность минеральным питанием в тот или иной период вегетации приводит к снижению урожая и ухудшению его качества. У всех растений критический период – фаза всходов. В прикорневой зоне в это время питательные элементы должны находиться в доступной форме, но невысокой концентрации. Второй период, в котором растения чувствительны к недостатку элементов минерального питания, – интенсивный прирост вегетативной массы, у зерновых культур это выход в трубку и колошение. [1] Важнейший питательный элемент, содержание которого в растениях зависит от их вида, возраста, почвенно-климатических условий, приемов агротехники – азот (N). [2, 12–14] Наибольшее содержание N отмечается в вегетативных органах молодых растений. Между содержанием N в определенные фазы роста в вегетативных частях растений и урожае установлена коррелятивная зависимость. [16] Предварительная оценка реакции растений на дефицит азота, проведенная в условиях светокультуры, вне зависимости от почвенно-климатических условий выращивания, позволит оценить перспективность районирования тех или иных селекционных образцов на почвах с определенным типом сложения и состава, более рационально использовать минеральные удобрения.
Цель работы – сравнить в контролируемых условиях среды влияние дефицита азота в поливных растворах на структурные и функциональные характеристики ярового ячменя (Hordeum vulgare L.) сортов Оплот и Такмак.
МАТЕРИАЛЫ И МЕТОДЫ
Объект исследования – сорта Оплот и Такмак ярового двурядного ячменя селекции КрасНИИСХ ФИЦ КНЦ СО РАН.
Сорт Такмак (Приазовский 9 × [(Винер × Омский 13709) × (Винер × Донецкий 650)] включен в Госреестр по Восточно-Сибирскому региону. [5] Куст полупрямостоячий. Растение высокорослое. C 2022 года – стандарт на всех сортоиспытательных участках Красноярского края.
Оплот – новый сорт двурядного гладкоостого ячменя, передан на Государственное сортоиспытание в 2023 году. Создан в Красноярском НИИСХ – обособленном подразделении ФГБНУ «Федеральный исследовательский центр «Красноярский научный центр СО РАН» методом гибридизации с последующим индивидуальным отбором из гибридной комбинации Золотник × Миг 16. Растение низкорослое (60,8 см в среднем за годы испытаний). Колос двурядный цилиндрический, рыхлый, желтый. Зерно от среднего до крупного (масса 1000 зерен – 37,0…51,3 г), удлиненной формы, желтое. Сорт раннеспелый, вегетационный период – 77…82 дня. Отличается высоким потенциалом продуктивности. В 2018 году на Тулунской ГСС показал максимальный урожай – 72,2 ц/га. Авторы: Н.А. Сурин, Н.Е. Ляхова, С.А. Герасимов, А.Г. Липшин, А.В. Бобровский, С.С. Голубев.
В условиях интенсивной светокультуры растения выращивали в трех вегетационных камерах с регулируемыми параметрами внешней среды. Площадь посева в первой и второй камерах – по 0,512 м2. В одной из них выращивали сорт Оплот, другой – Такмак, в третьей – оба сорта с площадью посева каждого 0,384 м2. Метод выращивания – гидропоника на керамзите. В качестве источников света использовали лампы ДРФ-1000 [15], расположенные вне камер. Между источниками света и растениями находился прозрачный потолок из оргстекла с проточной водой, поглощающий значительную часть инфракрасной радиации. Интенсивность фотосинтетической радиации (ФАР) (690 ± 70) мкммоль·м–2·с–1. Фотопериод – 17 ч день / 7 ч ночь. Температуру воздуха поддерживали днем на уровне 23 ± 1,5°С, ночью 14 ± 1,5°С. Для полива растений три раза в течение светового дня брали питательные растворы на основе модифицированной смеси Кнопа (табл. 1). В первых двух камерах приготовили раствор Кнопа, третьей – с уменьшенной в два раза концентрацией N-NO3 (табл. 1). В питательные растворы добавляли микроэлементы и Fe – ЭДТА. [3]
Таблица 1.
Состав солей для приготовления питательных растворов и содержание в них макроэлементов при выращивании растений ячменя сортов Оплот и Такмак в условиях светокультуры
Соль | Раствор, г/л | Элемент | Контроль, мг/л | Опыт, мг/л | |
Кнопа (контроль) | с дефицитом N (опыт) | ||||
KNO3 | 0,25 | - | N | 153 | 77 |
MgSO4·7H2O | 0,25 | 0,25 | K | 169 | 167 |
Ca(NO3)2·4H2O | 1,00 | 0,65 | Ca | 170 | 139 |
KH2PO4 | 0,25 | 0,30 | Mg | 25 | 25 |
CaCl2 | - | 0,08 | P | 57 | 68 |
K2SO4 | - | 0,18 | S | 33 | 33 |
Перед посевом семена обеззараживали смесью перекиси водорода и этанола, проращивали во влажной камере в чашках Петри. [7] Проклюнувшиеся семена высевали на глубину 2 см от верхнего уровня керамзита в вегетационные сосуды – 375 шт/м2. Были выбраны основные морфометрические параметры: высота растений и главного побега, количество побегов, сырая и сухая биомасса отдельных частей растений. Состояние фотосинтетического аппарата верхних листьев главного побега оценивали по массе и площади листьев, содержанию и соотношению фотосинтетических пигментов. Экстракцию пигментов проводили 96% этанолом. Навеска – не менее 0,4 г. Содержание фотосинтетических пигментов в листьях главного побега ячменя определяли на спектрофотометре UV-2804 (UNICO, США) и рассчитывали по формулам Wintermans, DeMots, общее содержание углеводов в пробах – модифицированным антроновым методом, липидов – гравиметрически, органический азот – методом Къельдаля. [7] Количество минеральных элементов в растениях устанавливали с помощью спектрометра ICP-OES iCAP 6300 Duo (Thermo Scientific, England, 2010) (EPA 200.7). Сырой протеин в расчете на сухое вещество рассчитывали после определения содержания органического азота методом Кьельдаля с последующим умножением на коэффициент 6,25. Результаты статистически обрабатывали общепринятыми методами с использованием стандартного программного пакета Microsoft Excel. В статье приведены средние значения показателей ± стандартная ошибка.
РЕЗУЛЬТАТЫ И ОБСУЖДЕНИЕ
Влияние концентрации N-NO3 в поливных растворах на поглощение макроэлементов
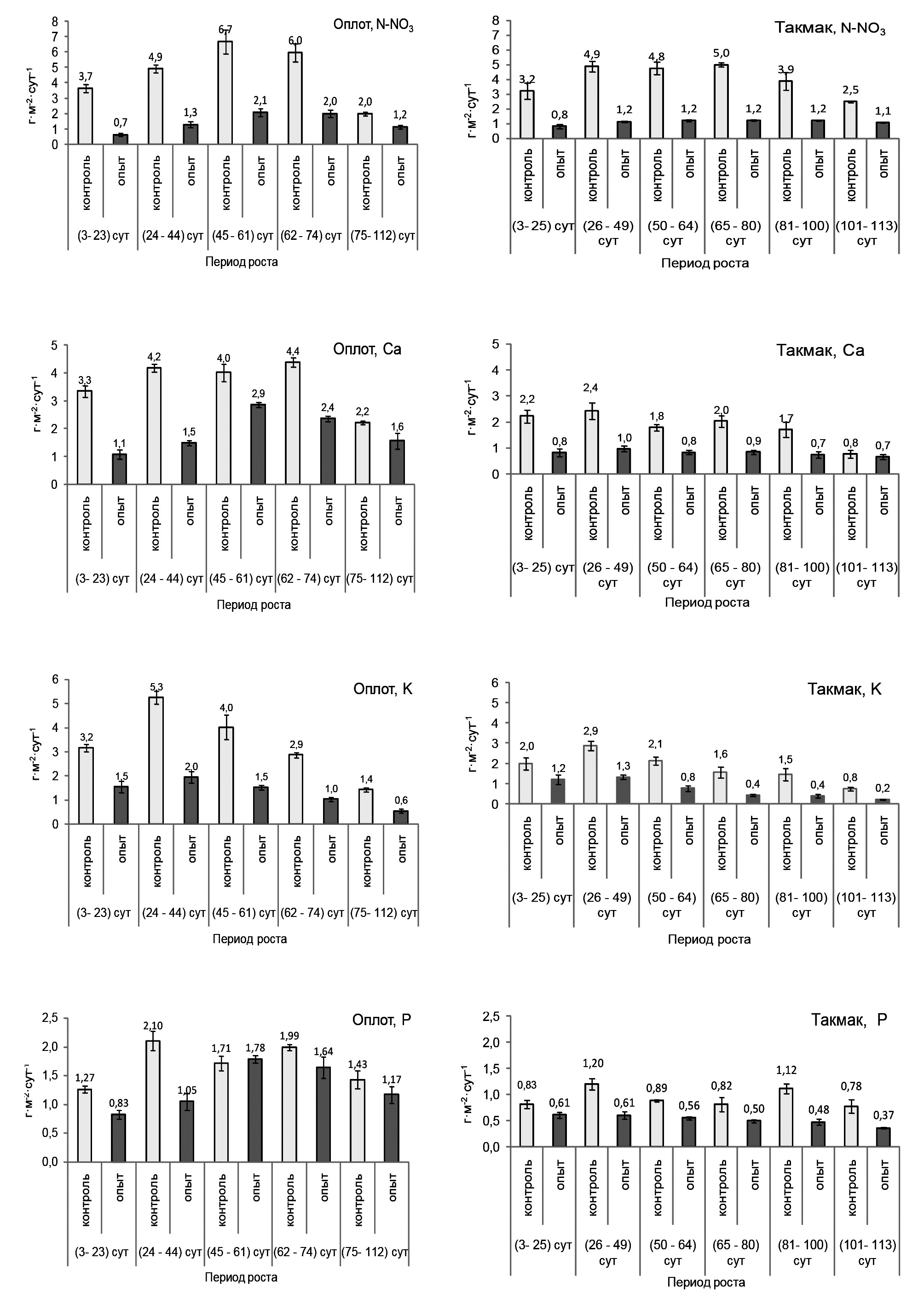
Поглощение N-NO3 растениями ячменя сортов Оплот и Такмак на протяжении первых 44 сут. вегетации в контроле практически не отличалось (рис. 1). В последующие 30 сут. скорость потребления N-NO3 растениями сорта Оплот была выше, чем у Такмака (td = 3 и 2,6 > tst = 2,4 при α ≤ 0,05 и n = 6) (рис. 1). Затем из-за более раннего срока созревания (Оплот) скорость поглощения N стала меньше, чем у сорта Такмак. Выращивание на растворах с дефицитом N-NO3 (концентрация в два раза меньше, чем в контроле) привело к снижению поглощения N растениями обоих сортов. В первые 25 сут. вегетации интенсивность поглощения азота у Оплота и Такмака уменьшилась в 5,6 и 4,3 раза соответственно, в последующие три периода роста снижение интенсивности поглощения N-NO3 по мере роста растений у Оплота составило от 3,0 до 3,8 раза, Такмака – от 3,2 до 4,0 раза. В последний период роста (75…112 сут. – Оплот и 101…113 сут. – Такмак) разница между интенсивностью поглощения N-NO3 в контрольном и опытном вариантах уменьшилась до 1,7 (Оплот) и 2,3 (Такмак) раза (рис. 1). В поливных растворах перед их сменой концентрации N-NO3 в опыте – 15 ± 5 мг/л, контроле – 65 ± 25 мг/л.
Рис. 1. Поглощение макроэлементов растениями ячменя сортов Оплот и Такмак в процессе роста и развития в зависимости от концентрации N-NO3 в поливном растворе. Над столбиками диаграмм указаны средние значения показателей (то же на рис. 2–7).
При выращивании на растворе Кнопа у Оплота более высокая потребность в Ca, K, и P, по сравнению с сортом Такмак. Уменьшение концентрации N-NO3 в поливном растворе привело к снижению интенсивности поглощения этих макроэлементов. В фазы кущения и выхода в трубку интенсивность поглощения Ca уменьшилась в три раза, по сравнению с контролем, далее – 1,7...1,9 раза (рис. 1). У сорта Такмак уменьшение этого показателя было в пределах 2,3 ... 2,5 раз. На последней фазе развития значимых отличий между поглощением Ca в опыте и контроле не наблюдали. В опыте интенсивность поглощения K у Оплота на протяжении всего вегетационного периода была в 2,5...2,8 раза ниже, чем в контроле, у Такмака в период от 3 до 48 сут. – 2,5...2,8, а затем в 3,5...3,7 раза ниже, чем в контроле.
На поглощение P двукратное снижение концентрации N-NO3 в поливном растворе сказалось несущественно. Интенсивность поглощения P растениями сорта Оплот до 44- суточного возраста уменьшилась в 1,5 и 2 раза (td = 4,5 > tst = 2,4 при α ≤ 0,05 и n = 6), а затем достоверных отличий от контроля не наблюдали. У Такмака до фазы выхода в трубку достоверных отличий в интенсивности поглощения P между контролем и опытом не было. Вплоть до периода созревания, отличия были достоверными (td – 3,1…8,0 > tst = 2,4 при n = 6). На протяжении всей вегетации при выращивании растений сортов Оплот и Такмак на растворах с дефицитом N потребности ячменя сорта Оплот в Ca, K, и P, как и в контроле, превышали потребности ячменя сорта Такмак, при этом особенно значительные различия между сортами связаны с потреблением P (рис. 1).
Влияние концентрации N-NO3 в поливных растворах на рост и развитие растений ячменя
Начиная с периода кущения, в опытном варианте переход от одной фазы развития к последующей у Оплота наступал на несколько суток раньше, чем в контроле (рис. 2). У Такмака развитие протекало в контроле и опыте почти одновременно вплоть до выхода в трубку. Но фаза трубкования оказалась в первом случае длиннее, чем во втором почти на 10 сут.
Рис. 2. Переход к очередной фазе развития (сутки от всходов) и количество побегов в зависимости от концентрации N-NO3 в поливном растворе.
В условиях светокультуры оба сорта проявили высокую способность к побегообразованию, но у Оплота она была выражена в меньшей степени, чем у Такмака. На фоне пониженного содержания в поливном растворе N-NO3 происходило значительное снижение побегообразования, количество побегов в опытном варианте до фазы колошения между сортами практически не отличалось. Более сильное угнетение побегообразования, по сравнению с контролем, было у Такмака, количество побегов в фазе колошения у него было в 9 раз меньше, Оплота – 2,6 раза, чем в контроле (рис. 2). Количество побегов в опытных вариантах у Оплота в этой фазе было в 1,6 раза больше, чем у Такмака.
Дефицит N в поливном растворе привел к снижению сырой массы растений обоих сортов, особенно во второй фазе трубкования перед началом колошения: в 3,7 и 4,5 раза у сортов Оплот и Такмак соответственно. Сухие массы растений в этот период уменьшились в 2,6 и 4,3 раза соответственно.
Снижение массы растений при выращивании на растворах с дефицитом N связано, в основном, с уменьшением побегообразования, при этом реакция обоих сортов была близка по отношению к контролю (рис. 3).
Рис. 3. Надземная масса растений ячменя сортов Оплот и Такмак в зависимости от фазы роста и концентрации N-NО3 в питательном растворе.
Влияние концентрации N-NO3 в поливных растворах на формирование фотосинтетического аппарата верхних листьев главного побега растений ячменя
Массы листьев верхнего яруса главного побега растений сорта Оплот, выращенных на растворе Кнопа, меньше чем у Такмака (рис. 4). У Оплота с увеличением ярусности листьев от 6 до 8 от уровня субстрата сырая и сухая масса уменьшалась, при этом у листьев 8 яруса (флаг-листья) в 4,9 и 4,0 раза соответственно оказалась меньше аналогичных масс листьев 6 яруса (рис. 4). У сорта Такмак отличия в сырой массе листьев 6 и 7 ярусов находились в пределах ошибки, 8 яруса (флаг-листья) в 1,9 раза меньше массы листа 6 яруса. Сухие массы листьев 7 и 8 ярусов главного побега у сорта Такмак достоверно от сухой массы листьев 6 яруса не отличались (td = 1,95 < tst= 2,23 при n = 12 и α < 0,05). Характеристика площадей листьев верхнего яруса контрольных растений сортов Оплот и Такмак повторяет закономерности, описанные при сравнении сырых масс соответствующих листьев. Поэтому разница в величине УПП соответствующих листьев у Оплота и Такмака в пределах ошибки эксперимента (рис. 4).
Рис. 4. Характеристика листьев верхнего яруса главного побега растений ячменя сортов Оплот и Такмак в зависимости от концентрации N-NО3 в питательном растворе.
Недостаток N в поливном растворе повлиял на формирование фотосинтетического аппарата листьев главного побега. Сырая и сухая масса листьев 6 яруса у сорта Оплот уменьшилась в 3,9 и 2,5 раза соответственно против 2,1 и 1,6 раза у Такмака. Сырая масса листьев 7 и 8 ярусов у Оплота уменьшилась в 2,4 и 3,1 раза, у Такмака в 4,0 и 5,3 раза соответственно. Снижение сухой массы листьев 7 и 8 ярусов также было менее значительным у Оплота, площади листьев верхнего яруса главного побега сорта Оплот – в пределах 2,5...2,7, Такмак – 1,5...3,4 раза. Из-за того, что сырая масса листьев и их площадь уменьшались в опытных вариантах непропорционально, наблюдалось снижение УПП листьев, но различия между контрольными и соответствующими опытными вариантами были недостоверными (рис. 4).
Концентрация хлорофиллов в листьях 6 и 7 ярусов главного побега ячменя сорта Оплот в контроле была несколько выше, чем в контроле у соответствующих листьев сорта Такмак, но в листьях 8 яруса (флаг-лист) концентрация хлорофиллов у Оплота была на 26% ниже, чем у Такмака (рис. 5). Выращивание ячменя на растворах с дефицитом N не повлияло на концентрацию хлорофиллов в листьях двух верхних ярусов, но в листьях 6 яруса сортов Оплот и Такмак наблюдали достоверное снижение их концентрации в 1,5 и 1,9 раза соответственно, по сравнению с контролем (td = 4,3 и 5,2 соответственно > tst = 2,4 при n = 6 и α ≤ 0,05). С учетом меньшей площади листьев в опытных вариантах обоих сортов общее содержание фотосинтетических пигментов в них было меньше, чем в аналогичных листьях соответствующих контрольных вариантов (рис. 5). Дефицит азота не оказал достоверного влияния на соотношение фотосинтетических пигментов в листьях верхнего яруса главных побегов ячменя обоих сортов (рис. 6).
Рис. 5. Содержание хлорофиллов в листьях верхнего яруса главного побега растений ячменя сортов Оплот и Такмак в зависимости от концентрации N-NО3 в питательном растворе.
Рис. 6. Соотношение фотосинтетических пигментов в листьях верхнего яруса главного побега растений ячменя сортов Оплот и Такмак в зависимости от концентрации N-NО3 в питательном растворе.
Влияние концентрации N-NO3 в поливных растворах на урожай растений ячменя
Из сравнения растений ячменя сортов Оплот и Такмак, выращенных на растворах Кнопа видно, что высота растений и длина стебля главного побега ячменя сорта Оплот превышает аналогичные показатели Такмака на 13 см, а длина колоса близка к данному показателю сорта Такмак (табл. 2).
Таблица 2.
Влияние концентрации N-NО3 в питательном растворе на характеристику растений ячменя сорта Такмак, достигших технической зрелости
Показатель | Оплот | Такмак | ||
Контроль | Опыт | Контроль | Опыт | |
Высота растения, см | 93,2 ± 0,7 | 60,1 ± 1,2 | 80,1 ± 1,0 | 75,1 ± 0,7 |
Длина стебля главного побега, см | 83,4 ± 0,8 | 52,8 ± 1,1 | 69,9 ± 1,0 | 66,7 ± 0,7 |
Длина колоса главного побега, см | 9,2 ± 0,1 | 7,7 ± 0,1 | 9,8 ± 0,3 | 8,4 ± 0,1 |
Общее кущение, шт./м2 | 9170 ± 511 | 4025 ± 210 | 9870 ± 735 | 4025 ± 385 |
Продуктивное кущение, шт./м2 | 4494 ± 165 | 1680 ± 70 | 3185 ± 315 | 2135 ± 105 |
Масса зерна главного побега, г/раст. | 0,80 ± 0,03 | 0,75 ± 0,04 | 0,73 ± 0,03 | 0,74 ± 0,04 |
Масса зерна боковых побегов, г/раст. | 6,31 ± 0,42 | 1,74 ± 0,13 | 2,80 ± 0,34 | 2,16 ± 0,17 |
Масса 1000 зерен главного побега, г | 55,3 ± 4,8 | 56,9 ± 2,6 | 39,9 ± 1,2 | 49,4 ± 5,3 |
Масса 1000 зерен боковых побегов, г | 44,8 ± 2,4 | 45,2 ± 3,2 | 35,0 ± 1,8 | 39,2 ± 2,7 |
Урожай зерна, кг/м2 | 2,5 ± 0,1 | 0,9 ± 0,1 | 1,2 ± 0,1 | 1,0 ± 0,1 |
Масса растений, кг/м2 | 7,5 ± 0,4 | 2,2 ± 0,1 | 7,4 ± 0,7 | 3,0 ± 0,2 |
Коэффициент хозяйственной эффективности, % | 33,3 ± 1,5 | 39,1 ± 2,0 | 16,6 ± 2,2 | 33,4 ± 2,3 |
К моменту уборки урожая разница в общем кущении между сортами в контрольных вариантах находилась в пределах ошибки, но продуктивное кущение у Оплота было достоверно в 1,4 раза выше, чем у Такмака (td = 3,68 > tst = 2,2 при n = 10 и α ≤ 0,05). Доля продуктивных побегов у Оплота – 49, Такмака – 33%. Масса 1000 зерен у ячменя сорта Оплот больше, чем у сорта Такмак. Масса зерна с колоса главного побега между сортами достоверно не отличалась, но масса зерна, полученная с боковых побегов у Оплота, была почти в 2,3 раза больше, чем у Такмака. В результате Кхоз. и урожай зерна ячменя сорта Оплот оказались в два раза выше, чем у Такмака (табл. 2).
Выращивание растений на растворах с дефицитом N привело к уменьшению высоты растений на 33 (Оплот) и 5 см (Такмак) (td = 24 и 4,1 соответственно > tst = 2,1 при n = 30 и α ≤ 0,05). Длина стебля главного побега у Оплота стала короче на 31, Такмака – 3 см (td = 22 и 2,6 соответственно > tst = 2,1 при n = 30 и α ≤ 0,05). Общее кущение, по сравнению с контролем, уменьшилось у обоих сортов в 2,4 раза, но продуктивное кущение уменьшилось в 2,7 (Оплот) и 1,5 раза (Такмак). Если продуктивное кущение в расчете на 1 м2 посева в контрольных вариантах у Оплота было на 1300 побегов больше, чем у Такмака, то в опытных, напротив, у Такмака оказалось на 500 продуктивных побегов больше, чем у Оплота (табл. 2).
Изменения массы зерна главных побегов ячменя обоих сортов опытных вариантов находились в пределах ошибки эксперимента, но масса зерна боковых побегов опытных растений у Оплота и Такмака уменьшилась в 3,6 и 1,3 раза соответственно. При выращивании на растворах с дефицитом азота урожаи зерна практически не отличались. Общая биомасса уменьшилась в 3,4 (Оплот) и 2,5 раза (Такмак), а Кхоз. увеличился в 1,2 (Оплот) и 2,0 раза (Такмак) (табл. 2).
Выращивание растений ячменя на растворах с дефицитом азота привело к увеличению содержания крахмала в зерне главных побегов. В зерне боковых побегов обоих сортов несколько уменьшилось содержание липидов (рис. 7).
Рис. 7. Биохимический состав зерна растений ячменя сортов Оплот и Такмак в зависимости от концентрации N-NО3 в питательном растворе.
Выводы. Сравнение скорости поглощения макроэлементов растениями ячменя сортов Оплот и Такмак в зависимости от состава поливного раствора показывает более высокую требовательность первого к наличию элементов минерального питания в поливном растворе.
Дефицит азота в поливном растворе не оказывал существенного влияния на концентрацию и соотношение фотосинтетических пигментов в верхних листьях главного побега обоих сортов, но значительное снижение массы и площади листьев привело к уменьшению содержания пигментов в расчете на лист, что не повлияло достоверно на массу зерен главных побегов обоих сортов.
При выращивании ячменя на растворе с достаточным обеспечением элементами минерального питания у Оплота наблюдали более высокую продуктивность, чем у Такмака. На растворах с дефицитом азота урожай зерна уменьшился в 2,8 раза (Оплот), у сорта Такмак отличия между контрольным и опытным вариантами были недостоверными, что связано с разницей между сортами в количестве продуктивных побегов в опытных вариантах. Такмак показал наиболее высокую устойчивость к дефициту N в поливном растворе и лучшую пластичность, по сравнению с Оплотом.
About the authors
N. A. Surin
Krasnoyarsk Research Institute of Agriculture – Division of Federal Research Center “Krasnoyarsk Scientific Center of the Siberian Branch of the RAS”
Email: sofya-ushakova@yandex.ru
Academician of the RAS
Russian Federation, KrasnoyarskS. A. Gerasimov
Krasnoyarsk Research Institute of Agriculture – Division of Federal Research Center “Krasnoyarsk Scientific Center of the Siberian Branch of the RAS”
Email: sofya-ushakova@yandex.ru
PhD in Agricultural Sciences
Russian Federation, KrasnoyarskA. G. Lipshin
Krasnoyarsk Research Institute of Agriculture – Division of Federal Research Center “Krasnoyarsk Scientific Center of the Siberian Branch of the RAS”
Email: sofya-ushakova@yandex.ru
PhD in Agricultural Sciences
Russian Federation, KrasnoyarskS. A. Ushakova
Institute of Biophysics SB RAS, Federal Research Center “Krasnoyarsk Science Center SB RAS RF”
Email: sofya-ushakova@yandex.ru
PhD in Biological Sciences
Russian Federation, KrasnoyarskA. A. Tikhomirov
Institute of Biophysics SB RAS, Federal Research Center “Krasnoyarsk Science Center SB RAS RF”; M.F. Reshetnev Siberian State University of Science and Technology
Email: sofya-ushakova@yandex.ru
Grand PhD in Biological Sciences
Russian Federation, Krasnoyarsk; KrasnoyarskV. V. Velichko
Institute of Biophysics SB RAS, Federal Research Center “Krasnoyarsk Science Center SB RAS RF”; M.F. Reshetnev Siberian State University of Science and Technology
Email: sofya-ushakova@yandex.ru
PhD in Biological Sciences
Russian Federation, Krasnoyarsk; KrasnoyarskI. V. Gribovskaya
Institute of Biophysics SB RAS, Federal Research Center “Krasnoyarsk Science Center SB RAS RF”
Author for correspondence.
Email: sofya-ushakova@yandex.ru
PhD in Biological Sciences
Russian Federation, KrasnoyarskReferences
- Artyuxova O.A., Glady`sheva O.V., Svirina V.A. Vliyanie e`lementov texnologij vozdely`vaniya na urozhajnost` novy`x pivovarenny`x sortov yarovogo yachmenya // Vestnik rossijskoj sel’skohozyajstvennoj nauki. 2020. № 2. S. 21–25. doi: 10.30850/vrsn/2020/2/21-25.
- Kaftan Yu.V. Vliyanie zasoryonnosti posevov yachmenya i mineral`nogo pitaniya na urozhajnost` v central`noj zone Orenburgskoj oblasti // Izvestiya Orenburgskogo gosudarstvennogo agrarnogo universiteta. 2021. № 4 (90). S. 104–108. doi: 10.37670/2073-0853-2021-90-4-104-108.
- Koval` S.V., Shamanin V.P. Rastenie v opy`te. Omsk: Izdatel`stvo ICiG SO RAN. OmGAU, 1999. 201 s.
- Piskareva L.A., Cheverdin A.Yu. Urozhajnost` i kachestvenny`e pokazateli zerna yachmenya v zavisimosti ot sortovy`x osobennostej i urovnya mineral`nogo pitaniya // Journal of Agriculture and Environment. 2021. 17. https:/doi.org/10.23649/jae.2021.1.17.8 e`lekt. forma.
- Sort Takmak (yachmen` yarovoj). FGBU Gossortkomissiya.[E`lektronny`j dostup]. – Rezhim dostupa:https: // reestr.gossortrf.ru/sorts/8356368/, svobodny`j. – (data obrashheniya: 16.05.2023).
- Surin N.A., Lyaxova N.E. Kul`tura yachmenya v Vostochnoj Sibiri // Vestnik KRASGAU. 2017. № 4. S. 52–65.
- Tixomirov A.A., Ushakova S.A. Velichko V.V. et al. Osobennosti rosta i razvitiya sortov dvuryadnogo (v. nutans) i shestiryadnogo yachmenya (v. rikotense) v usloviyax svetokul`tury` // Rossijskaya sel`skoxozyajstvennaya nauka. 2022. № 2. S. 19–24. https://doi.org/10.31857/ S2500262722020041.
- Yusova O.A. Nikolaev P.N. Izmenenie urozhajnosti i kachestva zerna yachmenya yarovogo s povy`sheniem adaptivnosti sortov // Zernovoe xozyajstvo Rossii. 2021. № 2. S. 75–80. https://doi.org/10.31367/2079-8725-2021-74-2-75-80.
- Yakuby`shina L.I., Loginov Yu.P. Urozhajnost` semyan sortov yachmenya v zavisimosti ot urovnya mineral`nogo pitaniya v severnoj lesostepi Tyumenskoj oblasti // Izvestiya Orenburgskogo gosudarstvennogo agrarnogo universiteta. 2021. № 6 (92). S. 51–58. https://doi.org/10.37670/2073-0853-2021-92-6-51-58.
- Alqudah A.M., and Schnurbusch T. Awn primordium to tipping is the most decisive developmental phase for spikelet survival in barley // Funct. Plant Biol. 2014. 41. P. 424–436. https://doi.org/10.1071/Fp13248.
- Borras-elonch G., Slafer G.A., Casas A.M. et al. Genetic control of pre-heading phases and other traits related to development in a double-haploid barley (Hordeum vulgare L.) population // Field Crops Res. 2010. Vol. 119. PP. 36–47. doi: 10.1016/j.fcr.2010.06.013.
- Creissen H.E., Jorgensen T.H., Brown J.K.M. Increased yield stability of field-grown winter barley (Hordeum vulgare L.) varietal mixtures through ecological processes // Crop Protection. 2016. 85. PP. 1–8. http://dx.doi.org/10.1016/j.cropro.2016.03.001.
- Jia Q., Yang L., An H. et al. Nitrogen fertilization and planting models regulate maize productivity, nitrate and root distributions in semi-arid regions // Soil and Tillage Research. 2020. V. 200. 104636. https://doi.org/10.1016/j.still.2020.
- O’Donovan J.T, Turkington T.K., Edney M.J. et al. Seeding rate, nitrogen rate, and cultivar effects on malting barley production /// Agronomy journal. 2011. Vol. 103. No. 3. PP. 709–716. doi: 10.2134/agronj2010.0490.
- Prikupets L.B. Technological Lighting for AgroIndustrial Installation in Russia // Light &Engineering. 2018. Vol. 26. No. 4. PP. 7–17. https://doi.org/10.33383/2017-079.
- Vaziritabar Y., Frei M., Yan F. et al. Enhancing nitrogen use efficiency and plant productivity in long-term precrop/crop rotation and fertilization management // Field Crops Research Vol. 306. 1 February 2024, 109210. https://doi.org/10.1016/j.fcr.2023.109210.
Supplementary files









