Lignosulfonate system for inhibition of calcium salt deposits
- Authors: Teptereva G.A.1, Rolnik L.Z.1, Agishev R.E.1, Gusarova E.I.2, Nugaev A.I.3
-
Affiliations:
- Ufa State Petroleum Technical University
- Ufa Scientific and Technical Center LLC
- Nefteсhim Experimental Plant
- Issue: Vol 336, No 2 (2025)
- Pages: 42-51
- Section: Articles
- URL: https://bakhtiniada.ru/2500-1019/article/view/284933
- DOI: https://doi.org/10.18799/24131830/2025/2/4818
- ID: 284933
Cite item
Full Text
Abstract
Relevance. The need to create reagent systems based on raw materials of domestic origin. A feature of the developed inhibitory system is the use of lignosulfonate as a product of "green chemistry". Lignosulfonate is a byproduct of chemical processing of a natural polymer – wood. Depending on the type of processed wood and the method of its delignification, the characteristics of lignosulfonates vary in terms of tannidity (tanning properties 12–36%), in terms of reducing sugars (3–16%), in terms of solids (46–52%), in terms of concentrate color and inhibitory ability against calcium salts (from 45 to 60%).
Aim. Selection of a lignosulfonate matrix modifier to produce a salt deposition inhibitor with protection of more than 90%.
Methods. Turbiscan technology based on multiple optical scanning of vials with samples of the lignosulfonate system in height with registration of two profiles: transmission and backscattering of laser radiation.
Results and conclusions. The lignosulfonate matrix was modified with phosphonic functional groups oxyethylidendiphosphonic acid (ethidronic acid) capable of creating compounds with the propane chain of the lignosulfonate monomer unit (phenylpropane unit). The effectiveness of the inhibitory ability of the lignosulfonate system is calculated by the value of the TSI (Turbiscan Stability Index), which characterizes the sedimentation stability of the tested samples. The stability of the samples is determined by the obtained profiles of changes in the signals received along the height of the sample and during the test and is used to quantify the changes taking place in the test sample. The best results (92%) were obtained on the basis of a lignosulfonate neutral-sulfite production method with a high content of reducing sugars, with a salt deposition inhibitor additive content of no more than 50 mg/l. Presumably, the obtained compounds are classified as esters of alcohol groups of lignosulfonate and phosphonic groups of the reagent modifier.
Full Text
ВВЕДЕНИЕ
Для множества технологических систем, особенно замкнутого типа, решение задач по снижению интенсивности солеотложений не теряет своей актуальности, несмотря на широкий спектр предлагаемых для этой цели товарных форм ингибирующих систем как веществ, способных подавлять или задерживать течение физико-химических процессов, возникающих за счет кристаллизации неорганических солей из пересыщенных растворов [1–3].
По механизму действия ингибиторы солеотложений условно классифицируют по трем направлениям: реагенты стехиометрического, сверхстехиометрического и субстехиометрического воздействия. Первые из перечисленных способны вступать в реакции комплексообразования с катионом малорастворимой соли в мольном соотношении 1:1 с образованием растворимого термодинамически устойчивого комплексного соединения, позволяющего получить полное подавление солеотложения. Это натриевая соль этилендиаминтетрауксусной кислоты (ЭДТА) и ряд других комплексонов [2–6]. Недостатком является применение комплексонов в больших количествах.
Замедление формирования отложений ингибиторами сверхстехиометрического действия основано на влиянии повышения ионной силы раствора на процесс кристаллизации малорастворимых солей путем введения реагентов. С ростом ионной силы раствора уменьшаются коэффициенты активности и увеличивается растворимость малорастворимой соли [3]. Например, известно, что хлорид натрия (NaCl) повышает растворимость кальцита и гипса в воде, замедляя процесс кристаллизации из-за уменьшения степени пересыщения: период индукции увеличивается в 3 раза, реагент (NaCl) при этом не расходуется и остается в системе в химически неизменном состоянии.
На современном этапе для борьбы с солеотложением применяются реагенты субстехиометрического воздействия. Непосредственного влияния на комплексообразование эти системы не оказывают, но способны эффективно смещать процесс образования осадка на более позднее время [4–7]. К реагентам субстехиометрического воздействия относятся: полифосфаты, фосфонаты и поликарбоксилаты [5, 6, 8–10].
Требования к составам и рецептурам товарных продуктов на современном этапе повышаются в сторону увеличения доли компонентов природного происхождения. Одним из перспективных направлений при создании современных отечественных систем, способных ингибировать отложения солей кальция, может быть применение побочного продукта химической переработки древесины – лигносульфоната в качестве сырьевой основы.
ОБЪЕКТЫ И МЕТОДИКА ИССЛЕДОВАНИЯ
Общее направление работы заключается в получении эффективного ингибитора солеотложения кальцита путем модификации матрицы лигносульфоната фосфоновыми функциональными группами (фосфорилирующий агент).
Объектами модификации являются лигносульфонаты:
Ароматическая часть древесины представлена лигнином. В природе лигнин встречается исключительно совместно с целлюлозой, которая составляет в древесине углеводную часть. Ароматическая и углеводная части соединены эфирной связью [11–16].
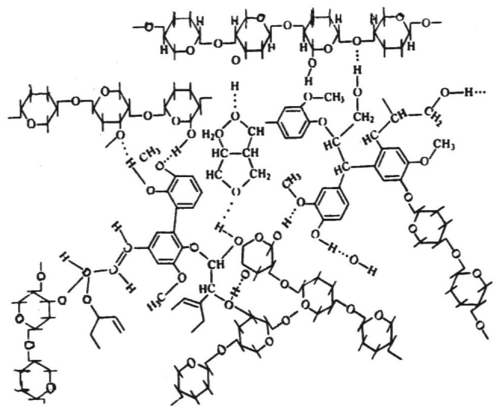
Однако существующие схемы строения лигнина и способ его соединения с углеводами в составе древесины являются только гипотетическим (рис. 1).
Рис. 1. Структура лигноуглеводной матрицы
Fig. 1. Structure of the lignocarbon matrices
Особенностью и причиной использования лигносульфонатов в целом спектре отраслей промышленности являются их дубящие (ингибирующие) свойства, обусловленные наличием в составе ароматической части коричных спиртов: кониферилового (I), синапового (II), кумарового (III).
За мономерную единицу полимера (древесины) принята фенилпропановая единица (ФПЕ), принадлежащая конифериловому спирту. Фрагментарно ароматическая часть лигнина может иметь вид (рис. 2).
Рис. 2. Условная схема фрагмента макромолекулы лигнина
Fig. 2. Conditional diagram of a lignin macromolecule fragment
Известны три основные реакции, одновременно происходящие с лигнином при делигнификации древесины при сульфитной варке:
- реакция сульфирования;
- реакция гидролитической деструкции;
- реакция конденсации.
Варки проходят в присутствии сульфирующего агента, которым в основном является сернистая кислота H2SO3.
Указанные выше типы реакций позиционируются как гетеролитические реакции, протекающие по механизму нуклеофильного замещения, при котором боковая цепь фенилпропанового звена подвергается атаке нуклеофильных агентов [11–16]. Реакции сульфирования и гидролитической деструкции способствуют растворению лигнина. Сульфированные формы лигнина называют лигносульфонатами, и они являются побочными продуктами процесса получения целлюлозы (основного продукта целлюлозно-бумажных предприятий). Однако в сильнокислой среде варочных растворов растворение лигнина замедляется за счет реакции конденсации, которая активируется с ростом температуры и снижением рН среды, препятствуя этим его растворению и способности к сульфированию. Кроме того, в кислой среде идут коллоидно-химические изменения, снижающие реакционную способность лигнина и ведущие к его инактивации. В щелочной среде варочного раствора проходит реакция деметилирования, способствующая образованию пирокатехинатов, что весьма благоприятно для повышения дубящих свойств лигносульфонатов.
В целом деструкция способствует, а конкурирующая с ней реакция конденсации препятствует делигнификации древесины. Защитой лигнина от конденсации является сульфирование, и наоборот, реакция конденсации препятствует реакции сульфирования. Причем долгое время обсуждаемый вопрос: в каком именно положении: α, β или γ, находится в ФПЕ сульфогруппа, получил свое окончательное решение как непринципиальный [13, 14].
Разрушение сетчатой структуры лигнина протекает по механизму сольволитической деструкции, что при кислой сульфитной варке обеспечивает достаточную степень делигнификации древесины.
Однако в нейтральной и щелочной средах разрушения сетчатой структуры лигнина практически не происходит, поскольку сольволитическая деструкция идет только в фенольных структурах через образование промежуточного хинонметида. Именно это обстоятельство является выраженной особенностью физико-химических свойств нейтральных лигносульфонатов [11–14]. Происходят коллоидно-химические изменения, ведущие к снижению и реакционной способности, и растворимости лигнина и его сульфопроизводного – лигносульфоната [14–16].
Состав и количественное содержание функциональных групп (метоксильных, фенольных гидроксильных, спиртовых) варьируется по способам варки и породам перерабатываемого сырья, обеспечивают возможность модифицирования матрицы лигносульфоната [14–16].
Ингибирующую способность жидкого образца лигносульфонатного ингибитора солеотложения по отношению к кальциту определяли по показателю седиментационной устойчивости с помощью технологии Turbiscan.
Технология Turbiscan основана на многократном оптическом сканировании по высоте виалы с образцом (рис. 1) с регистрацией двух профилей: пропускания и обратного рассеивания лазерного излучения. Прибор Turbiscan Tower позволяет анализировать стабильность дисперсных систем сразу в шести образцах. Величиной, характеризующей седиментационную стабильность образца, является показатель TSI (Turbiscan Stability Index). Полученные профили изменения сигналов исследуемых образцов варьируются по высоте и времени, далее суммируются и используются для количественной оценки свойств образца. Получаемый в результате оценки числовой параметр, характеризует скорость всех процессов дестабилизации. Чем больше это число, тем менее устойчивым является образец.
Для расчета кривых TSI используется приведенная ниже формула, основанная на вычислении накопительной суммы отклонений каждого следующего скана от предыдущего. Для каждого образца в виале сумма изменений нормируется на высоту образца H:
.
Эффективность ингибирования образования солей определяли по уравнению:
,
где TSI0 – индекс стабильности, получаемый без применения ингибитора солеотложения (ИСО); TSIing – индекс стабильности с применением ИСО.
Условия эксперимента:
состав модели воды, мг/л: Ca2+ – 270; Mg2+ – 30,4; Na+ – 3178,6; Cl– – 4550; HCO3– – 1525,3; температура 48 °С (нагревание способствует активному выпадению кальцита и обеспечивает визуальную фиксацию фона и ингибитора). В качестве агента сравнения использовали водный раствор оксиэтилидендифосфоновой кислоты (ОЭДФК) с концентрацией 20 мг/л.
РЕЗУЛЬТАТЫ ИССЛЕДОВАНИЯ И ИХ ОБСУЖДЕНИЕ
- ИСО на основе нейтрально-сульфитного лигносульфоната
Концентрация ИСО на основе нейтрально- сульфитного лигносульфоната составляла 20, 50, 100, 150 мг/л.
Внешний вид виал через 4 часа 10 мин после начала сканирования (рис. 3).
Рис. 3. Внешний вид виал через 4 часа 10 мин после начала опыта, слева направо: 1 – фон, 2 – ОЭДФК 20 мг/л, 3 – ИСО на основе НЛСТ 20 мг/л, 4 – ИСО НЛСТ 50 мг/л, 5 – ИСО НЛСТ 100 мг/л, 6 – ИСО НЛСТ 150 мг/л
Fig. 3. Appearance of the vial in 4 hours 10 min after the start of the experiment, from left to right: 1 – background, 2 – OEDFC 20 mg/L, 3 – ISO based on NLST 20 mg/L, 4 – ISO NLST 50 mg/L, 5 – ISO NLST 100 mg/L, 6 – ISO NLST 150 mg/L
Визуально при данных концентрациях раствор также оставался прозрачным, образование осадка не обнаруживалось, в отличие от фонового раствора и раствора с ОЭДФК в концентрации 20 мг/л.
- ИСО на основе сульфитного лигносульфоната
Концентрации ИСО на основе ЛСТ – 20, 50, 100, 150 мг/л.
Внешний вид виал через 4 часа 10 мин после начала сканирования (рис. 4).
Рис. 4. Внешний вид виал через 4 часа 10 мин после начала опыта, слева направо: 1 – фон, 2 – ОЭДФК 20 мг/л, 3 – ИСО ЛСТ 20 мг/л, 4 – ИСО ЛСТ 50 мг/л, 5 – ИСО ЛСТ 100 мг/л, 6 – ИСО ЛСТ 150 мг/л
Рис. 4. Внешний вид виал через 4 часа 10 мин после начала опыта, слева направо: 1 – фон, 2 – ОЭДФК 20 мг/л, 3 – ИСО ЛСТ 20 мг/л, 4 – ИСО ЛСТ 50 мг/л, 5 – ИСО ЛСТ 100 мг/л, 6 – ИСО ЛСТ 150 мг/л
Визуально при данных концентрациях раствор оставался прозрачным, образование осадка не обнаруживалось, в отличие от фонового раствора и раствора ОЭДФК в концентрации 20 мг/л.
При этом необходимо отметить, что ОЭДФК показал низкую эффективность и значение TSI, близкое к фоновому. В образце с ОЭДФК образовывалась мелкодисперсная взвесь, часть которой оставалась во взвешенном состоянии по всему объему раствора, в то время как в фоновом образце кристаллы более крупные и оседали на дне и стенках виалы. Однако на начальном этапе кристаллообразования, в пределах 20–30 минут, ОЭДФК имеет высокую эффективность (рис. 4, 5).
- ИК-спектр образца ИСО на основе НЛСТ получен на приборе ИК-Фурье-спектрометр в диапазоне частот 400–4000 см–1 (рис. 5)
Рис. 5. ИК-спектр образца ИСО на основе нейтрально-сульфитного лигносульфоната
Fig. 5. IR spectrum of ISO sample based on neutral-sulfite lignosulfonate
Данные ИК-спектра полученной лигносульфонатной системы для ингибирования солеотложений кальцита показывают наличие выраженного пика при значении волнового числа 3357,70 см–1, характерного для валентных колебаний внутри- и межмолекулярных водородных связей групп О-Н для полимеров, которыми являются и лигносульфонаты. Волновые числа (1004,13 см–1 ) характерны для свободных спиртовых ОН-групп пропановой цепочки, а также для циклических структур (1154,50 см–1) со связью С-О. Наличие связи С=С подтверждается волновыми числами 1636,76, 1508,06 и 1458,49 см–1 [17, 18, 19–22].
По совокупности можно предполагать наличие соединений ряда фурфурола, фурана. Наличие пиков при волновых числах 2888,8 и 2897 см–1 свидетельствует об альдегидных (карбонильных) группах, что характерно для нейтрально-сульфитных лигносульфонатов, являющихся выраженно недоокисленными соединениями. Все вышеописанное в модифицированных формах при использовании фосфоновых групп дополняется наличием пиков 2435,00–2362,81 см–1. Связь Р=О 1350–1175 см–1 (свободные молекулы) и связь Р=О 1250–1150 см–1 (ассоциированные молекулы) в спектре ИСО не обнаруживаются, однако получение фосфитов (RO)3P 855–875 см–1 вполне возможно, поскольку присутствует пик с волновым числом 930 см–1.
- УФ-спектры растворов лигносульфонатов до и после их модификации фосфоновыми группами ОЭДФК получены на спектрофотометре СПЕКСС -700 (рис. 6)
Рис. 6. Спектр НЛСТ без модификации фосфоновыми группами ОЭДФК
Fig. 6. NLST spectrum without phosphon group modification by EDPK
В диапазоне волн 190–350 нм отражается ароматическая составляющая лигносульфонатов (функциональные группы фенилпропанового звена лигнина). С 450 нм и далее в области длинноволнового излучения можно наблюдать углеводную часть спектра.
Спектр лигносульфоната, модифицированного фосфоновыми группами, имеет отличия от исходного спектра (рис. 7).
Рис. 7. Спектр НЛСТ с модификацией фосфоновыми группами ОЭДФК
Fig. 7. NLST spectrum modified with EDPK phosphon groups
Видно появление пиков при λ=370 нм, что является характеристикой образования новых соединений при взаимодействии НЛСТ с ОЭДФК.
Результаты расчета эффективности ингибирования образования кальцита в присутствии ОЭДФК и образца ИСО на основе НЛСТ показаны в табл. 1.
Таблица 1. Эффективность ингибирования образования кальцита ОЭДФК и ИСО на основе НЛСТ
Table 1. Potency of inhibition of calcite formation by EDPK and ISO based on NLST
Ингибитор и концентрация Inhibitor and concentration | TSI 4 часа TSI 4 hours | Эффективность Effectiveness, % | |
0 | 37,0 | – | |
мг/л mg/l | ОЭДФК 20 OEDFC 20 | 13,8 | 62,7 |
ИСО НЛСТ 20 ISO NLST 20 | 7,3 | 80,2 | |
ИСО НЛСТ 50 ISO NLST 50 | 2,8 | 92,4 | |
ИСО НЛСТ 100 ISO NLST 100 | 3,6 | 90,3 | |
ИСОНЛСТ 150 ISO NLST 150 | 8,4 | 77,3 | |
Максимальная эффективность наблюдается при концентрации 50 мг/л и составляет 92,4 %.
Таким образом, ингибитор солеотложения на основе лигносульфоната нейтрально-сульфитного способа показал высокую эффективность ингибирования процесса отложения кальцита по результатам теста на седиментационную устойчивость.
Расчет эффективности ингибирования образования кальцита в присутствии ОЭДФК и ИСО на основе ЛСТ (табл. 2).
Таблица 2. Эффективность ингибирования кальцита ОЭДФК и ИСО на основе ЛСТ
Table 2. Effectiveness of calcite inhibition of EDFC and ISO based on LST
Ингибитор и концентрация Inhibitor and concentration | TSI 4 часа TSI 4 hours | Эффективность Effectiveness, % | |
0 | 10,1 | – | |
мг/л mg/l | ОЭДФК 20 мг/л OEDFC 20 mg/L | 13,8 | 62,7 |
ИСО ЛСТ 20 мг/л ISO LST 20 mg/l | 7,3 | 80,2 | |
ИСО ЛСТ 50 мг/л ISO LST 50 mg/l | 2,8 | 92,4 | |
ИСО ЛСТ 100 мг/л ISO LST 100 mg/l | 3,6 | 90,3 | |
ИСО ЛСТ 150 мг/л ISO LST 150 mg/l | 8,4 | 77,3 | |
На основании проведенных исследований можно обоснованно считать, что полученные на основе лигносульфонатов ИСО имеют высокую эффективность в отношении ингибирования отложения кальцита, что подтверждено тестами на седиментационную устойчивость в диапазоне концентраций 20–150 мг/л. Оптимальной можно считать концентрацию ИСО, равную 50 мг/л.
Для ИСО на основе НЛСТ эффективность выше на 15–18 % и составляет 92,4 % при концентрации 50 мг/л, что является характеристикой, соответствующей требованиям к системам ИСО, применяемым в нефтяной промышленности [18–21].
По рис. 7 видно, что для спектра НЛСТ без модификации фосфоноами характерна минимальная величина пиков при λ=270–280 нм (ОН-фенольные группы). В то время как модификация фосфоновыми группами ОЭДФК изменяет картину спектра лигносульфоната: появляется сдвиг оптической плотности, что отражается в наличии ранее отсутствующего пика при длине волны 370 нм и является свидетельством прохождения реакции взаимодействия.
Возможно образование соединения следующего строения по схеме (рис. 8).
Рис. 8. Схема образования сложноэфирного соединения в результате реакции этерификации
Fig. 8. Scheme of an ester compound formation as a result of the esterification reaction
Считаем, что модификация матрицы лигносульфоната возможна за счет встраивания фосфонового фрагмента в алифатическую пропановую цепочку мономерного звена лигносульфоната. Это согласуется с комплексообразующими свойствами фрагмента (НРО32–). Фосфоновые группы фосфорилирующего агента представлены рядом протонированных форм: РО32–, РО3Н–, РО3Н2–. При этом РО32– обладает значительно большей электроотрицательностью, чем группа СОО–, замена которой и осуществляется в процессе модификации. Подобная замена обоснована стереохимией фосфонат-иона, имеющего форму тетраэдра, в то время как для других функциональных групп фенилпропанового звена лигносульфоната характерна плоская конфигурация.
Все указанные комплексоны, содержащие фосфоновые группы, объединяет отсутствие связанной воды в их составе. Для лигносульфоната протонирование алифатической цепочки ФПЕ способно привести к образованию крупных агломератов аниона лигносульфоновой кислоты вокруг катиона-комплексообразователя (кальция). Для фосфоновых соединений характерна и большая дентантность, позволяющая объединить в комплексные структуры большее количество лигандов с образованием комплексонов ФПЕ лигносульфоната с катионами кальция [16–23].
Таким образом, появление нового соединения отражается УФ-спектром, который имеет выраженные отличия от УФ-спектра исходного НЛСТ. В коротковолновой области (200–400 нм) видно, что все пики пропорционально сместились в сторону повышения оптической плотности (D) (гипохромный эффект). При этом нечеткие пики трансформировались в более выраженные (265 и 285 нм), что характерно для этерифицированных фенольных фрагментов. В области более 400 нм, наоборот, спектр исходного ЛСТ претерпевает небольшой гиперхромный эффект, при котором пики 535 и 575 нм вырождаются и появляется выраженный пик на 405 нм, что свидетельствует о наличии гипсохромного сдвига и является признаком образования эфирных связей.
Кроме того, видно появление «плеча» в области 310–336 нм, что доказывает образование новых продуктов. Падение оптической плотности в области 390–410 нм объясняется аддитивной разницей поглощений ряда полученных изолированных хромофорных систем.
В целом приведенные УФ-спектры показывают, что реагентные системы на основе НЛСТ с модификацией фосфоновыми группами способствуют образованию комплексонатов и появлению эфирных групп, что коррелирует с результатами сканирования образцов ИСО по технологии Турбискан.
ВЫВОДЫ
- Разработана новая лигносульфонатная система с защитным действием 92 %, предназначенная для защиты от отложений кальцита в технологических схемах различного назначения.
- Получены спектральные характеристики разработанной лигносульфонатной системы, отражающие возможность встраивания фосфоновых функциональных групп в матрицу лигносульфоната
- Установлено, что наиболее эффективной основой для получения ингибитора солеотложений кальцита является лигносульфонат только нейтрально-сульфитного способа делигнификации.
About the authors
Galina A. Teptereva
Ufa State Petroleum Technical University
Author for correspondence.
Email: teptereva.tga@yandex.ru
ORCID iD: 0000-0003-2328-6761
Dr. Sc., Professor
Russian Federation, 1, Kosmonavtov street, Ufa, 450068Lyubov Z. Rolnik
Ufa State Petroleum Technical University
Email: rolnikk@mail.ru
ORCID iD: 0000-0002-8402-1516
Dr. Sc., Professor
Russian Federation, 1, Kosmonavtov street, Ufa, 450068Roman E. Agishev
Ufa State Petroleum Technical University
Email: roman.agishev@gmail.com
ORCID iD: 0009-0006-5361-2774
Postgraduate Student
Russian Federation, 1, Kosmonavtov street, Ufa, 450068Ekaterina I. Gusarova
Ufa Scientific and Technical Center LLC
Email: gusarovaei@ufntc.ru
ORCID iD: 0009-0006-9203-6175
Head of the Laboratory
Russian Federation, 59, Aksakov street, Ufa, 450076
Andrey I. Nugaev
Nefteсhim Experimental Plant
Email: nugaevai@neftehim.su
ORCID iD: 0009-0005-6991-3443
Deputy Head of the Laboratory
Russian Federation, 8, Zelenaya Roshcha street, Ufa, 450078References
- Ovchinnikov K.A., Podlesnova E.V., Safarov F.E., Akhmetov A.T., Fakhreeva A.V., Gusarova E.I., Sergeeva N.A., Telin A.G. Stabilization of swelling aluminosilicate suspensions. Colloidal journal, 2023, vol. 85, no. 6, pp. 795–805. (In Russ.) doi: 10.31857/S0023291223600773.
- Popov K., Oshchepkov M., Kamagurov S., Tkachenko S., Dikareva Yu., Rudakova G. Synthesis and properties of novel fluorescent-tagged polyacrylate-based scale inhibitors Journal of applied polymer science, 2017, vol. 134, Iss. 26, pp. 45017. doi: 10.1002/app.45017
- Popov K., Ryabova A., Redchuk A., Tkachenko S., Dikareva J., Koltinova E., Oshchepkov M. Barite crystallization in presence of novel fluorescent-tagged antiscalants. International Journal of Corrosion and Scale Inhibition, 2019, vol. 8, no. 4, pp. 998–1021. doi: 10.17675/2305-6894-2019-8-4-12.
- Dokichev V.A., Koptyaeva E.I., Ishmuratov F.G., Telin A.G., Voloshin A.I., Alimbekova S.R., Grekov S.N., Tomilov Yu.V., Nifantiev N.E. Carbohydrates – a new class of "green" salt deposition inhibitors. Oil industry, 2016, no. 5, pp. 92–94.
- Oshchepkov M., Golovesov V., Ryabova A., Redchuk A., Tkachenko S., Pervov A., Popov K. Gypsum crystallization during reverse osmosis desalination of water with high sulfate content in presence of a novel fluorescent-tagged polyacrylate. Crystals, 2020, vol. 10, Iss. 4, pp. 309–335. doi: 10.3390/cryst10040309.
- Popov K.I., Oshchepkov M.S., Shabanova N.A., Dikareva Yu.M., Larchenko V.E., Koltinova E.Ya. DLS study of a phosphonate induced gypsum scale inhibition mechanism using indifferent nanodispersions as the standards of a light scattering intensity comparison International Journal of Corrosion and Scale Inhibition, 2018, vol. 7, Iss. 1, pp. 9–24. DOI: 0.17675/2305-6894-2018-7-1-2.
- Ishmuratov F.G., Koptyaeva E.I., Voloshin A.I., Telin A.G., Tomilov Yu.V., Nifantiev N.E., Dokichev V.A. Arabinogalactan is an effective inhibitor of calcium carbonate salt deposition. Russian Journal of Applied Chemistry, 2015, vol. 88, no. 12, pp. 1672–1675. (In Russ.)
- Oshchepkov M., Golovesov V., Ryabova A., Tkachenko S., Redchuk A., Rönkkömäki H., Rudakova G., Pervov A., Popov K. Visualization of a novel fluorescent-tagged bisphosphonate behavior during reverse osmosis desalination of water with high sulfate conten. Separation and Purification Technology, 2021, vol. 255, pp.117382. DOI: 0.1016/j.seppur.2020.117382.
- Popov K.I., Kovaleva N.E., Rudakova G.Ya., Kombarova S.P., Larchenko V.E. The current state of development of biodegradable salt deposition inhibitors for various water use systems (review). Teploenergetika, 2016, no. 2, pp. 46–58. (In Russ.) doi: 10.1134/S0040363616010094.
- Sosso G.C., Chen J., Cox S.J., Fitzner M., Pedevilla P., Zen A, Michaelides A. Crystal nucleation in liquids: open questions and future challenges in molecular dynamics simulations. Chemical Reviews, 2016, vol. 116, Iss. 12, pp. 7078–7116. doi: 10.1021/acs.chemrev.5b00744.
- Nikitin V.M., Obolenskaya A.V., Shchegolev V.P. Chemistry of wood and cellulose. Moscow, Lesnaya promyshlennost Publ., 1978. 368 p. (In Russ.)
- Nikitin V.M. Theoretical foundations of delignification. Moscow, Lesnaya promyshlennost Publ., 1981. 296 p. (In Russ.)
- Teptereva G.A. Formation and development of production and application of lignosulfonates and their modified derivatives. Ufa, Ufa Scientific and Publication Center Oil and Gas business, 2023. 275 p. (In Russ.)
- Yemelyanova I.Z. Chemical and technical control of hydrolysis production. Moscow, Lesnaya promyshlennost Publ., 1976. 322 p. (In Russ.)
- Nepenin N.N. Pulp technology. Production of sulfite cellulose.2nd ed., reprint. Ed. by Yu.N. Nepenin. Moscow, Lesnaya promyshlennost Publ., 1976. Vol. 1, 624 p.
- Veshnyakov V.A., Khabarov Yu.G., Kamakina N.D. Comparison of methods for determining reducing substances: Bertrand's method, ebuliostatic and photometric methods. Chemistry of vegetable raw materials, 2008, no. 4, pp. 47–50. (In Russ.)
- Papathanasiou K.E., Vassaki M., Spinthaki A., Alatzoglou F.-E.G., Tripodianos E., Turhanen P., Demadis K.D. Phosphorus chemistry: from small molecules, to polymers, to pharmaceutical and industrial applications. Pure and Applied Chemistry, 2019, vol. 91, Iss. 3, pp. 421–441. doi: 10.1515/pac-2018-1012.
- Benecke J., Haas M., Baur F., Ernst M. Investigating the development and reproducibility of heterogeneous gypsum scaling on reverse osmosis membranes using real-time membrane surface imaging. Desalination, 2018, vol. 428, pp. 161–171. doi: 10.1016/j.desal.2017.11.025.
- Gromov S.L. Sedimentation in rolled reverse osmotic and nanofiltration elements and ways to prevent it. Thermal power engineering, 2014, no. 6, pp. 49–58. (In Russ.) doi: 10.1134/S0040363614060034.
- Kuzkin S.B., Besser A.D. Towards the development of a new concept of technology for processing non-ferrous metal ores. Non-ferrous metallurgy, 2000, no. 1, pp. 1–5.
- Larin A.B., Karpychev E.A. Issues and problems of energy and resource conservation at thermal power plants. Energy saving and water treatment, 2018, no. 1, pp. 3–11.
- Beknazarov E.M., Lutfullaev S.Sh., Saidalov F.M. Investigation of IR spectra in the processing of secondary polymers. Universum: technical sciences: electron. scientific journal, 2021, vol. 5 (86). doi: 10.32743/UniTech.2021.86.5.11716. Available at: https://7universum.com/ru/tech/archive/item/11716 (accessed 10 August 2024).
- Kang W., Wang T., Zhang H., Hou X., Zhang X., Zhu T., Chen C., Yang H. A dynamic scale location monitor method to predict oilfield blockage during water flooding. Journal of Petroleum Science and Engineering, 2020, vol. 191, pp. 107168. doi: 10.1016/j.petrol.2020.107168
Supplementary files











