Highly efficient purification of the process solution when producing lithium hydroxide by caustification
- 作者: Polezhaeva N.I.1, Luneva T.A.1, Slashchinin D.G.1, Tovbis M.S.1
-
隶属关系:
- Reshetnev Siberian State University of Science and Technology
- 期: 卷 335, 编号 11 (2024)
- 页面: 112-118
- 栏目: Articles
- URL: https://bakhtiniada.ru/2500-1019/article/view/276170
- DOI: https://doi.org/10.18799/0000-0009-8973-9832
- ID: 276170
如何引用文章
全文:
详细
Relevance. The need to develop highly effective methods for purifying the process solution from impurity calcium and aluminum ions for the industrial production of lithium hydroxide at the Chemical Metallurgical Plant JSC in Krasnoyarsk.
Aim. Development of methods for reducing the content of impurity calcium and aluminum ions in the process solution of lithium hydroxide after caustification to a concentration of 5–10 mg/l.
Methods. Evaporation and crystallization, precipitation of colloidal sediments of aluminum and calcium with an ammonia buffer solution, chemical precipitation with 8-hydroxyquinoline.
Results and conclusions. The effectiveness of the applied methods for purifying a process solution of lithium hydroxide from calcium and aluminum ions was shown: evaporation followed by crystallization, precipitation with an ammonia buffer solution, precipitation in the form of hydroxyquinolates. It was experimentally established that when using the evaporation method followed by crystallization, the degree of extraction of impurity aluminum ions Al3+ is achieved 29%; and calcium ions Ca2+ – 56%. When cleaning the process solution by precipitation of aluminum hydroxide colloid with an ammonia buffer solution, the degree of extraction for aluminum ions Al3+ was 96%; for calcium ions Ca2+ – 67%. The use of the chemical precipitation method with 8-hydroxyquinoline in an alkaline solution showed the degree of extraction of aluminum ions Al3+ 20%; and calcium ions Ca2+ – 76%. It was established that the method of evaporation and crystallization of the process solution does not require the use of special reagents. A method using an ammonia buffer solution to remove impurity calcium and aluminum ions shown to be simple and effective. For the first time, a method was proposed for cleaning the process solution after caustification using an aqueous-alkaline solution of 8-hydroxyquinoline, excluding the use of organic, flammable and toxic solvents.
全文:
Введение
Литий – один из важных элементов для многих отраслей промышленности. Спрос на литиевые ресурсы резко возрастает в связи с быстрым развитием электромобилей и литий-ионных аккумуляторов [1–3].
Мировой спрос на литиевые ресурсы ускорило открытие многочисленных литиевых месторождений, что способствовало расширению областей его применения [4–6]. В настоящее время разработан метод прямой экстракции лития, который стал альтернативой экстракции лития из рассолов и обеспечил снижение воздействия на окружающую среду [7–9].
Соединения лития получают либо из исходных твердых минералов (сподумен, лепидолит, петалит), либо из жидких литийсодержащих сырьевых источников (озерные рассолы, рассолы саларов, глубинные подземные рассолы, минерализованные воды) [10–16].
В настоящее время при переработке сподумена используется сернокислотный и щелочной методы переработки [10].
Карбонат лития, образующийся при переработке литийсодержащего сырья, служит источником получения различных соединений лития, основными из которых являются гидроксид и хлорид.
Единственным промышленным способом получения гидроксида лития является каустификация известью в растворе, который описан в литературе [17]:
Li2CO3+Ca(OH)2→2LiOH+CaCO3.
Из данных по растворимости в системе Li2CO3–Ca(OH)2–H2O при 75 °С следует, что максимальная концентрация LiOH не может быть выше 36 г/л, т. е. можно получать только разбавленные растворы LiOH. Исходным продуктом при каустификации является влажный карбонат лития. Карбонат лития и гидроксид кальция замешивают в реакторе; известь берется в количестве 105 % от теоретического. Реакционная масса нагревается до кипения. Затем пульпу отстаивают и осветленный раствор декантируют. Он содержит 28,5–35,9 г/л LiOH. Шлам (карбонат кальция) подвергают трехстадийной противоточной промывке для дополнительного извлечения гидроксида лития. Основной раствор упаривают до 166,6 г/л LiOH. Затем температуру понижают до 40 °С. Гидроксид лития выделяется в виде моногидрата LiOH∙H2O, кристаллы которого отделяют от маточного раствора центрифугированием. Для получения чистого соединения первичный продукт перекристаллизовывают. Выход лития в готовый продукт – 85–90 %. Основной недостаток метода – высокие требования к чистоте исходных продуктов.
Способ каустификации карбоната лития известью для получения гидроксида лития положен в основу технологии, применяемой на АО «Химико-металлургический завод» в городе Красноярске (АО «ХМЗ»). При данном способе технологические растворы накапливают значительное количество ионов кальция и алюминия.
Целью настоящего исследования стала разработка способов снижения содержания примесных ионов кальция и алюминия в технологическом растворе после каустификации до концентрации
5–10 мг/л, не приводящих к дополнительному загрязнению другими компонентами.
Объекты и методика исследования
Объектом исследования служил технологический раствор, передаваемый АО «ХМЗ», образующийся после поступления пульпы из каскадов каустификации на декантацию – разделение жидкой и твердой фаз: раствора гидроксида лития и твердого осадка карбоната кальция. Количество исходного технологического раствора в каждом из переданных для исследования образцов составляло 10 л, что с учетом плотности соответствует 12,2 кг.
Раствор после фильтрования анализировали методами атомно-абсорбционной спектроскопии для ионов лития и атомно-эмиссионной спектрометрии с индуктивно-связанной плазмой для определения концентрации ионов кальция и алюминия. Анализ образцов растворов на содержание основных компонентов и примесных ионов выполняли с помощью приборов атомно-абсорбционной спектроскопии ICE 3300 (Thermo Fisher Scientific, CША) и атомно-эмиссионной спектрометрии с индуктивно-связанной плазмой iCAP 7400 Duo (Thermo Fisher Scientific, CША) c относительной ошибкой не более 1,5 %.
Все данные, приведенные в таблицах, представляют собой усредненные величины по трем параллельным определениям, с указанием доверительного интервала.
В табл. 1 представлены данные по исходному химическому составу технологического раствора, содержащего в больших количествах примесные ионы кальция и алюминия и в меньших количествах – другие ионы.
Таблица 1. Химический состав исходного технологического раствора, мг/л
Table 1. Chemical composition of the initial process solution, mg/l
Литий и примесные ионы Lithium and impurity ions | Раствор после каустификации Solution after causticization |
Li2O | 16770 ±250 |
Al3+ | 13,9 ±0,21 |
Ca2+ | 33,2 ±0,50 |
Очистку технологического раствора после каустификации осуществляли несколькими способами.
Способ 1. Упаривание и кристаллизацию технологического раствора осуществляли по общепринятой методике: нагревали раствор при постоянном перемешивании и атмосферном давлении. Упаривание проводили до образования насыщенного раствора (признаком служило появление мутности). После упаривания раствор охлаждали до температуры 20–30 °С и фильтровали, используя колбу Бунзена с воронкой Бюхнера. Раствор после фильтрования анализировали методом атомно-эмиссионной спектрометрии с индуктивно-связанной плазмой для определения концентрации ионов кальция и алюминия.
Способ 2. Очистку раствора проводили осаждением коллоидных осадков гидроксидов алюминия и кальция аммиачным буферным раствором по следующей методике. К 50 см3 раствора добавляли 40 г щавелевой кислоты при перемешивании, что снижало рН раствора до 4 (контроль рН-метром). На осаждение гидроксидов уходило примерно 50 см3 аммиачного буферного раствора (рН 10).
Способ 3. Для очистки раствора от примесных ионов кальция и алюминия применяли метод химического осаждения с использованием 8-гидроксихинолина в водно-щелочном растворе. В этом варианте впервые предложена методика, исключающая использование органических растворителей (хлороформ, четыреххлористый углерод и др.), которые обычно применяют при выделении гидроксихинолятов.
Осаждение гидроксихинолятов кальция и алюминия осуществляли по следующей методике: к исследуемому образцу добавляли твердую щелочь NaOH в соотношении: исследуемый раствор:8-гидроксихинолин:щелочь – 20:1:0,2. Осаждение проводили при атмосферном давлении и комнатной температуре. Время формирования осадка составляло 1,5 часа. После протекания реакции раствор отфильтровывали от гидроксихинолятов алюминия и кальция.
Результаты исследования и их обсуждение
В литературе при получении высокочистого моногидрата лития из литийсодержащих отходов различных производств обычно приводится химическая схема получения высокочистого LiOH∙H2O из технического карбоната лития, в которой примесные ионы удаляли методом осаждения в виде нерастворимых соединений: CaCO3, Mg(OH)2, Fe2O3×3H2O, Al(OH)3, CaSiO3, MgSiO3 [18, 19].
Очистка методом осаждения (способ 1) в виде нерастворимых соединений примесных ионов из исследуемых технологических растворов при их кипячении с упариванием показала достаточную эффективность, то есть наблюдалось уменьшение концентрации как ионов кальция, так и алюминия (табл. 2).
Эти данные можно объяснить тем, что в щелочной среде образуется коллоид Al(OH)3 с отрицательно заряженными коллоидными частицами (см ниже).
Таблица 2. Содержание ионов кальция и алюминия в технологических растворах после упаривания с последующей кристаллизацией, мг/л
Table 2. Content of calcium and aluminum ions in process solutions after evaporation followed by crystallization, mg/l
Примесные ионы Impurity ions | Исходный технологический раствор Initial process solution | Раствор после упаривания Solution after evaporation | Степень извлечения, % Extraction rate, % |
Раствор после каустификации/Solution after caustification | |||
Al3+ | 13,9 ±0,21 | 9,87 ±0,15 | 29 |
Ca2+ | 33,2 ±0,50 | 14,74 ±0,22 | 56 |
Известно, что особенно сильно влияние рН среды на гидрозоль Al(OH)3, являющийся амфотерным соединением [20]. В слабощелочной среде (рН 7,5–8) ионизация по основному типу невозможна из-за избытка ОН–-ионов:
Al(OH)3=Al(OH)2O–+H+.
При более высоких значениях рН ионизация происходит следующим образом:
Al(OH)2O–+H+=AlO2–+H++Н2О.
Потенциалобразующими ионами в мицелле золя гидроксида алюминия являются ионы AlO2–, и коллоидные частицы приобретают отрицательный заряд.
{nAl(OH)3mAlO2–(m–x)H+}x–×H+.
За счет электростатических сил притяжения к отрицательно заряженным коллоидным частицам катионы входят в диффузную часть двойного электрического слоя, вытесняя при этом противоионы Н+. На отрицательно заряженных коллоидных частицах гидрозоля преимущественно адсорбируются катионы, имеющие больший заряд, так как они сильнее притягиваются к коллоидным частицам. При упаривании катионы, включая кальций, осаждаются в виде нерастворимых соединений. C повышением температуры увеличивается кинетическая энергия противоионов в мицеллах золя. Преодолевая электростатические и ван-дер-ваальсовые силы притяжения, противоионы переходят из адсорбционного слоя в диффузный слой. При дальнейшем повышении температуры процессы десорбции ионов захватывают уже более глубокие области двойного электрического слоя, начинается отрыв потенциалобразующих ионов AlO2– от твердой поверхности микрокристаллов и они переходят в раствор.
По второму способу от коллоида гидроксида алюминия технологический раствор очищали аммиачным буферным раствором, состоящим из смеси гидроксида и хлорида аммония. Гидроксид алюминия осаждали раствором аммиака в присутствии солей аммония, которые способствуют проведению осаждения, так как ионы аммония составляют с аммиаком буферную смесь и тем самым дают возможность создать в растворе требуемое значение рН не менее 8; кроме того, соли аммония вызывают флокуляцию коллоидных частиц. Значение рН раствора, необходимое для полного осаждения гидроксида алюминия, определяли с помощью рН-метра (способ 2). Следует отметить, что контроль щелочности раствора необходим, поскольку при очистке технологического раствора нельзя допустить понижения рН, которое может привести к появлению в гидроксиде лития его солей и, соответственно, к снижению чистоты искомого гидроксида. Данные о содержании примесных ионов кальция и алюминия представлены в табл. 3.
Таблица 3. Содержание ионов кальция и алюминия в технологических растворах после очистки аммиачным буфером, мг/л
Table 3. Content of calcium and aluminum ions in process solutions after cleaning with ammonia buffer, mg/l
Раствор после каустификации/Solution after caustification | |||
Примесные ионы Impurity ions | Исходный технологический раствор Initial process solution | Раствор, после осаждения коллоидов Solution after precipitation of colloids | Степень извлечения, % Extraction rate, % |
Al3+ | 13,9 ±0,21 | 0,55 ±0,01 | 96 |
Ca2+ | 33,2 ±0,50 | 10,80 ±0,16 | 67 |
Представленный способ показал высокоэффективную очистку технологического раствора от ионов кальция и алюминия, т. к. при осаждении коллоида Al(OH)3 осаждаются ионы кальция, адсорбированные на коллоидных частицах. Единственным недостатком этого эффективного метода очистки технологического раствора после каустификации является применение раствора гидроксида аммония, обладающего резким, неприятным запахом, что в условиях производства требует дополнительного применения местной вентиляции и других защитных мер.
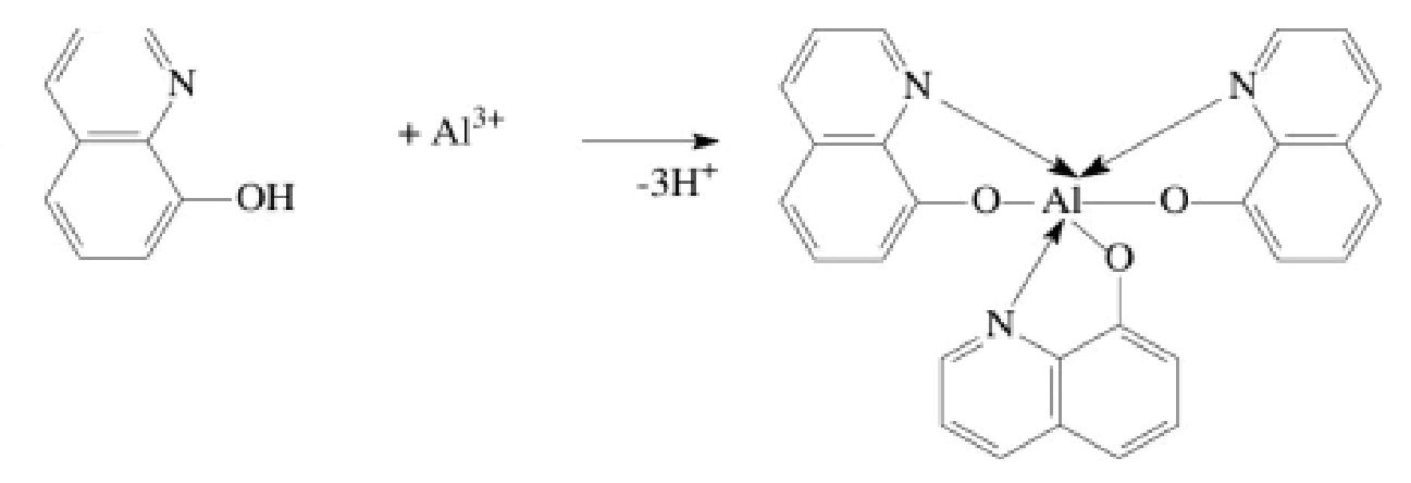
Из литературных источников известно, что одним из высокоэффективных методов удаления алюминия и кальция является извлечение ионов этих металлов методом экстракции с применением органических растворителей с помощью 8-гидроксихинолина (рисунок) из-за образования гидроксихинолятов. Реагент образует с алюминием и кальцием внутрикомплексные соединения при рН=10–13 [21, 22].
Образующиеся комплексные гидроксихиноляты алюминия и кальция в известных способах подвергают экстракции органическими растворителями, такими как хлороформ и четыреххлористый углерод, с последующим отделением органического слоя, содержащего гидроксихиноляты металлов от водного технологического раствора гидроксида лития.
Рисунок. Реакция образования гидроксихинолятов алюминия
Figure. Reaction of formation of aluminum hydroxyquinolates
Во избежание использования органических растворителей на стадии экстракции мы применили способ, включающий реакцию водно-щелочного раствора 8-гидроксихинолина с технологическим раствором гидроксида лития после каустификации. При этом примесные металлы выпадали в осадок в виде гидроксихинолятов, что давало возможность удалять их простым фильтрованием, исключая стадию экстракции органическим растворителем. Отделение примесных металлов в виде нерастворимых гидроксихинолятов потребовало коренного изменения технологической схемы этого важного производства.
Данные по осаждению ионов алюминия и кальция в виде гидроксихинолятов представлены в табл. 4.
Таблица 4. Содержание ионов кальция после осаждения 8-гидроксихинолином в щелочной среде, мг/л
Table 4. Content of calcium ions after precipitation with 8-hydroxyquinoline in an alkaline medium, mg/l
Примесные ионы Impurity ions | Исходный технологический раствор Initial process solution | Раствор после очистки Solution after purification with | Степень извлечения, % Extraction rate, % |
Раствор после каустификации/Solution after caustification | |||
Al3+ | 13,9 ±0,21 | 11,10 ±0,17 | 20 |
Ca2+ | 33,2 ±0,50 | 7,85 ±0,12 | 76 |
Данные табл. 4 объясняются тем, что в исходном растворе ионов кальция почти в 2,5 раза больше, чем ионов алюминия, поэтому при осаждении 8-гидроксихинолином гидроксихинолятов кальция образуется больше, чем алюминия.
Заключение
- Показана эффективность примененных способов очистки технологического раствора гидроксида лития от ионов кальция и алюминия: упаривание с последующей кристаллизацией, осаждение аммиачным буферным раствором, осаждение в виде гидроксихинолятов.
- Способ с упариванием и кристаллизацией технологического раствора не требует применения специальных реагентов, однако является весьма энергозатратным из-за применения большого количества водяного пара в производственных условиях для обогрева реактора.
- В способе с использованием аммиачного буферного раствора для удаления примесных ионов металлов, несмотря на простоту и эффективность данного метода, требуется вентиляция для удаления паров аммиака для защиты персонала на рабочем месте.
- Впервые предложенный нами способ очистки технологического раствора после каустификации с применением водно-щелочного раствора 8-гидроксихинолина и фильтрацией образующихся осадков исключает недостатки известных методов, в которых используются органические, огнеопасные и токсичные растворители при экстракции гидроксихинолятов.
作者简介
Natalya Polezhaeva
Reshetnev Siberian State University of Science and Technology
Email: piv-80@mail.ru
Cand. Sc., Associate Professor
俄罗斯联邦, 31, Krasnoyarsky rabochiy avenue, Krasnoyarsk, 660037Tatyana Luneva
Reshetnev Siberian State University of Science and Technology
Email: luneva@sibsau.ru
ORCID iD: 0000-0001-5681-3658
Cand. Sc., Associate Professor
俄罗斯联邦, 31, Krasnoyarsky rabochiy avenue, Krasnoyarsk, 660037Dmitry Slashchinin
Reshetnev Siberian State University of Science and Technology
Email: sdg1987@mail.ru
ORCID iD: 0000-0002-0153-6822
Cand. Sc., Associate Professor
俄罗斯联邦, 31, Krasnoyarsky rabochiy avenue, Krasnoyarsk, 660037Mikhail Tovbis
Reshetnev Siberian State University of Science and Technology
编辑信件的主要联系方式.
Email: tovbis@bk.ru
ORCID iD: 0000-0002-5936-0401
Dr. Sc., Professor, Scientific Consultant
俄罗斯联邦, 31, Krasnoyarsky rabochiy avenue, Krasnoyarsk, 660037参考
- Tao Ding, Mianping Zheng, Suping Peng, Yuhan Lin, Xuefei Zhang, Mingming Li. Lithium extraction from salt lakes with different hydrochemical types in the Tibet Plateau. Geoscience Frontiers, 2023, vol. 14 (101485). pp. 1–17.
- Lappalainen H., Rinne M., Elomaa H., Aromaa J., Lundstrom M. Environmental impacts of lithium hydroxide monohydrate production from spodumene concentrate. A simulation-based life cycle assessment. Minerals Engineering, 2024, vol. 209 (108632). pp. 1–9.
- Yuxin Rao, Xue Li, Shangquan Zhao, Pengfei Liu, Fanglin Wu, Xiang Liu, Naigen Zhou, Shan Fang, Stefano Passerini. Fluorinated electrolyte formulations design enabling high-voltage and long-life lithium metal batteries. Nano Energy, 2024, vol. 123 (109362). pp. 1–12.
- Alhadad M.F., Oskierski H.C., Chischi J., Senanayake G., Schulz B., Suvorova A.A., Gain S.E.M., Dlugogorski B.Z. Pressure leach of β-spodumene with carbonic acid: Weak acid process for extraction of lithium. Minerals Engineering, 2023, vol. 204 (108398). pp. 1–17.
- Mian-ping Zheng, En-yuan Xing, Xue-fei Zhang, Ming-ming Li, Dong Che, Ling-zhong Bu, Jia-huan Han, Chuan-yong Ye. Classification and mineralization of global lithium deposits and lithium extraction technologies for exogenetic lithium deposits. China Geology, 2023, vol. 6, pp. 547–566.
- Tian-ming Gao, Na Fan, Wu Chen, Tao Dai. Lithium extraction from hard rock lithium ores (spodumene, lepidolite, zinnwaldite, petalite): technology, resources, environment and cost. China Geology, 2023, vol. 6, pp. 137–153.
- Yasaman Boroumand, Amir Razmjou. Adsorption-type aluminium-based direct lithium extraction: the effect of heat, salinity and lithium content. Desalination, 2024, vol. 577, 117406.
- Colin Desemond, Gervais Soucy, Nicolas Laroche. Reductive thermal plasma conversion of a spodumene concentrate and impact on lithium extraction. Minerals Engineering, 2024, vol. 211 (108682). Статья из журнала на англ. яз.
- Biyuan Yang, Xinyu Lu, Xiaowei Wang, Jiafeng Zhang. Selective lithium extraction from spent lithium-ion batteries through polyvinyl chloride thermal decomposition-based gas-solid reaction. Heliyon, 2024, vol. 10, e25575.
- Ostroushko Yu.I., Buchikhin P.I., Alekseeva V.V., Naboishchikova T.F., Kovda G.A., Shelkova S.A., Alekseeva R.N., Makovetskaya M.A. Lithium, its chemistry and technology. Moscow, Atomizdat Publ., 1960. 199 p. (In Russ.)
- Ryabtsev A.D., Kotsupalo N.P., Menzheres L.T., Kurakov A.A., Nemkov N.M. Implementation of a complex technology for processing calcium chloride brines to produce bromine-free lithium concentrate. Chemical technology, 2023, vol. 24, no. 9, pp. 337–342. (In Russ.)
- Ryabtsev A.D., Nemkov N.M., Titarenko V.I., Kotsupalo N.P., Kurakov A.A., Kochnev A.M. Method for producing lithium hydroxide monohydrate from brines. Patent RF, no. 2713360 C2 2020. (In Russ.)
- Ryabtsev A.D., Nemkov N.M., Titarenko V.I., Kotsupalo N.P. Method for producing lithium hydroxide monohydrate from brines and installation for its implementation. Patent RF, no. 2656452, 2018. (In Russ.)
- Ryabtsev A.D., Titarenko V.I., Kotsupalo N.P., Menzheres L.T., Mamylova E.V., Kurakov A.A., Nemkov N.M., Kurakov A.A., Antonov S.A., Gushchina E.P. Method for obtaining lithium concentrate from lithium-bearing natural brines and its processing into lithium chloride or lithium carbonate. Patent RF, no. 2656452, 2018. (In Russ.)
- Ryabtsev A.D., Nemkov N.M., Kotsupalo N.P., Mamylova E.V., Chayukova O.I. Preparation of high-purity lithium hydroxide monohydrate from natural chloride brines. Chemical technology, 2018, vol. 19, no. 6, pp. 256–263. (In Russ.)
- Ryabtsev A.D., Nemkov N.M., Titarenko V.I., Kurakov A.A., Letuev A.V. Method for producing high-purity lithium hydroxide monohydrate from materials containing lithium salts. Patent RF, no. 2769609, 2022. (In Russ.)
- Zimina G.V., Potapova A.M., Smirnova I.N. Chemistry and technology of lithium. Moscow, MITHT named after M.V. Lomonosov Publ., 2014. 60 p. (In Russ.)
- Nemkov N.M., Ryabtsev A.D., Mukhin V.V. Preparation of high-purity lithium hydroxide monohydrate from lithium-containing waste of various industries. Bulletin of the Tomsk Polytechnic University, 2004, vol. 307, no. 7, pp. 80–84. (In Russ.)
- Ryabtsev A.D., Nemkov N.M., Serikova L.A., Titarenko V.I., Sudarev S.V. Method for producing high-purity lithium monohydrate from materials containing lithium carbonate. Patent RF, no. 2196735, 2003. (In Russ.)
- Babenkov E.D. Water purification using coagulants. Moscow, Nauka Publ., 1977. 356 p. (In Russ.)
- Charlot G. Methods of analytical chemistry. Quantitative analysis of inorganic compounds. Part two. Moscow, Khimiya Publ., 1969. 1206 p. (In Russ.)
- Alikina E.N. Analytical chemistry. Qualitative analysis. Perm, 2019. 202 p. (In Russ.) Available at: https://elis.psu.ru/node/605211 (accessed 12 May 2024).
补充文件



