Improving methods for calculating the equivalent pressure of jet fans in large-section mine workings
- Authors: Semin M.A.1, Maltsev S.V.1, Rodionov V.A.2
-
Affiliations:
- Mining Institute of the Ural Branch of the Russian Academy of Sciences
- St. Petersburg Mining University
- Issue: Vol 335, No 7 (2024)
- Pages: 185-195
- Section: Articles
- URL: https://bakhtiniada.ru/2500-1019/article/view/267769
- DOI: https://doi.org/10.18799/24131830/2024/7/4393
- ID: 267769
Cite item
Full Text
Abstract
Relevance. The need to improve methods for calculating the operating parameters of jet fans in mine workings. The use of jet fans operating without air stopping is a promising option for increasing the efficiency of ventilation of large-section mine working systems. Operational analysis of the effectiveness of the selected parameters of jet fans and mixing chambers is possible only if there are sufficiently universal and accurate methods for calculating equivalent characteristics. While the approaches existing today have, as a rule, only one of the above properties. Aim. To determine the patterns of changes in the aerodynamic parameters of the air flow as it moves through a mine working with the jet fan operating without air stopping. Objects. Air flows generated in a large-ion mine working as a result of the operation of the jet fan with a mixing chamber. Methods. Three-dimensional numericsectal simulation of steady-state turbulent air flow in a mine working, comparative analysis of calculation results for different locations of the jet fan, comparative analysis of numerically calculated equivalent characteristics of the jet fan with an analytical formula. Results. The authors have determined the patterns of changes in mechanical energy and static pressure of the air flow as it moves along the mine working. Multiparameter numerical simulation for various airflow rates at the entrance to the mine working made it possible to obtain equivalent pressure characteristics of the VM-8 jet fan with a mixing chamber, which can be used in one-dimensional calculations of the steady-state distribution of flow rates in the mine ventilation networks. A comparative analysis of simulation data with a known analytical dependence of the pressure drop made it possible to determine the directions for further improvement of analytical methods for describing air flow in mine workings with jet fans equipped with mixing chambers.
Full Text
Введение
Моделирование течения воздуха в разветвленных вентиляционных сетях шахт и рудников обычно осуществляется с использованием одномерного подхода, основанного на законах Кирхгоффа 1-го и 2-го рода [1, 2]. Данный подход позволяет определить распределение расходов и давления в больших системах горных выработок за приемлемое время и с приемлемой точностью, соразмерной с точностью входных параметров одномерных математических моделей – аэродинамических сопротивлений горных выработок и перепадов давления от источников тяги [3].
При этом в горных выработках течение воздуха может быть существенно не одномерным. Такая ситуация, к примеру, имеет место при проветривании тупиковых горных выработок с помощью вентиляционных трубопроводов [4, 5], при течении через сложные сопряжения горных выработок [6]. Для анализа изменения аэродинамических характеристик воздушного потока при прохождении таких участков обычно используются либо приближенные эмпирико-теоретические формулы [7], либо же проводится трехмерное численное моделирование с применением методов вычислительной динамики жидкости и газа [8, 9].
Еще одним примером существенной неоднородности распределения аэродинамических характеристик воздушного потока является проветривание выработок вентиляторами-эжекторами [10, 11]. В данном случае в выработке с относительно большим поперечным сечением устанавливается маломощный вентилятор, работающий без перемычки. За счет кинетической энергии струи, исходящей из вентилятора, происходит эжекция воздушного потока, увеличивается средняя скорость движения воздуха по выработке, а также после выравнивания потока по поперечному сечению увеличивается его статическое давление [12] (рис. 1).
Рис. 1. Схематичный вид вентилятора-эжектора в горной выработке
Fig. 1. Schematic view of a jet fan in a mine working
Для повышения эффективности вентиляторов-эжекторов за ними зачастую устанавливают камеры смешения с диаметром проточной области в ~2 раза большим, чем диаметр вентилятора.
В этом смысле вентилятор-эжектор оказывается эквивалентен некоторому виртуальному вентилятору, который бы занимал всё поперечное сечения горной выработки и создавал бы определенный напор. Это обстоятельство очень важно с точки зрения перспектив математического описания вентиляторов-эжекторов в рамках одномерного подхода с помощью уравнений, отражающих законы Кирхгоффа 1-го и 2-го рода. Данный вопрос исследовался ранее в трудах [10, 13–15]. В работах [13, 14] предложены упрощенные аналитические модели для расчета напора эжектора на базе закона баланса энергии. В работах [10, 15] аналитические выражения для напора эжектора получены на основе закона баланса импульса. В [12] методами численного моделирования получена эквивалентная напорная характеристика от работы вентилятора ВМ-6 в горной выработке большого сечения. При этом аналитические зависимости, представленные в литературе, оказываются очень приближенными и не способны описать влияния ряда важных технологических параметров (например, места установки вентилятора в сечении выработки, параметров камеры смешения), а представленные результаты численного моделирования получены для частных случаев, которые сложно обобщить и распространить на другие практические ситуации.
В литературе также представлены исследования вентиляторов-эжекторов применительно к вопросу проветривания тоннелей метрополитенов [16–18]. Однако в этих исследованиях внимание уделяется преимущественно вопросам максимизации расхода воздуха, подаваемого в тоннель [16], распределения концентрации вредных примесей и температур в трехмерном воздушном пространстве тоннеля [17, 18]. В то время как для задач рудничной вентиляции более важен эквивалентный напор вентилятора-эжектора. Методология исследования чаще всего включает в себя численное трехмерное моделирование, однако граничные условия типа «вентилятор» зачастую не используются. Вместо этого задаются граничные условия по средней скорости потока на границах вентилятора [17, 19], что приводит к возможным несоответствиям расчетной модели с реальным объектом.
В настоящей работе исследованы закономерности проветривания горной выработки вентилятором-эжектором ВМ-8 с камерой смешения. Основное внимание в работе уделено изменению механической энергии потока и статического давления по мере движения потока по горной выработке. Проведено сравнение полученных результатов численного трехмерного моделирования работы вентилятора-эжектора с данными одномерной модели. Предложены пути совершенствования одномерной модели на предмет улучшения ее соответствия с данными трехмерного моделирования.
Объект исследования и методология
Рассматривалась горная выработка квадратного поперечного сечения (11×11 м) длиной 250 м. На входе в выработку задавалась фиксированная средняя скорость воздуха V0, а в выработке помещались вентилятор-эжектор и камера смешения (рис. 2). Оба вентиляционных объекта установлены без перемычек. Диаметр вентилятора равен 0,8 м, а диаметр камеры смешения – 1,6 м. Камера смешения на входе и выходе имеет диффузоры, увеличивающие ее диаметр до 1,7–1,8 м. Расстояние от выходного отверстия вентилятора до камеры смешения равно 0,8 м.
Рис. 2. Геометрия расчетной области
Fig. 2. Geometry of the computational domain
Ось вентилятора-эжектора совпадает с осью камеры смешения, а расстояние от этой оси до кровли и боковой стенки выработки составляет 1,3 м. Это соответствует ситуации размещения вентилятора и камеры на почве выработки у ее стенки.
Численное моделирование стационарного турбулентного течения воздуха осуществлялось в программном пакете ANSYS Fluent методом контрольных (конечных) объемов. Использовался алгоритм SIMPLE [20]. Воздушный поток считался несжимаемым и изотермическим, а его аэродинамические свойства соответствуют температуре +15 °С. Использовалась двухпараметрическая модель турбулентности realizable k-epsilon [21]. Вентилятор-эжектор учитывался посредством задания перепада давления при прохождении потоком срединного поперечного сечения внутри вентилятора:
.
Данная напорная характеристика соответствует паспортным данным для шахтного вентилятора местного проветривания ВМ-8 при угле поворота лопаток 20°.
Срединное поперечное сечение внутри вентилятора было задано как поверхность типа «интерфейс», связанная с основным трехмерным доменом и проницаемая для проходящего через нее потока. По данной причине остальные характеристики потока при его прохождении через указанную поверхность оставались неизменными. Объемный расход Q рассчитывался как произведение внутреннего сечения вентилятора (0,5 м2) на среднюю по сечению вентилятора скорость, определявшуюся автоматически в программе.
Выбор параметров конечно-объемной сетки осуществлялся путем предварительного моделирования течения для пяти различных сеток с размерами от 571 до 2952 тыс. ячеек. Во внутренней зоне все сетки сформированы тетраэдрическими ячейками, а на твердых стенках задавался призматический пограничный слой. Качество сетки оценивалось по перепаду давления в расчётной области. По итогам процедуры настройки сетки была принята сетка из 1580 тыс. ячеек с 8 пограничными слоями и сгущением сетки на стенках вентилятора и камеры до 5 см. Она обеспечила отклонение менее 1 % от эталонного решения на наилучшей сетке.
Результаты численного моделирования
На рис. 3 представлены вычисленные распределения осевой (Х) компоненты скорости воздуха вдоль вертикального среза горной выработки, проходящего через ось вентилятора. Рассмотрен исходный вариант (№ 1) размещения вентилятора и камеры на почве выработки у ее стенки (рис. 3, а) и дополнительный вариант (№ 2), когда вентилятор по-прежнему у стенки, но подвешен на высоту, равную половине высоты выработки (рис. 3, б). Средняя скорость воздуха на входе в выработку для обоих вариантов равна V0=0,25 м/с. На выходе задано нулевое статическое давление.
Рис. 3. Распределение продольной компоненты скорости потока в вертикальном сечении, проходящем через ось вентилятора: а) вентилятор на почве выработки; б) вентилятор на середине высоты выработки
Fig. 3. Distribution of the longitudinal component of the flow velocity in a vertical section passing through the axis of the fan: a) fan on the floor of the mine working; б) fan at the middle height of the mine working
Из данного рисунка видны основные закономерности течения воздуха в горной выработке с вентилятором-эжектором.
За счет перепада давления, задаваемого на вентиляторе, через него начинает течь высокоскоростной поток воздуха (средняя скорость воздуха в сечении вентилятора в обоих случаях составила около 28,3 м/с). Воздушная струя выходит из вентилятора, проходит через камеру смешения, подсасывая в нее часть воздуха из выработки. Далее струя частично или полностью раскрывается в камере смешения, после чего истекает в горную выработку. В итоге воздушная струя постепенно раскрывается в выработке, смешиваясь с основным потоком воздуха, двигающимся по выработке. Дополнительная кинетическая энергия, получаемая воздушной струей после прохождения вентилятора, провидит к появлению дополнительного положительного напора в общем потоке после раскрытия воздушной струи в горной выработке.
Из рис. 3 также видно, что характер и скорость раскрытия струи существенно зависят от положения вентилятора-эжектора в выработке. В обоих случаях в некотором объеме выработки в ситуации, когда дебит вентилятора выше расхода воздуха в выработке, образуются возвратные течения. Область возвратных течений может располагаться в окрестности вентилятора с камерой смешения или быть сдвинутой вниз по потоку.
Оценить увеличением напора общей воздушной струи можно посредством анализа механической энергии
(1)
и сил давления
(2)
в воздушном потоке по мере его продвижения вдоль выработки. Здесь p – статическое давление, Па; V – скорость воздуха, м/с; p – плотность воздуха, кг/м3; S – площадь поперечного сечения выработки, м2.
На рис. 4, 5 представлены распределения характеристик потока (1) и (2) вдоль продольной координаты по длине выработки. За отметку «нуль» по оси х принято положение вентилятора. Рассмотрены те же два варианта размещения вентилятора: на почве выработки (рис. 4, а) и на высоте, равной половине высоты выработки (рис. 4, б).
Рис. 4. Зависимость механической энергии и сил давления потока от продольной координаты по длине выработки: а) вариант размещения вентилятора и камеры на почве выработки; б) вариант размещения вентилятора и камеры по высоте на отметке посередине выработки
Fig. 4. Dependence of mechanical energy and pressure forces on the longitudinal coordinate along the length of the excavation: a) option for placing the fan and chamber on the excavation soil; б) option for placing the fan and chamber in height at the mark in the middle of the mine working
Рис. 5. Эквивалентные напорные характеристики вентиляторов-эжекторов с камерами смешения, результаты численного моделирования по вариантам 1 и 2 (аппроксимирующие зависимости (3) и (4)), аналитическая формула (5), (6)
Fig. 5. Equivalent pressure characteristics of jet fans with mixing chambers, results of numerical simulation for options 1 and 2 (approximating functions (3) and (4)), analytical formula (5), (6)
Из рис. 4 видно, что конечные значения e и F выше начальных, что и указывает на появление дополнительного положительного напора в общем потоке после раскрытия воздушной струи, исходящей из камеры смешения. Кривые для одинаковых параметров немного различаются, что связано с влиянием положения вентилятора. Отрицательные значения механической энергии в данном случае условны и связаны с нормированием среднего статического давления в выходном сечении домена на значение 0.
Также существенно различны и закономерности изменения статического давления и энергии по ходу течения воздушного потока по горной выработке. Если механическая энергия испытывает резкий скачок после прохождения вентилятора, то статическое давление в среднем по сечению до и после вентилятора не меняется, за исключением короткого всплеска в небольшой зоне самого вентилятора, что связано с сильным возрастанием динамического давления внутри вентилятора.
Рост статического давления происходит на некотором удалении от вентилятора и камеры смешения, в зоне смешения высокоскоростной струи, вытекающей из камеры смешения, и спутного потока воздуха. Локальный минимум на кривых энергии и сил давления в зоне за вентилятором связан с циркуляцией одного или двух крупномасштабных вихрей, обеспечивающих возвратные течения в части поперечного сечения выработки.
Возросшая механическая энергия e также продолжает существенно изменяться на протяженном участке горной выработки после истечения струи из вентилятора и камеры смешения – 9–19 характерных диаметров горной выработки. Вычисленное увеличение суммарной механической энергии потока после прохождения вентилятора составляет около 225 Дж/м для вентилятора на почве выработки и 265 Дж/м для вентилятора на высоте, равной половине высоты выработки. Эти величины находятся в хорошем соответствии с ожидаемым приростом давления части потока, проходящей через вентилятор. При дебите вентилятора, равном 14,15 м3/с, его депрессия составляет 480 Па. А интеграл этой величины по сечению вентилятора 0,5 м2 дает примерно 240 Дж/м.
Дополнительный положительный напор, создаваемый в горной выработке в результате действия вентилятора-эжектора с камерой смешения, может быть представлен как функция расхода воздуха на входе в горную выработку. Напорная характеристика некоторого эквивалентного вентилятора, вычисленная по перепаду статического давления до вентилятора и после раскрытия воздушной струи за вентилятором, представлена на рис. 5. Влияние аэродинамического сопротивления самой горной выработки на полученные напорные характеристики пренебрежимо мало и составляет менее 5 %. Также на рис. 5 представлена теоретическая зависимость [10], о которой будет сказано далее.
Сравнительный анализ с аналитическим решением
На рис. 5 представлены напорные характеристики для ранее рассмотренных вариантов № 1 и 2 размещения вентилятора-эжектора в поперечном сечении выработки. Каждая дискретная точка на синей и оранжевой кривых соответствует отдельному численному расчету, а ее абсцисса и ордината определялись путем вычисления объемного расхода Q, равного интегралу скорости потока по поперечному сечению горной выработки, и перепада давления , равного разнице средних статических давлений на входном и выходном сечениях рассматриваемой расчетной области. Далее по набору дискретных точек (по 6 на каждый вариант размещения вентилятора-эжектора) построены аналитические аппроксимирующие функции параболического вида:
(Па), (3)
(Па), (4)
где Q – объемный расход воздуха в выработке, м3/мин.
Теперь возникает вопрос о том, возможно ли получение подобных кривых с приемлемой точностью исходя из аналитических вычислений, не привлекая аппарат вычислительной динамики жидкости и газа. Как говорилось ранее, подобные модели были предложены в работах [10, 13–15]. Аналитические формулы в работах [10, 13] основаны на законе сохранения импульса (количества движения), что оказывается более корректным с учетом результатов моделирования, описанных в этой работе выше. Наиболее совершенной из представленных моделей является модель [10]. Согласно данной модели, эквивалентный напор вентилятора-эжектора рассчитывается так при :
(5)
(6)
где Qm – массовый расход воздуха в выработке, кг/с; qm – дебит вентилятора, кг/с; – массовый расход, не попадающий в камеру смешения, кг/с; F – сечение выработки, м2; S – сечение камеры смешения, м2; f – сечение проточной области вентилятора, м2; r – аэродинамическое сопротивление при течении воздуха с внешней стороны от камеры смешения, Н·с2/м8.
Уравнение (6) характеризует равенство потерь давления для спутного потока , проходящего вне камеры смешения (левая часть) и потока в камере смешения (правая часть). Уравнение (5) характеризует рост давления непосредственно после прохождения камеры смешения (первое слагаемое) и рост давления после раскрытия воздушной струи за камерой смешения (второе слагаемое). Здесь явно не фигурирует величина напора вентилятора. Влияние вентилятора задается только посредством дебита вентилятора qm. Физически это аргументируется так, что повышенное статическое давление струи воздуха qm, истекающей из выходного отверстия вентилятора, очень быстро выравнивается по поперечному сечению выработки. При этом полное давление струи остается существенно выше, чем в обтекающем вентилятор потоке Qm-qm.
Величина определяется из решения нелинейного алгебраического уравнения (6), после чего подставляется в (5). При рассматриваемых параметрах задачи уравнение (6) дает два корня: кг/с и кг/с. Второй корень, очевидно, лишен практического смысла, поскольку в этом случае эжекционный эффект не реализуется, а примерно половина воздушного потока, выходящего из вентилятора, не попадает в камеру смешения. В действительности с учетом близкого расположения вентилятора-эжектора и камеры смешения расход в камере смешения не ниже, чем в вентиляторе. Отбрасывая второй корень и подставляя первый в уравнение (5), получаем
. (7)
Здесь расход воздуха Qm также имеет размерность кг/с.
Аэродинамическое сопротивление r в (5), (6) задавалось исходя из расширения и сжатия воздушного потока при его течении в области вне камеры смешения [10]
.
На рис. 5 зеленым цветом представлена характеристика (7). Она дает заниженные значения, однако добиться приемлемого соответствия (отклонения менее 5 %) можно надлежащим подбором величины сечения камеры смешения. В данном случае сечение камеры смешения становится эффективным параметром модели. В целом анализ теоретического решения (5), (6) показывает, что оно очень чувствительно к выбору сечения камеры смешения (рис. 6, а). Важно отметить, что на рис. 5, 6 мы выводим напорные характеристики в терминах объемного расхода, в то время как в тексте этого раздела статьи чаще оперируем массовым расходом, что связано с записью исходной анализируемой модели (5), (6) в [10] в терминах массовых расходов.
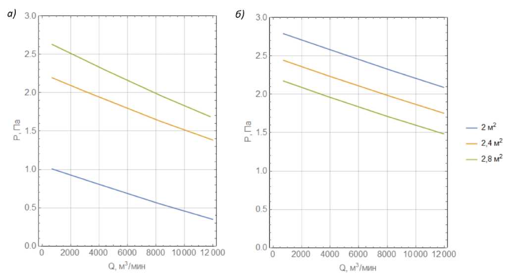
Рис. 6. Теоретические напорные характеристики вентиляторов-эжекторов с камерами смешения различного сечения: а) расход , аналитически рассчитанный из уравнения (6); б) расход , численно рассчитанный в программе ANSYS
Fig. 6. Theoretical pressure characteristics of jet fans with mixing chambers of different sections: a) analytically calculated flow rate using formula (6); b) numerically calculated flow rate
Полного соответствия аналитической формулы и численных кривых добиться нельзя из-за особенностей формулы – параболическая зависимость (5) имеет кривизну другого знака, чем численные кривые по вариантам 1 и 2. Это ясно из вида коэффициента при в квадратичной функции (6):
(8)
Этот коэффициент оказывает доминирующее влияние на член при квадрате в (7), и он всегда больше нуля. Однако здесь также следует учитывать, что первое слагаемое справа в (6) также будет зависеть от Qm, причем соответствующее слагаемое с может давать противоположный по знаку вклад по сравнению с (8).
Помимо этого, уравнение (6) дает неточный прогноз значения Q'. Если для базовых параметров задачи из (6) было получено значение кг/с, то численное моделирование дало кг/с. Если при построении характеристики (5) принять Q' по результатам численного моделирования, кривые сместятся вверх и изменят порядок (рис. 6, б). При этом они станут лучше сходиться с численными кривыми на рис. 5, так что корректировка диаметра камеры смешения не потребуется.
Для рассматриваемой выработки большого сечения основной вклад в правую часть (6) вносят второе и четвертое слагаемое. Согласно [10], второе слагаемое характеризует потери на сужение или расширение эжектируемого потока, а четвертое слагаемое описывает смешение потоков в камере смешения. В широком диапазоне возможных значений расходов воздуха их вклад составляет не менее 97 %. Причем второе слагаемое приводит к уменьшению эжекционного напора, а четвертое – к его увеличению. Поскольку потери давления на сужение/расширение в [10] описаны с помощью закона Борда–Карно, выведенного для течения в каналах с твердыми стенками [22], они могут не в полной мере быть справедливыми для рассматриваемой задачи без препятствий в виде твердых стенок перпендикулярно потоку. Если исключить из рассмотрения первое и третье слагаемые в (6) и уменьшить вклад второго слагаемого, введя некоторый поправочный коэффициент при втором слагаемом, можно добиться соответствия по величине с численным экспериментом. При значении 0,07 уравнение (6) дает –7,6 кг/с.
Несущественный вклад первого слагаемого в (6), связанного с расширением потока за камерной смешения, обусловлен тем, что воздушная струя не успевает раскрыться до момента образования и отслоения возвратных течений воздуха. Малый вклад третьего слагаемого в (6), отвечающего за разделение потоков на входе в вентилятор, обусловлен тем, что в данном случае суммарный импульс разделяющихся струй практически не меняется. В целом третье слагаемое в (6) должно рассматриваться только тогда, когда возвратный поток доходит до вентилятора, а эта ситуация не всегда справедлива, как, в частности, видно из результатов численного моделирования.
Предложенный подход корректировки модели (5), (6) посредством исключения двух слагаемых и введения поправочного множителя 0,07 для одного их оставшихся слагаемых показал эффективность в рассматриваемых условиях. Также он был успешно проверен применительно к условиям более слабого вентилятора ВМ-6 [12]. Представляет интерес дальнейшее исследование применительно к другим типам вентиляторов и другим сечениям выработок, для которых характер и скорость раскрытия струи эжектора может сильно варьироваться. Мы предполагаем, что предложенный подход справедлив только для выработок достаточно большого сечения, что обеспечивает малый вес первого и третьего слагаемых в (6). Также необходимо определить является ли параметр зависимым от характерных геометрических размеров горной выработки.
Заключение
Основные результаты проведенного исследования заключаются в следующем:
- Анализ результатов численного трехмерного моделирования течения воздуха в горной выработке с вентилятором-эжектором и камерой смешения позволил выявить закономерности изменения интегральных характеристик воздушных потоков по ходу движения по горной выработке. Показано влияние положения вентилятора-эжектора на его эквивалентную напорную характеристику.
- Проведенное сравнение аналитической формулы для расчета эквивалентного напора вентилятора-эжектора и результатов трехмерного численного моделирования позволило выявить недостатки аналитической модели и их возможные причины, связанные с гипотезами, использованными при выводе формулы. Предложен способ корректировки аналитической формулы.
В дальнейшем исследование будет продолжено на предмет совершенствования аналитической формулы для расчета эквивалентного напора вентилятора с учетом его положения в поперечном сечении горной выработки.
About the authors
Mikhail A. Semin
Mining Institute of the Ural Branch of the Russian Academy of Sciences
Author for correspondence.
Email: seminma@inbox.ru
ORCID iD: 0000-0001-5200-7931
Dr. Sc., Head of the Laboratory of Mathematical Modeling of Geotechnical Processes
Russian Federation, PermStanislav V. Maltsev
Mining Institute of the Ural Branch of the Russian Academy of Sciences
Email: stasmalcev32@gmail.com
Cand. Sc., Head of the Mine ventilation sector
Russian Federation, PermVladimir A. Rodionov
St. Petersburg Mining University
Email: 79213258397@mail.ru
ORCID iD: 0000-0003-2398-5829
Cand. Sc., Associate Professor
Russian Federation, St. PetersburgReferences
- Rodriguez-Diaz O.O., Novella-Rodriguez D.F., Witrant E., Franco-Mejia E. Control strategies for ventilation networks in small-scale mines using an experimental benchmark. Asian Journal of Control, 2021, vol. 23, no. 1, pp. 72–81.
- Kruglov Yu.V., Isaevich A.G., Levin L.Yu. Comparative analysis of modern algorithms for calculating ventilation networks. Minerals and mining engineering, 2006, no. 5, pp. 32–37. (In Russ.)
- Semin M., Levin L. Mathematical modeling of air distribution in mines considering different ventilation modes. Mathematics, 2023, vol. 11, no. 4, article no. 989.
- Isaevich A., Semin M., Levin L., Ivantsov A., Lyubimova T. Study on the dust content in dead-end drifts in the potash mines for various ventilation modes. Sustainability, 2022, vol. 14, no. 5, article no. 3030.
- Kobylkin S.S., Timchenko A.N., Kobylkin A.S. Use of computer simulation in the selection of operating parameters for the dust extractor built into the roadheaders. Bezopasnost Truda v Promyshlennosti, 2021, no. 3, pp. 21–27. (In Russ.)
- Kazakov B.P., Kolesov E.V., Nakaryakov E.V., Isaevich A.G. Models and methods of aerogasdynamic calculations for ventilation networks in underground mines: Review. Mining information and analytical bulletin (scientific and technical journal), 2021, no. 6, pp. 5–33. (In Russ.)
- Levin L.Yu., Semin M.A., Gazizullin R.R. Development of local resistance determinaton method for mine ventilation networks. Mining information and analytical bulletin (scientific and technical journal), 2014, no. 9, pp. 200–205. (In Russ.)
- Ding C., He X., Nie B. Numerical simulation of airflow distribution in mine tunnels. International Journal of Mining Science and Technology, 2017, vol. 27, no. 4, pp. 663–667.
- Amosov P.V., Baklanov A.A. Development of an atmospheric aerothermodynamics model for studying dust processes in tailings dumps using the COMSOL program. Bulletin of the Murmansk State Technical University, 2023, vol. 26, no. 1, pp. 25–44. (In Russ.)
- Shalimov A.V. Study of the influence of ejector installations on air distribution in mine ventilation networks of arbitrary topology. Cand. Diss. Perm, 2003. 142 p. (In Russ.)
- Stewart C. New applications of jet fans in underground mines for haulage ramps and block cave ventilation control. Underground Ventilation. London, CRC Press, 2023. pp. 515–525.
- Kazakov B.P., Semin M.A., Maltsev S.V. mathematical simulation of gypsum mine block ventilation using venturi fans. Proceedings of the Tula state university-sciences of earth, 2018, no. 3, pp. 237–247. (In Russ.)
- Medvedev I.I. Ventilation of potash mines. Moscow, Nedra Publ., 1970. 208 p. (In Russ.)
- Alymenko D.N. Operation of a combined type ventilation unit in a mine ventilation network. Cand. Diss. Perm, 1999. 159 p. (In Russ.)
- Mokhirev N.N. Study of the operation of ejector installations in mine ventilation networks. Cand. Diss. Perm, 1971. 217 p. (In Russ.)
- Gendler S.G., Savenkov E.A. Physical modeling of the longitudinal ventilation scheme of tunnels using ejector fans installed on the surface in front of the portal. Mining Information and Analytical Bulletin (scientific and technical journal), 2015, no. S4-4, pp. 15–22. (In Russ.)
- Eftekharian E., Dastan A., Abouali O., Meigolinedjad J., Ahmadi G. A numerical investigation into the performance of two types of jet fans in ventilation of an urban tunnel under traffic jam condition. Tunnelling and Underground Space Technology, 2014, vol. 44, pp. 56–67.
- Betta V., Cascetta F., Musto M., Rotondo G. Fluid dynamic performances of traditional and alternative jet fans in tunnel longitudinal ventilation systems. Tunnelling and Underground Space Technology, 2010, vol. 25, no. 4, pp. 415–422.
- Chen T., Li Y., Xu Z., Kong J., Liang Y., Wang B., Fan C. Study of the optimal pitch angle of jet fans in road tunnels based on turbulent jet theory and numerical simulation. Building and Environment, 2019, vol. 165, article No. 106390.
- Petrov V.N., Shabalin A.S., Sopin V.F., Petrov S.V., Malyshev S.L. Study of aerodynamic parameters of a turbulent jet flow in a cylindrical channel using numerical and integral methods. Bulletin of the Kazan Technological University, 2016, vol. 19, no. 18, pp. 156–159. (In Russ.)
- Yin S., Nie W., Guo L., Liu Q., Hua Y. CFD simulations of air curtain dust removal effect by ventilation parameters during tunneling. Advanced Powder Technology, 2020, vol. 31, no. 6, pp. 2456–2468.
- Kuzmin S.A. Control of pumps for oil product supply facilities. Equipment and technologies for the oil and gas complex, 2008, no. 4, pp. 21–25. (In Russ.)
Supplementary files







