Разработка наблюдателя угловой скорости ротора и момента сопротивления на валу регулируемого синхронного двигателя с постоянными магнитами, питающегося через длинный кабель
- Авторы: Глазырин А.С.1,2, Попов Е.И.3, Копырин В.А.3, Попов С.С.1,4, Боловин Е.В.1,5, Ковалев В.З.1,2, Хамитов Р.Н.3,6, Тимошкин В.В.1
-
Учреждения:
- Национальный исследовательский Томский политехнический университет
- Югорский государственный университет
- Тюменский индустриальный университет
- ООО «НПФ Мехатроника-Про»
- ООО ИНТ АО «ЭлеСи»
- Омский государственный технический университет
- Выпуск: Том 335, № 11 (2024)
- Страницы: 237-257
- Раздел: Статьи
- URL: https://bakhtiniada.ru/2500-1019/article/view/276219
- DOI: https://doi.org/10.18799/24131830/2024/11/4879
- ID: 276219
Цитировать
Полный текст
Аннотация
Актуальность. В настоящее время при эксплуатации погружных электродвигателей в установках центробежных электронасосов, находящихся в режиме циклической эксплуатации, наблюдается снижение межремонтного периода погружного оборудования, что связано со снижением периодов откачки нефти до нескольких минут. Вследствие этого происходит кратное увеличение пусковых токов и крутящего момента, что приводит к росту механических нагрузок на вал насоса и появлению резонансных явлений при разгоне электродвигателя, снижающих надежность гидрозащиты. Для решения данных проблем необходим синтез замкнутых систем векторного управления с контролем тока и электромагнитного момента в переходных процессах. В эксплуатации применяются разомкнутые скалярные системы управления электроприводов скважинной добычи нефти, что связано со сложностью получения сигналов обратной связи по угловой скорости ротора и моменту сопротивления на валу средствами погружной телеметрии. Данная проблема обуславливает актуальность и необходимость разработки наблюдателей для оценки угловой скорости и момента сопротивления на валу, учитывающих особенности технологического процесса установок центробежных электронасосов, в частности наличие длинного кабеля для питания погружного электродвигателя на базе синхронной машины с постоянными магнитами.
Цель: разработка наблюдателя полного порядка угловой скорости ротора и момента сопротивления на валу для динамической системы «длинный питающий кабель – синхронный двигатель с постоянными магнитами».
Методы: методы системного анализа и идентификации динамических систем, методы построения наблюдателей Люенбергера, методы математического моделирования динамических систем, электропривода и электрических машин.
Результаты и выводы. Предложена настраиваемая математическая модель наблюдателя полного порядка угловой скорости ротора и момента сопротивления на валу для динамической системы «длинный питающий кабель – синхронный двигатель с постоянными магнитами». Исследована работоспособность наблюдателя при изменяющейся нагрузке на валу, рассогласовании ненулевых начальных условий, отклонении параметров схемы замещения наблюдателя и объекта в диапазоне от –20 до +20 % от номинальных значений.
Полный текст
Введение
Синхронные двигатели с постоянными магнитами (СДПМ) в последние годы нашли широкое распространение в установках центробежных электронасосов (УЭЦН) в качестве альтернативы асинхронным погружным электродвигателям (ПЭД) [1]. Особый интерес представляет вопрос применения погружных электродвигателей на базе синхронных машин с постоянными магнитами в скважинах, находящихся в режиме циклической эксплуатации (ЦЭС) [2]. К причинам перевода скважин в режим ЦЭС можно отнести повышение обводненности и уменьшение подпора пласта, деструкцию притока (снижение коэффициента продуктивности), а также снижение пластового давления в скважине и засорение призабойной зоны пласта [3]. Скважины-кандидаты на перевод в режим ЦЭС характеризуются малым или средним, но монотонно снижающимся дебитом [4]. В опубликованных в 2011 г. результатах испытаний ЦЭС, проведенных компанией АО «Самотлорнефтегаз» [5], было показано, что межремонтный период (МРП) погружного оборудования увеличился до 2,8 раз по сравнению с непрерывным режимом эксплуатации скважины за счет снижения удельного времени работы оборудования при дебите 130 м3/сут. Кроме того, отмечается снижение потребления электроэнергии на 48 % и увеличение добычи на 5–7 %. Аналогичные результаты были опубликованы в 2018 г. специалистами компании ООО «Лукойл – Западная Сибирь» [6].
Однако более поздние результаты исследований, представленные компанией АО «Новомет-Пермь», свидетельствуют о снижении надежности погружного оборудования [7]. К основным причинам снижения наработки на отказ УЭЦН в опубликованной работе авторы относят:
- значительное увеличение пусковых токов и, как следствие, механических нагрузок, действующих на вал насоса, что приводит к быстрому старению изоляции обмоток ПЭД, смятию шпонок и шпоночных пазов рабочих колес и накоплению остаточных деформаций валов и опор;
- снижение надежности гидрозащит, связанное с появлением резонансных явлений при разгоне ПЭД, вызывающих повышенную вибрацию оборудования и вследствие этого рост утечек через торцевые уплотнения [7].
Существующие в данный момент станции управления УЭЦН (например, Электон-05 [8]) позволяют осуществлять длительный пуск погружного электродвигателя в течение 30–40 минут для его последующей работы в непрерывном режиме на протяжении нескольких недель. Такая ситуация действительно позволяет реализовать плавный пуск ПЭД, не допускающих бросков тока и крутящего момента, так как вольт-частотный способ разгона преобразователей частоты заменяет динамику пуска на квазистатический режим.
Периоды откачки нефти при циклической эксплуатации скважин могут составлять от 4 до 10 минут [4], и в данном случае нельзя говорить о процессе плавного пуска ПЭД. Современные отечественные станции управления УЭЦН позволяют реализовать только разомкнутую скалярную систему управления электроприводом погружного насоса, функционал которой сводится к частотному регулированию скорости ПЭД [9], что недостаточно для контроля пусковых токов на малых отрезках времени откачки при ЦЭС.
Ограничение бросков тока и момента может быть достигнуто только применением замкнутых векторных систем управления и систем с прямым управлением моментом. В [5] отмечается, что повышенное содержание механических примесей может приводить к заклиниванию рабочих органов ЭЦН, и средствами микропроцессорной системы управления можно выполнить процесс «расклинивания». Однако на практике попытка «расклинить» насос за счет увеличения подачи приводит к срезу шпонок или деформации вала. В этом случае более рациональным является вариант управления ПЭД с прямым контролем момента сопротивления на валу, позволяющий в осложненных условиях не допускать критического состояния, при котором импульсный режим уже не позволяет провести очистку насоса с контролем вывода на номинальный режим.
Отдельного внимания заслуживают вопросы охлаждения ПЭД. В режиме непрерывной эксплуатации охлаждение электродвигателя осуществляется за счет обтекающей его жидкости, поток которой направлен от забоя к насосу. В режиме ЦЭС жидкость поступает в насос над уровнем ПЭД, что приводит к нарушению его условий охлаждения. Решением данной задачи служит не только выбор оптимальных интервалов работы УЭЦН, но и ограничение пусковых токов ПЭД [10].
Реализация замкнутой системы управления ПЭД может осуществляться непосредственными измерениями сигналов с датчиков угловой скорости и момента на валу. Однако сигналы с датчиков погружной телеметрии в цепях обратной связи характеризуются высокой инерционностью. Скорость передачи сигналов с датчиков позволяет использовать их для целей информационного обеспечения, но она оказывается недостаточной для реализации устойчивой замкнутой системы управления. Кроме того, установка датчиков не всегда экономически целесообразна и технически возможна в силу особенностей теплового режима работы скважин.
На сегодняшний день для реализации замкнутых систем электропривода УЭЦН наиболее перспективной является технология получения оценок угловой скорости и момента сопротивления на валу с помощью косвенных методов – наблюдателей состояния электродвигателя [11] на основе явных математических моделей. Вследствие высокой распространенности асинхронных погружных электродвигателей в УЭЦН на сегодняшний день в литературе достаточно широко рассмотрены вопросы разработки наблюдателей состояния для асинхронных ПЭД [12–14]. Кроме того, значительное внимание в научных источниках уделено вопросам синтеза наблюдателей угловой скорости синхронных двигателей с постоянными магнитами на основе наблюдателей Люенбергера [15–17], фильтров Калмана [18–20] и метаэвристических алгоритмов [21–24]. Однако самостоятельного рассмотрения требует задача синтеза наблюдателей состояния для регулируемых синхронных электроприводов погружных насосов, которые учитывают особенности процесса скважинной добычи нефти: наличие длинного кабеля и нестационарность параметров схемы замещения электротехнического комплекса, что обуславливает актуальность данной работы.
Математическая модель наблюдателя полного порядка электротехнической системы «кабельная линия – синхронный двигатель с постоянными магнитами»
Электротехническая подсистема УЭЦН включается в себя силовую электрическую цепь, состоящую из последовательно соединенных преобразователя частоты, синус-фильтра, повышающего трансформатора, нефтепогружного кабеля и погружного электродвигателя. При обеспечении измерения электрических сигналов на входе кабельной линии для построения настраиваемой модели наблюдателя достаточно математической модели электротехнической системы «кабельная линия – синхронный двигатель с постоянными магнитами».
При разработке настраиваемой математической модели наблюдателя были приняты следующие допущения [25]:
- рассматривается неявнополюсная синхронная машина;
- статорная обмотка симметрична;
- магнитный поток, создаваемый постоянными магнитами ротора, не зависит от токов статора и принимается постоянным во времени;
- питание осуществляется от симметричного идеального источника трехфазного напряжения;
- в магнитной цепи синхронной машины отсутствует насыщение, гистерезис и вихревые токи;
- насос УЭЦН эксплуатируется в режиме подъема пластовой жидкости, турбинное вращение не рассматривается;
- распределение температуры вдоль кабельной линии принимается равномерным за счет размещения внутри колонны насосно-компрессорных труб греющего кабеля [26];
- моделирование производится в рамках теории цепей с сосредоточенными параметрами;
- ЭДС СДПМ принимается синусоидальной;
- измерения на входе кабельной линии передаются в станцию управления через идеальные измерительные каналы.
Эталонная модель СДПМ приведена в [27]. В рамках работы моделируется силовая часть электропривода. Структура системы управления не рассматривается, синхронная скорость вращения регулируется выбором амплитуды напряжения питания и углом между векторами ЭДС и напряжения статора [28]. Следовательно, согласно эталонной модели при повышении нагрузки угловая скорость ротора снижается.
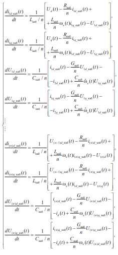
Согласно методике, представленной в [29], математическая модель длинного кабеля может быть разбита на несколько звеньев редуцированной модели в расчете 1 звено на 1 км кабельной линии. Математическая модель динамической системы «длинный кабель – синхронный двигатель с постоянными магнитами» представлена системой дифференциальных уравнений в нормальной форме Коши во вращающейся синхронной с ротором dq системе координат. Модель электромагнитных процессов в длинном кабеле описывается системой (1), модель синхронного двигателя с постоянными магнитами – системой (2).
(1)
(2)
где Ud(t), Uq(t) – проекции вектора питающего напряжения на входе кабельной линии в осях dq, В; i1d_каб(t), i1q_каб(t) – проекции вектора тока в первом звене редуцированной модели кабельной линии, А; U1d_каб(t), U1q_каб(t) – проекции вектора напряжения на выходе первого звена редуцированной модели длинного кабеля, В; n – количество звеньев редуцированной модели кабельной линии; i(n)d_каб(t), i(n)q_каб(t) – проекции вектора тока в n-м звене редуцированной модели кабельной линии, А; U(n)d_каб(t), U(n)q_каб(t) – проекции вектора напряжения на выходе n-го звена редуцированной модели длинного кабеля, В; id(t), iq(t) – проекции вектора тока статора СДПМ, А;we(t) – электрическая угловая скорость, we=Zpwr, рад/c; Zp – число пар полюсов; Rкаб – активное сопротивление токоведущих жил кабельной линии, Ом; Lкаб – индуктивность токоведущих жил кабельной линии, Гн; Cкаб – эквивалентная емкость фазы кабельной линии относительно двух других фаз и брони, Ф; Gкаб – эквивалентная проводимость изоляции кабельной линии, См; R – активное сопротивление статорной обмотки, Ом; L – индуктивность статорной обмотки, Гн; ym – потокосцепление постоянного магнита, Вб; JЭ – эквивалентный момент инерции, приведенный к валу СДПМ, кг∙м2; Mc(t) – момент сопротивления на валу, Н·м.
Математическая модель наблюдателя полного порядка угловой скорости и момента сопротивления на валу системы «кабельная линия – синхронный двигатель с постоянными магнитами» во вращающейся синхронной с ротором dq системе координат записывается следующим образом:
Таблица 1. Параметры математической модели
Table 1. Mathematical model parameters
Параметры электродвигателя/Electric motor parameters | |||||||||||||
Uном, В/Unom, V | Pном, кВт/Pnom, kW | R, Ом/R, ohm | L, мГн/L, mH | Е, В/(об/мин)/Е, V/(об/мин) | J, кг∙м2/J, kg∙m2 | Zp | |||||||
1470/√3 | 32 | 1,528 | 5 | 0,268 | 0,08 | 1 | |||||||
Параметры кабеля/Cable parameters | |||||||||||||
Rкаб, Ом/Rcab, ohm | Lкаб, мГн/Lcab, mH | Cкаб, мкФ/Ccab, µF | Gкаб, мкСм/Gcab, µS | ||||||||||
1,204 | 0,300676 | 0,2125 | 1 | ||||||||||
Коэффициенты отработки невязки настраиваемой модели наблюдателя Gain coefficients for the error correction of the adaptive observer model | |||||||||||||
k1d | k1q | k3d | k3q | kI | TI | ||||||||
0,4 | 0,4 | 0,2 | 0,2 | 1202 | 5,2∙10–6 | ||||||||
где , – оценки проекций вектора тока в первом звене редуцированной модели кабельной линии, А; , – оценки проекций вектора напряжения на выходе первого звена редуцированной модели длинного кабеля, В; n – количество звеньев редуцированной модели кабельной линии; , – оценки проекций вектора тока в n-м звене редуцированной модели кабельной линии, А; , – оценки проекций вектора напряжения на выходе n-го звена редуцированной модели длинного кабеля, В; , – оценки проекций вектора тока статора СДПМ, А; – оценка электрической угловой частоты, , рад/c; k1d, k1q, k3d, k3q, kI – коэффициенты пропорциональной отработки невязок настраиваемой модели наблюдателя, Ом; TI – коэффициент интегральной отработки невязки настраиваемой модели наблюдателя, А·с/(Н·м); – интегральная составляющая оценки момента сопротивления на валу, Н·м.
Выполним проверку работоспособности наблюдателя на математической модели электротехнической системы «кабельная линия – синхронный двигатель с постоянными магнитами». В качестве СДПМ принят погружной вентильный электродвигатель марки ПВЭДН 32-1280, питающийся через длинный кабель марки КПБК-90 3×16, длина кабеля принята равной 3 км. Параметры схемы замещения и технические характеристики электротехнической системы сведены в табл. 1.
Приведенные в табл. 1 коэффициенты пропорциональной и интегральной отработок невязок получены эмпирическим путем. В инженерной практике подбор данных коэффициентов может быть затруднителен и требовать некоторой методики настройки. Альтернативным вариантом является разработка алгоритмов автоматической настройки коэффициентов модели наблюдателя путем применения методов глобальной оптимизации [30, 31] или классической методики синтеза, основанной на приведении характеристического полинома динамической подсистемы к нормированному виду с выбором желаемого распределения его корней [32].
Для количественной оценки работоспособности наблюдателя рассчитывалась статическая ошибка оценок угловой скорости ротора и момента сопротивления на валу СДПМ в конце переходного процесса и в установившемся режиме, а также интегральная погрешность оценок за время переходного процесса по формуле:
где А(t) – угловая скорость ротора, или момент сопротивления на валу СДПМ; – оценка угловой скорости ротора, или момента сопротивления на валу; tкон, tнач – пределы интегрирования, с.
Работоспособность наблюдателя при рассогласовании начальных условий
Одним из основных требований к наблюдателю является его способность к отработке рассогласования начальных условий наблюдателя и объекта. Исследуем работоспособность наблюдателя при следующих начальных условиях угловой скорости ротора: и в режиме пуска на холостом ходу, переходные характеристики исследуемого процесса изображены на рис. 1.
Из анализа переходных характеристик угловой скорости ротора и ее оценок на рис. 2 следует, что в обоих случаях рассогласования начальных условий оценка угловой скорости наблюдателя достигает участка отклонения от эталонной модели не более чем на 5 % за 0,016 с, что меньше времени переходного процесса эталонной модели 0,067 с. Интегральная погрешность оценивания угловой скорости ротора за время переходного процесса при рассогласовании начальных условий составила 6,1 %. В установившемся режиме статическая ошибка оценивания угловой скорости отсутствует.
Работоспособность наблюдателя при изменяющейся нагрузке на валу
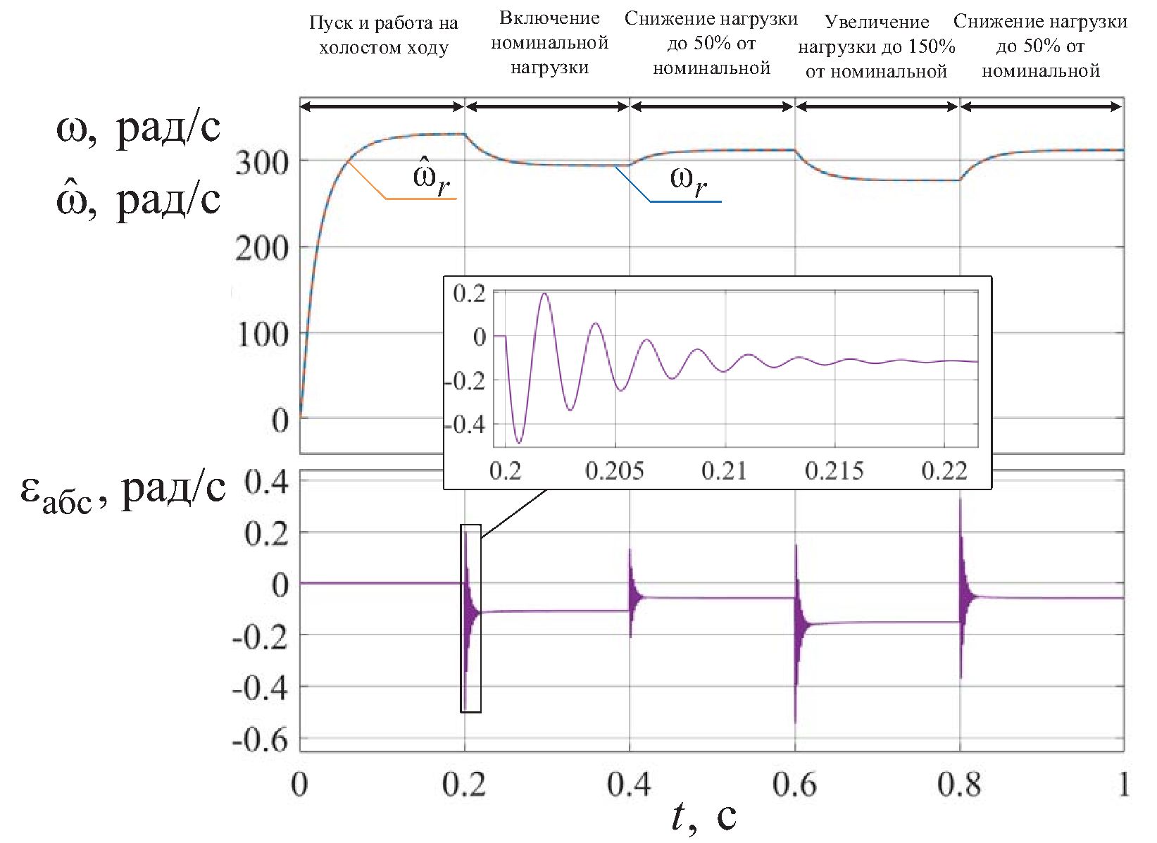
Выполним оценку работоспособности наблюдателя при изменяющейся нагрузке на валу. В качестве условия работоспособности наблюдателя примем, что величина погрешности оценок угловой скорости и момента сопротивления не должна превышать 5 %, что является общепринятым в инженерной практике. Переходные характеристики оценок угловой скорости ротора и ее абсолютной погрешности при различных значениях момента нагрузки приведены на рис. 2, графики переходных процессов момента сопротивления на валу и ее оценки наблюдателем – на рис. 3.
Расчет статических ошибок и интегральных погрешностей оценивания угловой скорости и момента сопротивления на валу на каждом из участков работы сведены в табл. 2.
Как следует из анализа рис. 2, 3 и табл. 2, на всех участках изменения нагрузки относительная погрешность оценивания угловой скорости ротора и момента сопротивления на валу составляет не более 0,05 %.
Рис. 1. Переходные характеристики угловой скорости ротора СДПМ w(t) и ее оценки с помощью наблюдателя при рассогласовании начальных условий
Fig. 1. Transient responses of permanent magnet synchronous motor (PMSM) rotor speed w(t) and rotor speed estimation from observer under different initial conditions
Рис. 2. Переходные характеристики угловой скорости ротора СДПМ w(t) и ее оценки с помощью наблюдателя при изменяющейся нагрузке на валу и график абсолютной погрешности оценки скорости e(t)
Fig. 2. Transient responses of PMSM speed w(t) and rotor speed estimation from observer under varying load torque and rotor speed estimation absolute e(t) error graph
Рис. 3. Переходные характеристики момента сопротивления на валу СДПМ MC(t) при изменяющейся нагрузке на валу
Fig. 3. Transient responses of PMSM load torque MC(t) under varying load torque
Таблица 2. Погрешности оценивания угловой скорости ротора и момента сопротивления на валу синхронного двигателя с постоянными магнитами, питающегося через длинный кабель, для рассматриваемых режимов работы
Table 2. Error in measuring the angular velocity of the rotor and the moment of resistance on the shaft of permanent magnet synchronous motor rotor fed through a long cable for the operating modes under consideration
Режим работы/Operation mode | tнач | tконеч | Δω | σω | ΔMC | σMC |
с/sec | % | |||||
Пуск на холостом ходу/Idle start | 0 | 0,078 | 0 | 0 | – | – |
Работа на холостом ходу/Idling | 0,078 | 0,2 | 0 | – | – | – |
Включение номинальной нагрузки/Rated load torque | 0,2 | 0,226 | 0,04 | 0,04 | 0,04 | 10,6 |
Работа в номинальном режиме/Operation in nominal mode | 0,226 | 0,4 | 0,04 | – | 0,03 | – |
Снижение нагрузки до 50 % относительно номинальной Load reduction up to 50% relative to nominal | 0,4 | 0,404 | 0,05 | 0,03 | 5,7 | 41,6 |
Работа в режиме 50 % относительно номинальной нагрузки Operating at 50% relative to rated load | 0,404 | 0,6 | 0,02 | – | 0,32 | – |
Увеличение нагрузки до 150 % относительно номинальной Load increase up to 150% relative to rated load | 0,6 | 0,625 | 0,05 | 0,06 | 0,2 | 7,6 |
Работа в режиме 150 % относительно номинальной нагрузки Operating at 150% relative to rated load | 0,625 | 0,8 | 0,05 | – | 0,32 | – |
Снижение нагрузки до 50 % относительно номинальной Load reduction up to 50% relative to nominal | 0,8 | 0,822 | 0,02 | 0,03 | 1,1 | 25,6 |
Работа в режиме 50 % относительно номинальной нагрузки Operating at 50% relative to rated load | 0,822 | 1,0 | 0,02 | – | 0,32 | – |
Постфильтрация сигнала оценки момента сопротивления
Переходные процессы оценки момента сопротивления на валу сопровождаются значительными колебаниями, влияющими на интегральную погрешность оценивания. Для фильтрации пульсационной составляющей сигнала оценки сопротивления предлагается применить постфильтрацию на основе фильтра нижних частот первого порядка с передаточной функцией вида:
где Тф – постоянная времени фильтра, p – оператор Лапласа.
Получим оценку момента сопротивления на валу СДПМ (рис. 4) при изменяющейся нагрузке без фильтрации и при различных постоянных времени фильтра относительно коэффициента интегральной отработки невязки: 75·TI, 150·TI, 300·TI. Выполним расчет погрешности оценивания момента сопротивления на валу СДПМ для рассматриваемых режимов работы при изменении постоянной времени фильтра-постфильтратора (табл. 3).
Рис. 4. Переходные характеристики момента сопротивления на валу СДПМ MC(t) при различных постоянных времени фильтра-постфильтратора
Fig. 4. Transient responses of PMSM load torque MC(t) under varying load torque with varying filter time constant
Таблица 3. Погрешности оценивания момента сопротивления на валу СДПМ для рассматриваемых режимов работы при изменении постоянной времени фильтра-постфильтратора
Table 3. Errors of PMSM load torque estimations in all static and dynamic operating modes under consideration with varying filter time constant
Режим работы/Operation mode | tнач | tконеч | σMC | σMC |Тф=75Тi | σMC |Тф=150Тi | σMC |Тф=300Тi |
с/sec | % | |||||
Включение номинальной нагрузки Rated load torque | 0,2 | 0,226 | 10,6 | 8,5 | 6,6 | 7,2 |
Снижение нагрузки до 50 % относительно номинальной Load reduction up to 50% relative to nominal | 0,4 | 0,404 | 41,6 | 35,8 | 29,9 | 37,6 |
Увеличение нагрузки до 150 % относительно номинальной Load increase up to 150% relative to rated load | 0,6 | 0,625 | 7,6 | 6,1 | 4,7 | 5,1 |
Снижение нагрузки до 50 % относительно номинальной Load reduction up to 50% relative to nominal | 0,8 | 0,822 | 25,6 | 20,4 | 15,5 | 16,5 |
Применение фильтров-постфильтраторов для компенсации пульсационных составляющих сигналов оценки переменных состояния нашло широкое применение в теории и практике синтеза наблюдателей, в особенности при разработке наблюдателей на основе скользящих режимов [33–35]. Однако использование линейных фильтров с глубоким подавлением пульсаций приводит к фазовой задержке сигналов оценки момента сопротивления, в связи с чем целесообразным является применение более совершенных структур фильтрации, например, с алгоритмами адаптивной автоподстройки параметров. Выбор каждого конкретного способа фильтрации зависит от задачи и не входит в предмет исследования данной статьи.
При дальнейшем проведении исследования полученные оценки момента сопротивления не будут подвергаться процессу постфильтрации.
Наблюдатель при несоответствии параметров схемы замещения эталонной модели и наблюдателя
При эксплуатации погружного электродвигателя в станцию управления вносятся значения параметров схемы замещения, рассчитанные на заранее предполагаемый температурный режим скважины. Однако в ходе работы электродвигателя могут меняться условия температурного режима, происходит истощение его ресурса. Как следствие, априорная информация о значениях сопротивления статорной обмотки или эквивалентного момента инерции механической подсистемы может оказаться неточной.
Выполним оценку работоспособности наблюдателя при отклонении уставки от фактического значения активного сопротивления статора СДПМ и кабельной линии в станции управления в диапазоне от –20 до 20 % от номинальных значений, а также при отклонении величины момента инерции на +20 % от фактического.
Переходные характеристики по угловой скорости ротора и момента сопротивления на валу при увеличении сопротивления статорной обмотки СДПМ Rст на 20 % представлены на рис. 5, 6, соответственно. Результаты расчета погрешностей оценивания угловой скорости и момента сопротивления приведены в табл. 4.
Рис. 5. Переходные характеристики угловой скорости ротора СДПМ w(t) и ее оценки с помощью наблюдателя и график абсолютной погрешности оценки скорости e(t) при увеличении активного сопротивления статорной обмотки СДПМ Rст на 20 %
Fig. 5. Transient responses of PMSM rotor speed w(t) and rotor speed estimation from observer and rotor speed estimation absolute e(t) error graph with the stator active resistance value Rст increased by 20% of the nominal value
Рис. 6. Переходные характеристики момента сопротивления на валу СДПМ MC(t) при изменяющейся нагрузке на валу при увеличении активного сопротивления статорной обмотки СДПМ Rст на 20 %
Fig. 6. Transient responses of PMSM load torque MC(t) with the stator active resistance value Rст increased by 20% of the nominal value
Таблица 4. Погрешности оценивания угловой скорости ротора и момента сопротивления на валу при увеличении активного сопротивления статорной обмотки СДПМ Rст на 20%
Table 4. Errors of rotor speed and load torque estimations in all static and dynamic operating modes with the stator Rст active resistance value increased by 20% of the nominal value
Режим работы Operation mode | tнач | tконеч | Δω | σω | ΔMC | σMC |
с/sec | % | |||||
Пуск на холостом ходу/Idle start | 0 | 0,083 | 0,25 | 3,1 | – | – |
Работа на холостом ходу/Idling | 0,083 | 0,2 | 0,005 | – | – | – |
Включение номинальной нагрузки/Rated load torque | 0,2 | 0,229 | 0,44 | 0,27 | 2,2 | 10,7 |
Работа в номинальном режиме/Operation in nominal mode | 0,229 | 0,4 | 0,73 | – | 0,32 | – |
Снижение нагрузки до 50 % относительно номинальной Load reduction up to 50% relative to nominal | 0,4 | 0,406 | 0,64 | 0,67 | 14,3 | 34,8 |
Работа в режиме 50 % относительно номинальной нагрузки Operating at 50% relative to rated load | 0,406 | 0,6 | 0,33 | – | 0,31 | – |
Увеличение нагрузки до 150 % относительно номинальной Load increase up to 150% relative to rated load | 0,6 | 0,628 | 0,64 | 0,67 | 1,85 | 7,6 |
Работа в режиме 150 % относительно номинальной нагрузки Operating at 150% relative to rated load | 0,628 | 0,8 | 0,33 | – | 0,32 | – |
Снижение нагрузки до 50 % относительно номинальной Load reduction up to 50% relative to nominal | 0,8 | 0,825 | 0,62 | 0,84 | 4,97 | 24,5 |
Работа в режиме 50 % относительно номинальной нагрузки Operating at 50% relative to rated load | 0,825 | 1,0 | 0,33 | – | 0,31 | – |
Рассмотрим также случай несоответствия сопротивления кабельной линии и обмотки статора СДПМ эталонной модели и наблюдателя. Переходные характеристики по угловой скорости ротора и момента сопротивления на валу при увеличении сопротивления токоведущей жилы кабельной линии Rкаб и сопротивления статорной обмотки СДПМ Rст на 20 % представлены на рис. 7, 8, соответственно. Результаты расчета погрешностей оценивания угловой скорости и момента сопротивления приведены в табл. 5.
Fig. 7. Transient responses of PMSM rotor speed w(t) and rotor speed estimation from observer and rotor speed estimation absolute e(t) error graph with the stator Rст and long cable Rкаб active resistance value increased by 20% of the nominal value
Fig. 8. Transient responses of PMSM load torque MC(t) with the stator Rст and long cable Rкаб active resistance value increased by 20% of the nominal value
Таблица 5. Погрешности оценивания угловой скорости ротора и момента сопротивления на валу при увеличении активного сопротивления кабеля Rкаб и статорной обмотки СДПМ Rст на 20 %
Table 5. Errors of rotor speed and load torque estimations in all static and dynamic operating modes with the stator Rст and long cable Rкаб active resistance value increased by 20% of the nominal value
Режим работы/Operation mode | tнач | tконеч | Δω | σω | ΔMC | σMC |
с/sec | % | |||||
Пуск на холостом ходу/Idle start | 0 | 0,089 | 0,45 | 5,3 | – | – |
Работа на холостом ходу/Idling | 0,089 | 0,2 | 0,01 | – | – | – |
Включение номинальной нагрузки/Rated load torque | 0,2 | 0,232 | 0,82 | 0,48 | 3,7 | 11,4 |
Работа в номинальном режиме/Operation in nominal mode | 0,232 | 0,4 | 1,33 | – | 0,33 | – |
Снижение нагрузки до 50 % относительно номинальной Load reduction up to 50% relative to nominal | 0,4 | 0,408 | 1,1 | 1,2 | 6,8 | 30,2 |
Работа в режиме 50 % относительно номинальной нагрузки Operating at 50% relative to rated load | 0,408 | 0,6 | 0,61 | – | 0,30 | – |
Увеличение нагрузки до 150 % относительно номинальной Load increase up to 150% relative to rated load | 0,6 | 0,631 | 1,6 | 1,2 | 2,8 | 8,1 |
Работа в режиме 150 % относительно номинальной нагрузки Operating at 150% relative to rated load | 0,631 | 0,8 | 2,2 | – | 0,33 | – |
Снижение нагрузки до 50 % относительно номинальной Load reduction up to 50% relative to nominal | 0,8 | 0,828 | 1,1 | 1,5 | 7,3 | 25,6 |
Работа в режиме 50 % относительно номинальной нагрузки Operating at 50% relative to rated load | 0,828 | 1,0 | 0,61 | – | 0,29 | – |
Анализ рис. 5–8, табл. 4, 5 показал, что переходный процесс по скорости имеет «опережающий» характер при увеличении активного сопротивления подсистем динамической системы «кабельная линия – синхронный двигатель с постоянными магнитами», наибольшее отклонение по угловой скорости ротора между моделью и наблюдателем составляет –50,3 рад/c (рис. 7) в режиме пуска. Оценивание момента сопротивления сопровождается значительными колебаниями, имеющими наибольшую амплитуду в режиме пуска.
Относительная погрешность оценивания угловой скорости в установившемся режиме на всех участках изменения нагрузки не превышает 5 %, наибольшая погрешность наблюдалась при работе в режиме 150 % относительно номинальной нагрузки (табл. 5). Наибольшая интегральная погрешность составила 5,3 % в режиме пуска и 1,5 % в режиме снижения нагрузки с 150 до 50 % относительно номинальной (табл. 5).
На всех участках изменения нагрузки относительная погрешность оценивания момента сопротивления на валу составило менее 0,5 % в установившемся режиме. Наибольшая интегральная погрешность оценивания момента сопротивления составила 34,8 % (табл. 4). При этом в случаях снижения нагрузки интегральная погрешность оценки момента сопротивления выше, чем при увеличении нагрузки.
Выполним исследование работоспособности наблюдателя в ситуации, когда активное сопротивление объекта меньше, чем настраиваемой модели наблюдателя. Положим, что сопротивление кабельной линии эталонной модели Rкаб меньше на 20 % (рис. 9, 10), а также сопротивление КЛ Rкаб и статора СДПМ Rст меньше на 20 % (рис. 11, 12) относительно настраиваемой модели наблюдателя. Результаты расчета относительных и интегральных погрешностей приведены в табл. 6, 7, соответственно.
Рис. 9. Переходные характеристики угловой скорости ротора СДПМ w(t) и ее оценки с помощью наблюдателя и график абсолютной погрешности оценки скорости e(t) при уменьшении активного сопротивления токоведущей жилы кабельной линии Rкаб на 20 %
Fig. 9. Transient responses of PMSM rotor speed w(t) and rotor speed estimation from observer and rotor speed estimation absolute e(t) error graph with the long cable Rкаб active resistance value decreased by 20% of the nominal value
Рис. 10. Переходные характеристики момента сопротивления на валу СДПМ MC(t) при изменяющейся нагрузке на валу при уменьшении активного сопротивления токоведущей жилы кабельной линии Rкаб на 20 %
Fig. 10. Transient responses of PMSM load torque MC(t) with the long cable Rкаб active resistance value decreased by 20% of the nominal value
Рис. 11. Переходные характеристики угловой скорости ротора СДПМ w(t) и ее оценки с помощью наблюдателя и график абсолютной погрешности оценки скорости e(t) при уменьшении активного сопротивления токоведущей жилы кабельной линии Rкаб и статорной обмотки Rст на 20 %
Fig. 11. Transient responses of PMSM rotor speed w(t) and rotor speed estimation from observer and rotor speed estimation absolute e(t) error graph with the stator Rст and long cable Rкаб active resistance value decreased by 20% of the nominal value
Рис. 12. Переходные характеристики момента сопротивления на валу СДПМ MC(t) при изменяющейся нагрузке на валу при уменьшении активного сопротивления токоведущей жилы кабельной линии Rкаб и статорной обмотки Rст на 20%
Fig. 12. Transient responses of PMSM load torque MC(t) with the stator Rст and long cable Rкаб active resistance value decreased by 20% of the nominal value
Таблица 6. Погрешности оценивания угловой скорости ротора и момента сопротивления на валу при уменьшении активного сопротивления кабеля Rкаб на 20 %
Table 6. Errors of rotor speed and load torque estimations in all static and dynamic operating modes with the long cable Rкаб active resistance value decreased by 20% of the nominal value
Режим работы/Operation mode | tнач | tконеч | Δω | σω | ΔMC | σMC |
с/sec | % | |||||
Пуск на холостом ходу/Idle start | 0 | 0,074 | 0,17 | 2,7 | – | – |
Работа на холостом ходу/Idling | 0,074 | 0,2 | 0,002 | – | – | – |
Включение номинальной нагрузки/Rated load torque | 0,2 | 0,224 | 0,23 | 0,13 | 1,2 | 11,9 |
Работа в номинальном режиме/Operation in nominal mode | 0,224 | 0,4 | 0,44 | – | 0,32 | – |
Снижение нагрузки до 50 % относительно номинальной | 0,4 | 0,403 | 0,47 | 0,45 | 22,5 | 48,6 |
Работа в режиме 50 % относительно номинальной нагрузки | 0,403 | 0,6 | 0,20 | – | 0,32 | – |
Увеличение нагрузки до 150 % относительно номинальной | 0,6 | 0,622 | 0,48 | 0,34 | 1,3 | 8,7 |
Работа в режиме 150 % относительно номинальной нагрузки | 0,622 | 0,8 | 0,74 | – | 0,32 | – |
Снижение нагрузки до 50 % относительно номинальной | 0,8 | 0,820 | 0,41 | 0,56 | 5,1 | 29,7 |
Работа в режиме 50 % относительно номинальной нагрузки | 0,820 | 1,0 | 0,20 | – | 0,32 | – |
Таблица 7. Погрешности оценивания угловой скорости ротора и момента сопротивления на валу СДПМ при уменьшении активного сопротивления токоведущей жилы кабельной линии Rкаб и статорной обмотки Rст на 20%
Table 7. Errors of rotor speed and load torque estimations in all static and dynamic operating modes with the stator Rст and long cable Rкаб active resistance value decreased by 20% of the nominal value
Режим работы/Operation mode | tнач | tконеч | Δω | σω | ΔMC | σMC |
с/sec | % | |||||
Пуск на холостом ходу/Idle start | 0,0 | 0,069 | 0,33 | 6,2 | – | – |
Работа на холостом ходу/Idling | 0,069 | 0,2 | 0,003 | – | – | – |
Включение номинальной нагрузки/Rated load torque | 0,2 | 0,221 | 0,51 | 0,30 | 3,0 | 14,1 |
Работа в номинальном режиме/Operation in nominal mode | 0,221 | 0,4 | 0,94 | – | 0,32 | – |
Снижение нагрузки до 50 % относительно номинальной Load reduction up to 50% relative to nominal | 0,4 | 0,401 | 0,92 | 0,98 | 81,9 | 56,7 |
Работа в режиме 50 % относительно номинальной нагрузки Operating at 50% relative to rated load | 0,401 | 0,6 | 0,41 | – | 0,32 | – |
Увеличение нагрузки до 150 % относительно номинальной Load increase up to 150% relative to rated load | 0,6 | 0,619 | 1,0 | 0,75 | 3,1 | 10,7 |
Работа в режиме 150 % относительно номинальной нагрузки Operating at 150% relative to rated load | 0,619 | 0,8 | 1,6 | – | 0,32 | – |
Снижение нагрузки до 50 % относительно номинальной Load reduction up to 50% relative to nominal | 0,8 | 0,818 | 0,86 | 1,2 | 11,6 | 36,5 |
Работа в режиме 50 % относительно номинальной нагрузки Operating at 50% relative to rated load | 0,818 | 1,0 | 0,41 | – | 0,32 | – |
Анализ результатов, представленных в табл. 6, 7 и на рис. 9–12, показывает, что наблюдатель имеет «запаздывающую» динамику относительно эталонной модели при уменьшении активного сопротивления кабельной линии и статорной обмотки СДПМ. Наибольшее отклонение по угловой скорости составило 68,6 рад/c (рис. 11).
На всех участках изменения нагрузки относительная погрешность оценивания угловой скорости в установившемся режиме не превышает 5 % (табл. 7).
Выполним оценку работоспособности наблюдателя при изменении параметров механической подсистемы. Примем эквивалентный момент инерции эталонной модели на 20 % больше момента инерции настраиваемой модели наблюдателя. Переходные характеристики по угловой скорости ротора и момента сопротивления на валу приведены на рис. 13, 14. Результаты расчета относительных и интегральных погрешностей оценивания угловой скорости ротора и момента сопротивления на валу сведены в табл. 8.
Рис. 13. Переходные характеристики угловой скорости ротора СДПМ w(t) и ее оценки с помощью наблюдателя и график абсолютной погрешности оценки скорости e(t) при увеличении эквивалентного момента инерции J на 20 %
Fig. 13. Transient responses of PMSM rotor speed w(t) and rotor speed estimation from observer and rotor speed estimation absolute e(t) error graph with the inertia moment J increased by 20% of the nominal value
Рис. 14. Переходные характеристики момента сопротивления на валу СДПМ MC(t) при изменяющейся нагрузке на валу при увеличении эквивалентного момента инерции J на 20 %
Fig. 14. Transient responses of PMSM load torque MC(t) with the inertia moment J increased by 20% of the nominal value
Таблица 8. Погрешности оценивания угловой скорости ротора и момента сопротивления на валу СДПМ при увеличении эквивалентного момента инерции вала J на 20 %
Table 8. Errors of rotor speed and load torque estimations in all static and dynamic operating modes with the inertia moment J increased by 20% of the nominal value
Режим работы/Operation mode | tнач | tконеч | Δω | σω | ΔMC | σMC |
с/sec | % | |||||
Пуск на холостом ходу/Idle start | 0,0 | 0,093 | 0,003 | 0,02 | – | – |
Работа на холостом ходу/Idling | 0,093 | 0,2 | 0,0001 | – | – | – |
Включение номинальной нагрузки/Rated load torque | 0,2 | 0,231 | 0,034 | 0,036 | 7,3 | 14,6 |
Работа в номинальном режиме/Operation in nominal mode | 0,231 | 0,4 | 0,036 | – | 0,36 | – |
Снижение нагрузки до 50 % относительно номинальной | 0,4 | 0,405 | 0,013 | 0,03 | 38,8 | 34,6 |
Работа в режиме 50 % относительно номинальной нагрузки | 0,405 | 0,6 | 0,018 | – | 0,27 | – |
Увеличение нагрузки до 150 % относительно номинальной | 0,6 | 0,630 | 0,052 | 0,053 | 5,0 | 10,0 |
Работа в режиме 150 % относительно номинальной нагрузки | 0,630 | 0,8 | 0,055 | – | 0,34 | – |
Снижение нагрузки до 50 % относительно номинальной | 0,8 | 0,827 | 0,021 | 0,028 | 14,2 | 30,2 |
Работа в режиме 50 % относительно номинальной нагрузки | 0,827 | 1,0 | 0,018 | – | 0,23 | – |
Как следует из анализа рис. 13, 14 и табл. 8, увеличение момента инерции СДПМ не приводит к изменению динамики оценки угловой скорости в процессе пуска двигателя, однако при изменении момента нагрузки на валу переходные процессы оценки угловой скорости сопровождаются незначительными колебаниями относительно эталонной траектории угловой скорости. Амплитуда колебаний оценки момента сопротивления на валу при увеличении эквивалентного момента инерции ниже, чем в случае изменения активного сопротивления, однако отработка эталонной траектории момента сопротивления наблюдателем характеризуется большим временем переходного процесса (рис. 14).
Относительная погрешность оценивания угловой скорости ротора при увеличении момента инерции незначительная и составляет в наибольшем случае 0,055 % в режиме 150 % относительно номинальной нагрузки (табл. 8). Наибольшая относительная погрешность оценки момента сопротивления составила 0,34 % в том же режиме. Максимальная интегральная погрешность оценки момента сопротивления равняется 34,6 % в режиме снижения нагрузки до 50 % относительно номинальной.
Заключение
Сокращение периодов откачки нефти при циклической эксплуатации ведет к сокращению межремонтного периода вследствие высоких значений пусковых токов и электромагнитного момента. Для реализации замкнутой системы векторного управления с контролем электромагнитных и электромеханических переходных процессов погружного электродвигателя предложен наблюдатель полного порядка угловой скорости ротора и момента сопротивления на валу динамической системы «синхронный двигатель с постоянными магнитами».
Исследование параметрической робастности наблюдателя при работе с изменяющейся нагрузкой на валу показало, что относительная погрешность оценивания угловой скорости ротора во всех режимах не превышает 5 %, что является допустимым в инженерной практике. Относительная погрешность оценки момента сопротивления на валу во всех случаях составила менее 1 %. Переходные процессы оценки момента сопротивления сопровождаются значительными по амплитуде колебаниями, влияющими на интегральную погрешность, рассчитанную за время переходного процесса.
С целью снижения влияния пульсационной составляющей оценки момента сопротивления на валу в переходных режимах в системе автоматического регулирования с обратной связью по моменту нагрузки предлагается использовать линейный фильтр-постфильтратор первого порядка.
Априорно задаваемые параметры схемы замещения настраиваемой модели наблюдателя могут значительно отличаться от фактических значений реальной динамической системы вследствие ошибок в расчетах рабочего режима или изменения текущих условий эксплуатации. Практическое использование наблюдателя в технологическом процессе скважинной добычи нефти требует разработки адаптивных динамических идентификаторов параметров схемы замещения объекта. Кроме того, для качественного подбора масштабирующих коэффициентов настраиваемой модели наблюдателя полного порядка необходимо проведение предварительных испытаний электродвигателя или математическое моделирование. Однако в инженерной практике, как правило, данные подходы оказываются недоступными. Альтернативным вариантом является автоматический подбор масштабирующих коэффициентов наблюдателя с помощью различных алгоритмов глобальной оптимизации.
Об авторах
Александр Савельевич Глазырин
Национальный исследовательский Томский политехнический университет; Югорский государственный университет
Email: asglazyrin@tpu.ru
доктор технических наук, профессор отделения электроэнергетики и электротехники Инженерной школы энергетики, профессор Политехнической школы
Россия, 634050, Томск, пр. Ленина, 30; 628012, Ханты-Мансийск, ул. Чехова, 16Евгений Игоревич Попов
Тюменский индустриальный университет
Email: popovei72@mail.ru
ORCID iD: 0000-0003-2088-4280
ассистент кафедры электроэнергетики
Россия, 625000, Тюмень, ул. Володарского, 38Владимир Анатольевич Копырин
Тюменский индустриальный университет
Email: kopyrinva@gmail.com
ORCID iD: 0000-0002-7515-4018
кандидат технических наук, доцент кафедры электроэнергетики
Россия, 625000, Тюмень, ул. Володарского, 38Семен Семенович Попов
Национальный исследовательский Томский политехнический университет; ООО «НПФ Мехатроника-Про»
Email: ssp14@tpu.ru
ORCID iD: 0009-0004-4139-8032
аспирант отделения электроэнергетики и электротехники Инженерной школы энергетики
Россия, 634050, Томск, пр. Ленина, 30; Томск, пр. Фрунзе, 119еЕвгений Владимирович Боловин
Национальный исследовательский Томский политехнический университет; ООО ИНТ АО «ЭлеСи»
Email: orange@tpu.ru
ORCID iD: 0000-0002-8483-8999
кандидат технических наук, доцент отделения электроэнергетики и электротехники Инженерной школы энергетики, инженер-программист
Россия, 634050, Томск, пр. Ленина, 30; 634021, Томск, ул. Алтайская, 161АВладимир Захарович Ковалев
Национальный исследовательский Томский политехнический университет; Югорский государственный университет
Автор, ответственный за переписку.
Email: vz_kovalev@mail.ru
ORCID iD: 0000-0002-4512-6868
доктор технических наук, профессор Политехнической школы; профессор отделения автоматизации и робототехники Инженерной школы информационных технологий и робототехники
Россия, 634050, Томск, пр. Ленина, 30; 628012, Ханты-Мансийск, ул. Чехова, 16Рустам Нуриманович Хамитов
Тюменский индустриальный университет; Омский государственный технический университет
Email: apple_27@mail.ru
ORCID iD: 0000-0001-9876-5471
доктор технических наук, профессор кафедры электроэнергетики, профессор кафедры электрической техники Энергетического института
Россия, 625000, Тюмень, ул. Володарского, 38; 644050, Омск, пр. Мира, 11Вадим Владимирович Тимошкин
Национальный исследовательский Томский политехнический университет
Email: timoshkinvv@tpu.ru
ORCID iD: 0000-0001-5116-5508
кандидат технических наук, доцент отделения автоматизации и робототехники Инженерной школы информационных технологий и робототехники
Россия, 634050, Томск, пр. Ленина, 30Список литературы
- Карпюк А.В. Энергоэффективные УЭЦН с вентильными электродвигателями // Инженерная практика. – 2017. – № 5. – С. 14–19.
- Аптыкаев Г.А., Сулейманов А.Г. Интенсификация добычи и увеличение МРП скважин, оборудованных УЭЦН, методом КПР // Инженерная практика. – 2011. – № 4. – С. 65–69.
- Калафат О.С. Применение кратковременного периодического режима работы установок электроцентробежных насосов на скважинах Горшковской площади Приобского месторождения // Проблемы геологии и освоения недр: труды XVIII Международного симпозиума имени академика М.А. Усова студентов и молодых ученых. – Томск, 7–11 апреля 2014. – Томск: Изд-во ТПУ, 2014. – Т. 2. – С. 92–94.
- Учет условий эксплуатации при проектировании периодических режимов работы скважины, оборудованных УЭЦН / В.Н. Ивановский, А.А. Сабиров, С.Б. Якимов, А.А. Клусов // Оборудование и технологии для нефтегазового комплекса. – 2013. – № 6. – С. 33–39.
- Антипин М.Н. Результаты внедрения циклической эксплуатации УЭЦН в ОАО «Самотлорнефтегаз» // ПТНЖ «Инженерная практика». – 2011. – № 5. – С. 74–80.
- Abdullin A., Abdulin I., Sokolyanskaya Y. Short-time periodical well operation in LLC LUKOIL-West Siberia fields. Implementation experience and prospects for development // Society of Petroleum Engineers. – 2018. – P. 1–10.
- Надежность погружных нефтяных насосов при периодической эксплуатации / Е.А. Лихачёва, В.Г. Островский, Н.А. Лыкова, А.Н. Мусинский, П.А. Байдаров // PROНЕФТЬ. Профессионально о нефти. – 2021. – Т. 6. – № 1. – С. 54–58. doi: 10.51890/2587-7399-2021-6-1-54-58.
- Станции управления Электон-05. Руководство по эксплуатации. ЦТКД 388 РЭ. Версия 18.24 для асинхронного и вентильного двигателя. – Радужный: ЗАО «Электон», 2017. – 169 с.
- Ершов М.С., Белоусенко И.В. Новые технологии и современное оборудование в электроэнергетике нефтегазовой промышленности. – М.: Недра, 2007. – 477 с.
- Тагирова К.Ф., Нугаев И.Ф. Концептуальные основы автоматизации управления установками электроцентробежных насосов нефтедобывающих скважин // Мехатроника, автоматизация, управление, 2020. – Т. 21. – № 2. – С. 102–109. doi: 10.17587/mau.21.102-109.
- Кладиев С.Н. Обзор и критический анализ современного состояния и путей совершенствования систем электропитания и автоматического управления установок электроцентробежных насосов в прерывистых режимах эксплуатации нефтяных скважин // Известия Томского политехнического университета. Инжиниринг георесурсов. – 2023. – Т. 334. – № 9. – С. 203–215. doi: 10.18799/24131830/2023/8/4349.
- Разработка наблюдателя полного порядка с оперативным мониторингом момента сопротивления для погружных асинхронных электродвигателей / А.С. Глазырин, С.Н. Кладиев, К.С. Афанасьев, В.В. Тимошкин, И.Г. Слепнёв, В.И. Полищук // Известия Томского политехнического университета. Инжиниринг георесурсов. – 2018. – Т. 329. – № 2. – С. 118–126.
- Раков И.В., Глазырин А.С., Кладиев С.Н. Разработка и настройка наблюдателя полного порядка для электротехнического комплекса «кабельная линия – асинхронный двигатель» // Известия Томского политехнического университета. Инжиниринг георесурсов. – 2023. – Т. 334. – № 10. – С. 219–231. doi: 10.18799/24131830/2023/10/4440.
- Разработка наблюдателя с оперативным мониторингом угловой скорости ротора и момента сопротивления на валу погружного асинхронного двигателя / А.С. Глазырин, С.С. Попов, Е.И. Попов, В.А. Копырин, Р.Н. Хамитов, А.А. Филипас, В.В. Тимошкин, Е.А. Беляускене, Ю.О. Кулеш, Е.В. Боловин, В.З. Ковалев, М.В. Денеко // Известия Томского политехнического университета. Инжиниринг георесурсов. – 2024. – Т. 335. – № 9. – С. 203–219. doi: 10.18799/24131830/2024/9/4826.
- Saihi L., Boutera A. Robust sensorless sliding mode control of PMSM with MRAS and Luenberger extended observer // 8th International on Modelling and Control. – Algeria, Algiers, 2016. – P. 174–179. doi: 10.1109/ICMIC.2016.7804294.
- Robust sensorless sliding mode control with Luenberger observer design applied to permanent magnet synchronous motor / I. Bakhti, S. Chaouch, A. Makouf, T. Douadi // 5th International Conference on Systems and Control. – Marrakesh, Morocco, 2016. – P. 204–210. doi: 10.1109/ICoSC.2016.7507051.
- Single-sensor-based three-phase permanent-magnet synchronous motor drive system with Luenberger observers for motor line current reconstruction / B. Hafez, A. Abdel-Khalik, A.M. Massoud, S. Ahmed, R.D. Lorenz // IEEE Transactions on Industry Applications. – 2014. – Vol. 50. – Iss. 4. – P. 2602–2613. doi: 10.1109/TIA.2013.2296625.
- Teta P., Konate A., Asseu O. Robust extended kalman filter for speed-sensorless control of a linearized and decoupled PMSM drive // Engineering. – 2015. – Vol. 7. – P. 691–699. doi: 10.4236/eng.2015.710060.
- Dilys J., Stankevic V., Luksza K. Implementation of extended Kalman filter with optimized execution time for sensorless control of a PMSM using ARM cortex-ME microcontroller // Energies, 2021. – Vol. 14. – P. 1–16. doi: 10.3390/en14123491.
- Design and PIL test of extended Kalman filter for PMSM field oriented control / M. Megrini, A. Gaga, Y. Mehdaoui, J. Khyat // Results in Engineering, 2024. – Vol. 24. – P. 1–7. doi: 10.1016/j.rineng.2024.102843.
- Tan L.N., Cong T.P., Cong D.P. Neural network observers and sensorless robust optimal control for partially unknown PMSM with disturbances and saturating voltages // IEEE Transactions on Power Electronics. – 2021. – Vol. 36. – Iss. 10. – P. 12045–12056. doi: 10.1109/TPEL.2021.3071465.
- Neural network dynamic surface position control of n‐joint robot driven by PMSM with unknown load observer / Q. Yang, H. Yu, X. Meng, Y. Shang // IET Control Theory & Applications. – 2022. – Vol. 16. – P. 1208–1226. doi: 10.1049/cth2.12297.
- Zhuo S., Li Y., Tong S. Finite-time adaptive neural network event-triggered output feedback control for PMSMs // Neurocomputing. – 2023. – Vol. 533. – P. 10–21. doi: 10.1016/j.neucom.2023.02.039.
- Observer-based finite-time adaptive neural network control for PMSM with state constraints / S. Zhou, S. Sui, Y. Li, S. Tong // Neural Computing and Applications. – 2022. – Vol. 35. – P. 6635–6645. doi: 10.1007/s00521-022-08050-2.
- Сипайлов Г.А., Кононенко Е.В., Хорьков В.А. Электрические машины (специальный курс). – М.: Высшая школа, 1987. – 287 с.
- Костарев Н.А., Труфанова Н.М. Применение численного моделирования для анализа эффективности греющего кабеля при добыче высоковязкой нефти // Известия Томского политехнического университета. Инжиниринг георесурсов. – 2023. – Т. 334. – № 2. – С. 99–110. doi: 10.18799/24131830/2023/2/3776.
- Оптимизация порядка редуцированной динамической модели ненагруженного нефтепогружного кабеля на основе аппроксимации амплитудно-частотной характеристики / А.С. Глазырин, Ю.Н. Исаев, С.Н. Кладиев, А.П. Леонов, И.В. Раков, С.В. Колесников, С.В. Ланграф, А.А. Филипас, В.А. Копырин, Р.Н. Хамитов, В.З. Ковалев // Известия Томского политехнического университета. Инжиниринг георесурсов. – 2021. – Т. 332. – № 9. – С. 154–167. doi: 10.18799/24131830/2021/9/3365.
- Виноградов А.Б. Векторное управление электроприводами переменного тока. – Иваново: ГОУВПО «Ивановский государственный энергетический университет имени В.И. Ленина», 2008. – 298 с.
- Курносов Д.А. Развитие теории и принципов векторного управления вентильным электроприводом на базе синхронного двигателя с возбуждением от постоянных магнитов: дис. … д-ра техн. наук. – Челябинск, 2018. – 220 с.
- Пантелеев А.В., Метлицкая Д.В., Алешина Е.А. Методы глобальной оптимизации. Метаэвристические стратегии и алгоритмы. – М.: Вузовская книга, 2013. – 244 с.
- EIS equivalent circuit model prediction using interpretable machine learning and parameter identification using global optimization algorithms / Z. Zhao, Y. Zou, P. Liu, Z. Lai, L. Wen, Y. Jin // Electrochimica Acta. – 2022. – Vol. 418. – P. 1–15. doi: 10.1016/j.electacta.2022.140350.
- Александров А.Г. Оптимальные и адаптивные системы. – М.: Высшая школа, 1989. – 263 с.
- Нос О.В., Пудкова Т.В., Нос Н.И. Синтез наблюдателя электродвижущей силы вращения синхронного двигателя с возбуждением от постоянных магнитов с переключаемой структурой и самонастраивающимися подсистемами фильтрации и оценки углового положения // Научно-технический вестник информационных технологий, механики и оптики. – 2024. – Т. 24. – № 3. – С. 415–423. doi: 10.17586/2226-1494-2024-24-3-415-423.
- Ye S. A novel fuzzy flux sliding-mode observer for the sensorless speed and position tracking of PMSMs // Optik. – 2018. – Vol. 171. – P. 319–325. doi: 10.1016/j.ijleo.2018.06.074.
- Lin S., Zhang W. An adaptive sliding-mode observer with a tangent function-based PLL structure for position sensorless PMSM drives // International Journal of Electrical Power & Energy Systems. – 2017. – Vol. 88. – P. 64–74. doi: 10.1016/j.ijepes.2016.12.006.
Дополнительные файлы

















