Изменение структуры урожая кукурузы в зависимости от генетических особенностей, фона минерального питания и сроков посева в Хабаровском крае
- Авторы: Лукашина А.А.1
-
Учреждения:
- ФГБУН Хабаровский федеральный исследовательский центр Дальневосточного отделения Российской академии наук Дальневосточный научно-исследовательский институт сельского хозяйства
- Выпуск: № 2 (2024)
- Страницы: 36-41
- Раздел: Растениеводство и селекция
- URL: https://bakhtiniada.ru/2500-2082/article/view/255695
- DOI: https://doi.org/10.31857/S2500208224020083
- ID: 255695
Цитировать
Полный текст
Аннотация
Представлены результаты трехфакторного опыта по структуре урожая кукурузы в Хабаровском крае в зависимости от генетических особенностей сортов и гибридов, фона минерального питания и сроков сева. Опыт повторили четыре раза на посевах кукурузы местной селекции (сорта Бирсу, Алитет 2, Гуран 2) и гибридах иностранной (Молдавский 215 СВ, Р 7515, Р 8521, Р 7460). Использовали три фона минерального питания: № 1 (контроль) – N90P90K90, № 2 – N110P110K90, № 3 – N110P110K90. Сеяли в два срока с пятидневным интервалом. Исследования проводили в 2021–2022 годах на опытном поле Дальневосточного научно-исследовательского института сельского хозяйства. Почва – лугово-бурая тяжелосуглинистая. Наибольшая урожайность зерна (125,3 ц/га) была отмечена на фонах минерального питания № 2 (N110P110K90) и № 3 (N130P130K90). Показатели структуры урожая зависели больше от сорта растений (46,0–73,4%), чем от удобрений (6,2–17,8%), сроки сева имели достаточное влияние (0,18–2,59%). Однако на массу 1000 зерен большее действие оказало дополнительное внесение азота и фосфора (40,67%), а не сортовые особенности (32,71%). Рекомендованы сорта местной селекции Алитет 2 и Гуран 2 для возделывания в Хабаровском крае, так как они дают хороший урожай зерна, отзывчивы на дополнительное внесение азота и фосфора, соответствуют условиям региона по скороспелости, подходят для заготовки силоса, зеленого корма и зернофуража.
Ключевые слова
Полный текст
Кукурузу широко используют в сельском хозяйстве как кормовую и продовольственную культуру. [8] В среднем в 1 кг ее зерна – 1,34 корм. ед. и 78 г переваримого протеина. В сухом веществе содержатся безазотистые экстрактивные вещества (БЭВ) – 65…70%, белок – 8…12, сахар – 2, крахмал – 65…75, пентозаны – 5, клетчатка – 2,5%, витамины. Зерно хорошо усваивается животными, поэтому его включают в комбикорма, также на корм идут стебли, листья и початки. В зеленой массе находится 12% сахара, много каротина и витамина С, что необходимо для качественной консервации корма. В мировом объеме на продовольственные нужды идет более 20% зерна, технические – 20, на корм скоту – около 60%. Кукурузу возделывают в большинстве регионов Российской Федерации. [1, 2, 4, 6, 8, 10]
Минеральные удобрения способны повысить урожай и качество получаемой продукции при рациональном использовании. Их внесение регламентируется потребностями растений в тепле, свете, влаге в зависимости от обеспеченности почв элементами питания. Оптимизация условий получения растениями микро- и макроэлементов приводит к росту продуктивности кукурузы и положительно влияет на обеспечение животноводческой отрасли сельского хозяйства качественными кормами. Для высокого и качественного урожая сорта и гибриды кукурузы должны быть адаптированы к условиям среды региона или быть местной селекции. Также важны фон минерального питания, срок сева, густота стояния и погодные условия. [7, 9]
Цель работы – оценить изменение структуры урожая кукурузы в зависимости от генетических особенностей, фона минерального питания и сроков посева в Хабаровском крае.
МАТЕРИАЛЫ И МЕТОДЫ
Объект изучения – сорта кукурузы местной селекции Бирсу, Алитет 2, Гуран 2 и гибриды зарубежной – Р 7515, Р 7460, Р 8521, Молдавский 215 СВ. Опыт провели в 2021 и 2022 годах на поле Дальневосточного научно-исследовательского института сельского хозяйства, предшественник – соя. Почва участка – лугово-бурая тяжелосуглинистая, рНсол пахотного слоя перед закладкой опыта – 4,7, содержание гумуса (по Тюрину) – 4,7%, Р2О5 (по Кирсанову) – 4,2 мг/100 г почвы, К2О5 (по Масловой) – 25 мг/100 г почвы. Кукурузу высевали на глубину 4…5 см, фоновая доза минеральных удобрений – N90P90K90 т/га действующего вещества. Агротехнические мероприятия проводили по рекомендациям общепризнанной технологии в Приамурье, возделывали гребне-грядовым методом. [3, 5] В 2021 году внесли почвенный гербицид Ацетал ПРО (1,8 л/га), 2022 – Дублон Голд (45 г/га) + прилипатель Адью (0,2 л/га) в фазе трех–пяти листьев.
Погодные условия 2021 и 2022 годов отличались от среднемноголетней нормы, но удовлетворяли потребности растений в тепле и влаге (рис. 1). Весной почва была прогрета хорошо благодаря теплой и сухой погоде. Средняя температура мая 2021 составила 12,12°С, 2022 – 12,60°С, что выше среднемноголетней на 0,12 и 0,6°С соответственно. Летом температура превышала норму в июне 2021 года на 0,7°С, 2022 – 0,1, июле – 4,3°С и 1,8°С соответственно, августе 2021 года – 1,2°С, в 2022 году превышения не было (19,6°С). В сентябре 2021 года температура была выше нормы на 1,5°С, 2022 – 1,0°С. В 2021 году была в основном сухая погода с недостатком влаги в июле (33% нормы), августе (96), сентябре (73) и некритичным переувлажнением в мае на 13 и июне на 22% выше нормы. Переизбыток влаги в мае 2022 года – 6%, августе – 142 и сентябре – 27%, недостаток – в июне (88) и июле (38%).
Рис. 1. Погодные условия 2021–2022 года
Таким образом, дефицит осадков в июле и повышенная температура воздуха привели к сокращению времени цветения, ухудшению условий опыления и оплодотворения, что отрицательно сказалось на завязывании семян.
Метод исследования – трехфакторный полевой опыт по схеме 3×2×7 м в четырехкратной повторности (табл. 1).
Таблица 1. Схема трехфакторного полевого опыта, 2021–2022 годы
Фактор А (удобрения) | Фактор В (срок сева) | Фактор С (гибриды) |
Фон № 1 (контроль N90P90K90) | 1 | Бирсу |
Алитет 2 | ||
Гуран 2 | ||
Р 7515 | ||
Р 8521 | ||
Р 7460 | ||
Молдавский 215 СВ | ||
2 | Бирсу | |
Алитет 2 | ||
Гуран 2 | ||
Р 7515 | ||
Р 8521 | ||
Р 7460 | ||
Молдавский 215 СВ | ||
Фон № 2 (N110P110K90) | 1 | Бирсу |
Алитет 2 | ||
Гуран 2 | ||
Р 7515 | ||
Р 8521 | ||
Р 7460 | ||
Молдавский 215 СВ | ||
2 | Бирсу | |
Алитет 2 | ||
Гуран 2 | ||
Р 7515 | ||
Р 8521 | ||
Р 7460 | ||
Молдавский 215 СВ | ||
Фон № 3 (N130P130K90) | 1 | Бирсу |
Алитет 2 | ||
Гуран 2 | ||
Р 7515 | ||
Р 8521 | ||
Р 7460 | ||
Молдавский 215 СВ | ||
2 | Бирсу | |
Алитет 2 | ||
Гуран 2 | ||
Р 7515 | ||
Р 8521 | ||
Р 7460 | ||
Молдавский 215 СВ |
Контроль – сорт Бирсу первого срока на фоновом удобрении N90P90K90 (№ 1). Было изучено дополнительное внесение азота и фосфора в дозе: N110P110K90 (№ 2) и N130P130K90 (№ 3). Разница между сроками сева пять дней (22 и 28 мая в 2021 году, 16 и 21 мая в 2022). Уборку на зерно проводили ручным способом после окончания вегетативного периода растений кукурузы в сентябре.
РЕЗУЛЬТАТЫ
Изучено влияние сортовых особенностей, удобрений и сроков сева на структуру урожая кукурузы в Хабаровском крае (табл. 2).
Таблица 2. Элементы структуры урожая кукурузы, 2021–2022 годы
Фон минерального питания | Срок сева | Сорт/гибрид | Масса 1000 зерен, г | Выход зерна% | Длина початка,см | Среднее число рядов в початке,шт. | Среднее число зерен в ряду, шт. | Средний вес одного початка, г |
№ 1 (контроль N90P90K90) | 1 | Бирсу | 220,0 | 66,7 | 16,1 | 11,6 | 28,0 | 150,0 |
Алитет 2 | 231,0 | 77,9 | 17,5 | 12,0 | 33,5 | 162,0 | ||
Гуран 2 | 242,5 | 76,2 | 15,8 | 12,8 | 32,3 | 157,0 | ||
Р 7515 | 232,5 | 80,9 | 17,2 | 14,2 | 34,6 | 212,5 | ||
Р 8521 | 212,5 | 81,0 | 15,5 | 14,5 | 36,0 | 202,5 | ||
Р 7460 | 232,5 | 81,9 | 16,7 | 14,3 | 41,2 | 224,5 | ||
Молдавский 215 СВ | 192,5 | 76,3 | 12,8 | 12,3 | 27,2 | 152,0 | ||
2 | Бирсу | 220,0 | 75,0 | 14,6 | 11,5 | 30,8 | 165,8 | |
Алитет 2 | 230,0 | 77,3 | 17,4 | 13,5 | 31,5 | 173,5 | ||
Гуран 2 | 240,0 | 73,7 | 16,6 | 13,5 | 25,4 | 171,0 | ||
Р 7515 | 195,0 | 81,5 | 15,2 | 14,5 | 31,8 | 222,5 | ||
Р 8521 | 237,5 | 80,7 | 15,9 | 14,7 | 37,7 | 243,5 | ||
Р 7460 | 217,5 | 80,6 | 15,5 | 14,3 | 33,5 | 177,5 | ||
Молдавский 215 СВ | 197,5 | 80,2 | 13,7 | 11,8 | 28,7 | 138,3 | ||
№ 2 (N110P110K90) | 1 | Бирсу | 243,0 | 78,8 | 16,3 | 12,5 | 31,8 | 179,2 |
Алитет 2 | 242,5 | 78,5 | 16,0 | 13,0 | 31,7 | 220,8 | ||
Гуран 2 | 237,5 | 80,6 | 16,2 | 13,0 | 33,1 | 185,0 | ||
Р 7515 | 235,0 | 83,1 | 17,9 | 15,3 | 41,8 | 285,0 | ||
Р 8521 | 255,0 | 80,5 | 17,2 | 14,4 | 38,2 | 246,3 | ||
Р 7460 | 235,0 | 81,7 | 16,7 | 15,1 | 37,8 | 254,3 | ||
Молдавский 215 СВ | 242,5 | 81,8 | 16,3 | 12,7 | 32,8 | 144,0 | ||
2 | Бирсу | 255,0 | 78,5 | 16,2 | 11,7 | 31,6 | 168,3 | |
Алитет 2 | 255,0 | 80,6 | 18,0 | 12,8 | 32,7 | 170,0 | ||
Гуран 2 | 240,0 | 81,4 | 17,5 | 13,4 | 29,3 | 169,0 | ||
Р 7515 | 237,5 | 84,1 | 16,6 | 16,2 | 36,6 | 228,6 | ||
Р 8521 | 252,5 | 82,0 | 16,6 | 15,2 | 37,3 | 260,0 | ||
Р 7460 | 245,0 | 80,8 | 17,1 | 14,7 | 41,7 | 257,1 | ||
Молдавский 215 СВ | 215,0 | 82,7 | 16,2 | 12,2 | 30,8 | 168,0 | ||
№ 3 (N130P130K90) | 1 | Бирсу | 260,0 | 74,7 | 15,7 | 12,2 | 29,6 | 159,0 |
Алитет 2 | 250,0 | 81,8 | 16,3 | 13,0 | 30,7 | 212,0 | ||
Гуран 2 | 245,0 | 78,6 | 17,0 | 12,6 | 33,5 | 194,0 | ||
Р 7515 | 267,5 | 82,6 | 17,2 | 14,5 | 39,2 | 292,7 | ||
Р 8521 | 260,0 | 82,0 | 16,7 | 13,8 | 38,7 | 233,7 | ||
Р 7460 | 245,0 | 80,9 | 16,2 | 14,8 | 39,0 | 251,6 | ||
Молдавский 215 СВ | 217,5 | 79,9 | 14,3 | 12,7 | 30,5 | 156,0 | ||
2 | Бирсу | 262,5 | 75,7 | 15,4 | 12,4 | 29,1 | 159,0 | |
Алитет 2 | 252,5 | 78,9 | 16,8 | 12,8 | 32,9 | 169,7 | ||
Гуран 2 | 260,0 | 76,4 | 15,5 | 12,8 | 30,5 | 159,5 | ||
Р 7515 | 252,5 | 79,9 | 16,1 | 14,8 | 36,8 | 195,2 | ||
Р 8521 | 255,0 | 81,8 | 16,6 | 14,3 | 38,3 | 228,4 | ||
Р 7460 | 260,0 | 81,0 | 16,1 | 14,5 | 37,8 | 231,1 | ||
Молдавский 215 СВ | 210,0 | 79,7 | 14,5 | 11,0 | 28,2 | 146,0 | ||
НСРА | 18,1 | 3,0 | 0,6 | 0,6 | 2,1 | 16,0 | ||
НСРВ | 14,7 | 2,5 | 0,5 | 0,5 | 1,7 | 12,7 | ||
НСРС | 27,6 | 4,6 | 0,9 | 0,9 | 3,2 | 23,8 | ||
НСРАС | 47,8 | 8,0 | 1,5 | 1,5 | 5,5 | 41,3 | ||
НСРСВ | 39,0 | 6,5 | 1,2 | 1,2 | 4,5 | 33,7 | ||
НСРАВ | 25,5 | 4,3 | 0,8 | 0,8 | 2,9 | 22,1 | ||
НСРАВС | 67,5 | 11,2 | 2,2 | 2,1 | 7,7 | 58,4 | ||
Значительное влияние на структуру урожая оказали генетические особенности сортов и гибридов.
Наибольший выход зерна среди гибридов зарубежной селекции был у Р 7515 (84,1%), сортов местной селекции Алитет 2 (80,6) и Гуран 2 (83,1%) на фоне минерального питания № 2 (N110P110K90), превысив контроль. На этот показатель самое сильное действие оказали сортовые особенности (53,56%) и фон минерального питания (17,52), срок сева – 0,22%. Взаимодействие факторов отмечали по парам: сорт-фон минерального питания (14,04%), срок сева-фон минерального питания (2,00), фон минерального питания-срок сева (4,72%). Взаимодействие всех факторов составило 7,69%.
Длина початка на 46,73% зависит от генетических особенностей (до 18,0 см у Алитет 2) и 17,80% от фона минерального питания, на 11,3% превышает контроль на фоне № 2 и 6% (№ 3), сроки сева не оказали значительного влияния (0,18%). Взаимодействие факторов: сорт-фон минерального питания – 14,04%, срок сева-фон минерального питания – 2,00, сорт-срок сева – 4,72%, тройное – 7,69%.
На число рядов в початке действует генетика (86,18%) и удобрения (2,80). При оценке двойного влияния наименьший эффект имел срок сева-фон минерального питания (0,5%), сорт-фон минерального питания – 3,75, фон минерального питания-срок сева – 3,99%. Тройное действие – 2,59%.
Среднее число зерен в ряду не превышало 16,2 у гибрида Р 8521 на фоне минерального питания № 2. На это повлияли сортовые особенности (73,42%), фон минерального питания – 6,23, срок сева – 2,59, срок сева-фон минерального питания – 0,23, фон минерального питания-удобрения – 5,23, срок сева-сорт – 5,04%. Тройное взаимодействие факторов было на уровне 7,26%.
Средний вес одного початка варьировал от 150,0 до 179,2 г (Бирсу) и от 224,0 до 285,0 г (Р 7515). Вес одного початка зависел от генетики на 71,92%, удобрений – 7,81, срока сева – 2,54%. Практически одинаковое влияние оказало взаимодействие факторов удобрения-срок сева и удобрения-сорт – 2,87% и 2,81% соответственно, срок сева-сорт были на уровне 6,15%. Тройное взаимодействие факторов – 5,89%.
На массу 1000 зерен большее влияние (40,67%) оказал фон минерального питания, чем сортовые особенности (32,71%), срок сева значения не имел (0,01%). Двойное действие распределилось следующим образом: удобрения-срок сева – 0,38%, срок сева-сорт – 12,30, удобрения-сорт– 4,99%, тройное – 8,93%. Лучшие результаты были на фоне минерального питания № 2 у Алитет 2 (255,0 г).
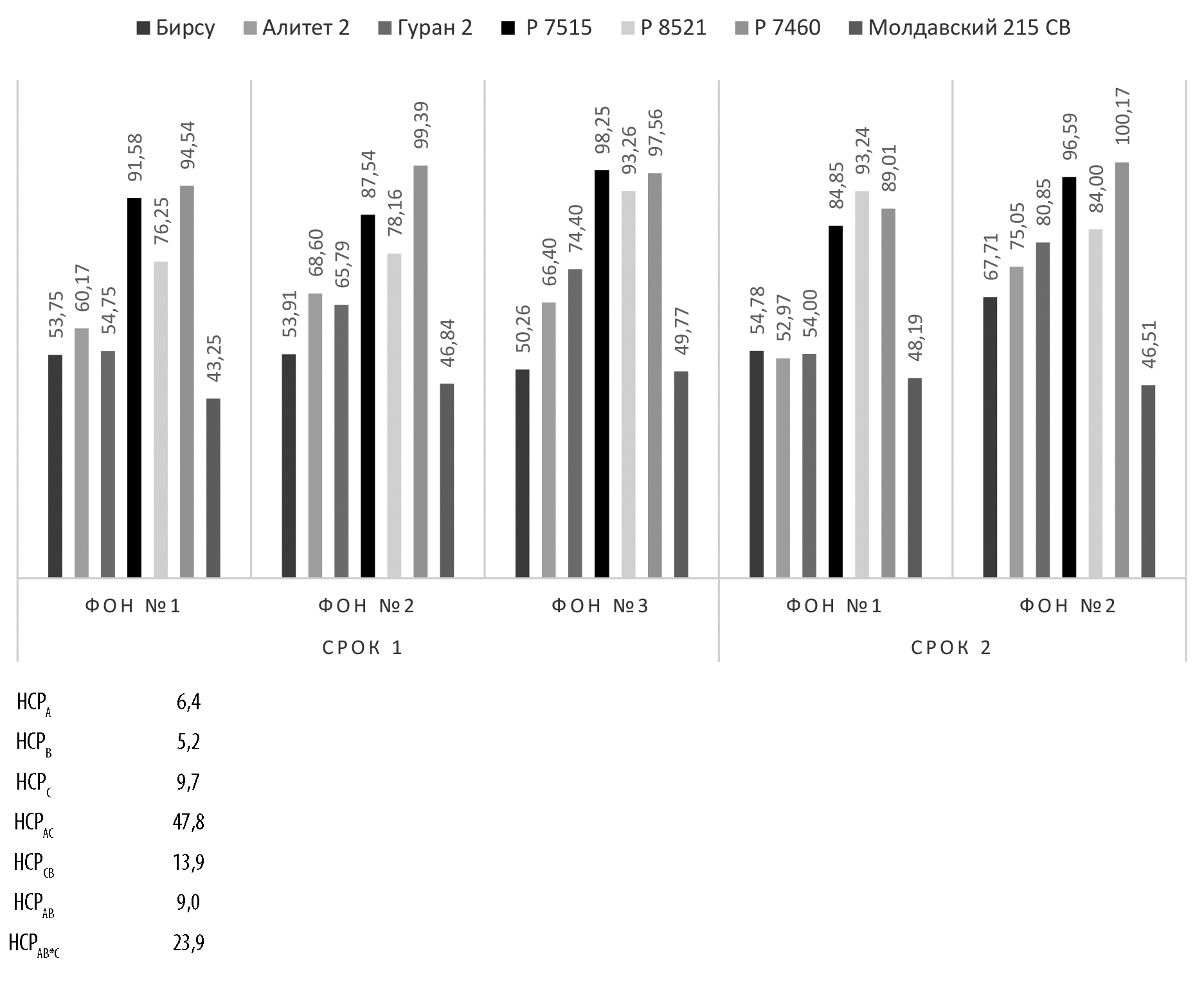
Наибольший урожай зерна 14% стандартной влажности был получен на фоне N110P110K90 от гибрида Р 7460 (100,2 ц/га), новые сорта Алитет 2 и Гуран 2 превысили контрольный Бирсу на 75,1 и 80,9 ц/га соответственно (рис. 2).
Рис. 2. Средняя урожайность зерна кукурузы, ц/га
На урожайность зерна 14% влажности влияли сортовые особенности на 69,98%, минеральное питание – 5,2, срок сева – 1,38%. Взаимодействие минерального питания и срока сева – 2,15%, минерального питания и сортовых особенностей – 9,8, срока сева и сорта – 3,75, трех факторов – 7,75%.
При оценке гибридов и сортов кукурузы необходимо учитывать сроки созревания до полной спелости зерна и молочно-восковой для заготовки силоса. Следует учитывать, что климат Хабаровского края – муссонный. Новые сорта Алитет 2, Гуран 2, стандартный Бирсу и гибрид Молдавский 215 СВ удовлетворяют погодным условиям, вызревают до полной спелости и достигают молочно-восковой до сезона дождей, у гибридов Р 7515, Р 8521 и Р 7460 эти периоды наступают позже, и они не могут быть заготовлены в виде качественного силоса и зернофуража на корм скоту.
Выводы. Показатели структуры урожая (выход зерна, длина початка, среднее число рядов в початке, число зерен в ряду, средний вес початка) зависят в первую очередь от сортовых особенностей растений (46,0…73,4%), в меньшей от фона минерального питания (6,2…17,8%) и срока сева (0,18…2,59%). На массу 1000 зерен больше повлияло дополнительное внесение азота и фосфора (40,67%), чем сортовые особенности (32,71%), срок сева – 0,01%.
Урожайность зерна 14% стандартной влажности была выше при дополнительном внесении азота и фосфора у гибридов иностранной селекции (Р 7460 до 100 ц/га) и среди местных сортов (Гуран 2 – 280,9 ц/га).
Установили, что для Хабаровского края наиболее оптимальные для выращивания в кормовых целях – новые сорта местной селекции Алитет 2 и Гуран 2, способные давать хороший урожай зерна, полностью вызревать в экстремальных погодных условиях.
Об авторах
Анастасия Алексеевна Лукашина
ФГБУН Хабаровский федеральный исследовательский центр Дальневосточного отделения Российской академии наук Дальневосточный научно-исследовательский институт сельского хозяйства
Автор, ответственный за переписку.
Email: belokop.2011@mail.ru
ORCID iD: 0000-0002-4104-9498
научный сотрудник, аспирант
Россия, Восточное, Хабаровский крайСписок литературы
- Багринцева В.Н., Ивашененко И.Н. Влияние погодных условий в Ставропольском крае на эффективность доз азотного удобрения на кукурузе // Агрохимия. 2020. № 2. С. 77–83.
- Бельтюков Л.П., Кувшинова Е.К., Тюрин И.М., Козлов В.А. Продуктивность гибридов кукурузы в зависимости от удобрений густоты стояния растений. Зерноград: Азово-Черноморский инженерный институт ФГБОУ ВПО ДГАУ, 2015. 182 с.
- Волошин Е.И., Аветисян А.Т. Применение удобрений при возделывании кукурузы в Средней Сибири: метод. указания [Электронный ресурс], Краснояр. гос. аграр. ун-т. Красноярск, 2018. 31 с.
- Говор Е.М., Хатефов Э.Б. Ранжирование коллекции кукурузы (Zea mays L.) ВИР по селекционно ценным признакам в агроклиматических условиях Республики Беларусь. Труды по прикладной ботанике, генетике и селекции. 2020. № 181 (2). С. 28–34.
- Зубрев А.И. Интенсивная технология возделывания кукурузы в Хабаровском крае // Методологические рекомендации ВАСХНИЛ. Новосибирск, 1990, 72 с.
- Коломиец Т.М., Киселева М.И., Жемчужина Н.С. и др. Особенности видового состава патогенных грибов рода Fusarium в биоценозах кукурузы Воронежской области. Вавиловский журнал генетики и селекции. 2022. № 26 (6). С. 583–592. doi: 10.18699/VJGB-22-71
- Панихин П.А., Соколов В.А. Фуражные качества гетерозисных межродовых гибридов кукурузы с гамаграссом. Труды по прикладной ботанике, генетике и селекции. 2020. № 181 (1). С. 17–23. doi: 10.30901/2227-8834-2020-1-17-23
- Сотченко В.С. Перспективы производства зерна кукурузы в Российской Федерации. Мат. науч.-практ. конф. «Селекция и семеноводство, производство зерна кукурузы». Пятигорск: Кавказская здравница, 2002. С. 5–16.
- Bumbar I.V., Shchegorets O.V., Sinigovskaya V.T. et al. Optimization of agrotechnical terms of harvesting of crops, design and operating parameters of crop-harvesting machines under conditions of the Amur region Russian // Federation Plant Archives Journal. 2018 Vol. 18 (2). P. 2567–2572.
- Strom N. Noah Interactions between Soil Properties, Fungal Communities, the Soybean Cyst Nematode, and Crop Yield under Continuous Corn and Soybean Monoculture // Applied Soil Ecology. 2020. Vol. 147. PP. 103–388.





