Numerical simulation of non-stationary regime of a submerged combustion setup operation
- Авторлар: Demin V.A.1, Kostyrya A.V.2
-
Мекемелер:
- Perm State National Research University
- Perm National Research Polytechnic University
- Шығарылым: Том 335, № 7 (2024)
- Беттер: 174-184
- Бөлім: Articles
- URL: https://bakhtiniada.ru/2500-1019/article/view/267751
- DOI: https://doi.org/10.18799/24131830/2024/7/4343
- ID: 267751
Дәйексөз келтіру
Толық мәтін
Аннотация
Relevance. The need to evaporate large quantities of brines at potash industry enterprises. Evaporation of brines in surface evaporators is difficult due to the encrustation of heat exchange surfaces by salt deposits. Therefore, such evaporation is most expedient to be carried out in submerged combustion apparatuses, since they do not contain heat-transmitting surfaces. However, in this type of apparatus, malfunctions may occur due to uncontrolled solid phase deposition. At the moment, the dynamics of the solid phase in submerged combustion devices is poorly studied. This study is part of a scientific program aimed at a comprehensive review of the laws of motion of solid particles in submerged combustion apparatuses. Aim. To study the hydrodynamic processes in the submerged combustion setup in the time interval corresponding to the beginning of its operation; describe the patterns of solid phase motion as a function of time. Object. Laboratory setup of submerged combustion. A simplified model of the thermal mode of operation without the subsequent transition of the liquid phase to steam is analyzed.
Methods. The study was conducted by numerical experiment. The hybrid finite volume method was used in simulation in combination with the technology of the finite element method. The multiphase system was considered as two coexisting subsystems: gas–liquid and liquid–solid. Results. The paper considers the final time interval of the setup operation. It is found that during the time under consideration, a stationary mode of solid particle deposition is achieved. The authors have detected liquid flow velo-city oscillations, leading to fluctuations in the mass flow rate of solid particles at the bottom of the setup. It was found that the velocity at the tip of the flue gas jet escaping from the burner nozzle, as well as the pressure at the nozzle section, have a similar form of oscillation. The authors substantiated the hypothesis about the determining influence of the instability of the jet movement of flue gases on the oscillatory behavior of the entire hydrodynamic system.
Негізгі сөздер
Толық мәтін
Введение
Аппараты погружного горения (АПГ) представляют собой теплотехнические устройства для прямого нагрева и выпаривания растворов. Нагрев раствора происходит при его непосредственном контакте со струёй горячих дымовых газов, образующейся в камере сгорания. Преимуществом такого способа нагрева является отсутствие теплопередающих поверхностей, на которых выпадают осадки солей [1]. При работе АПГ струя дымовых газов, контактируя с жидкостью, разбивается на пузырьки, которые барботируют через слой жидкости и отдают ей своё тепло. После выхода из барботажного слоя дымовые газы инвертируются в сплошную фазу и покидают аппарат через выхлопную трубу. Нагретая жидкая фаза переливается через порог, попадает в приёмную ёмкость и смешивается с новыми порциями жидкости, поступающими в АПГ. Жидкая фаза из приёмной ёмкости принудительно с помощью насоса подаётся в выпарную ёмкость, где происходит её нагрев и последующее выпаривание.
АПГ, как правило, используются для выпаривания загрязнённых жидкостей или концентрированных растворов солей, образующих в ходе технологического процесса осадок [1, 2]. Конкретными примерами применения могут служить выпаривание соленых шламов и выпаривание щелоков с получением товарной соли на предприятии «Уралкалий». При этом в аппарате неминуемо возникает твёрдая фаза, представленная мелкодисперсными частицами. Неуправляемое движение твёрдых частиц приводит к частым засорениям аппарата и, как следствие, к длительным простоям для его очистки. Эта проблема может быть решена за счёт организации управляемого движения твёрдой фазы в аппарате [3]. Однако разработка мероприятий по организации движения частиц требует предварительного изучения закономерностей их осаждения в АПГ. Известны исследования осаждения твёрдых частиц в жидкости, однако они выполнены либо для двухфазных потоков [4, 5], либо для сред со специфическими свойствами [6, 7].
Для изучения погружного горения по заказу филиала ВНИИ Галургии (г. Санкт-Петербург) на предприятии «ТеплоЭнергоПром» (Пермский край, п.г.т. Полазна) была создана лабораторная установка, имитирующая АПГ. Принципиальная схема лабораторной установки представлена на рис. 1. Как и полноразмерный аппарат, установка снабжена погружной горелкой, создающей струю горячих дымовых газов. Под горелкой установлено отбойное устройство. Также присутствует вертикальная перегородка, разделяющая рабочий объём на две области. Причём перегородка допускает перетекание жидкости через неё, также как жидкость переливалась бы через порог в АПГ.
Рис. 1. Принципиальная схема лабораторной установки
Fig. 1. Schematic diagram of a laboratory setup
Кроме того, в месте смыкания перегородки с нижним днищем установки предусмотрено окно для протока жидкости. Математическое моделирование полноразмерного аппарата требует использования значительных вычислительных ресурсов, поэтому для отладки модели была выбрана именно лабораторная установка. Установка имеет сравнительно небольшие линейные размеры (2,2:1,4:1 м), что делает её моделирование методом конечных объёмов более экономичным, чем моделирование полноразмерного АПГ.
Известны работы по исследованию межфазного тепло- и массообмена твердых частиц и несущей жидкости [8, 9], однако они не затрагивают трёхфазных систем. Кроме того, стоит отметить работы по изучению конвективных течений жидкости в замкнутых объёмах [10–12] с учетом сопряженного теплообмена с окружающей средой. Расчетная геометрия схожа по постановке с рассматриваемой в настоящем исследовании, однако отмеченные задачи являются в определенном смысле модельными, тогда как нами рассматривается реальная техническая система. Взаимодействие турбулентных потоков с твердыми препятствиями при градиентах скоростей близких к тем, что имеют место в реальном АПГ, численно рассматривается в [13, 14].
Ранее нами были исследованы законы движения (трехмерная структура и параметры) трёхфазного потока газ–жидкость–твёрдые частицы на примере лабораторной установки с погружным горением [3]. Также было проведено детальное изучение динамики твёрдой фазы [15]. Настоящая работа является продолжением указанной серии исследований и направлена на изучение нестационарного режима работы установки с переменным уровнем жидкости. Такой режим имеет место при глубоком упаривании растворов с удалением 60–70 % воды (по массе).
Постановка задачи и метод решения
В рассматриваемой многофазной системе несущей фазой является жидкость. Это обусловлено тем, что, во-первых, жидкость является сплошной средой, а во-вторых, её объёмная доля является наибольшей. В расчётной модели жидкость представлена водой. Дымовые газы диспергированы в жидкости в виде пузырьков. Так как применительно к АПГ вопрос о размерах пузырьков дымовых газов исследован недостаточно, принят их фиксированный диаметр 3 мм, по примеру работы [16] в соответствии с экспериментальными данными. Для целей моделирования дымовые газы были заменены на воздух, так как теплофизические свойства дымовых газов, полученных при сжигании природного газа с коэффициентом избытка воздуха, равным 1,65, близки к свойствам чистого воздуха. Твёрдая фаза представлена частицами хлорида калия диаметром 0,24 мм. Такой размер частиц соответствует среднему диаметру флотационного продукта на втором и третьем Березниковских калийных производственных рудоуправлениях предприятия «Уралкалий».
Адекватная физико-математическая модель была построена в ходе исследования [3] и учитывает взаимодействия жидкость–газ и жидкость–твёрдые частицы раздельно. Так как эффекты флотации не являются определяющими при работе АПГ, пренебрежение взаимодействием газ–твёрдые частицы считаем оправданным. Взаимодействие газовой и жидкой фаз моделировалось с помощью подхода «Эйлер-Эйлер» (Eulerian-Eulerian multiphase model) [16, 17], движение твёрдых частиц – с помощью подхода «Эйлер-Лагранж» (Lagrangian particle tracking model) [18]. Преимуществом «Эйлер-Лагранж» подхода является возможность построить траектории частиц от момента зарождения до момента их осаждения на поверхность или вынужденного самоуничтожения по причине ограниченности вычислительных ресурсов в отношении допустимой длины траектории частиц. Также в модель были заложены уравнения турбулентного движения, так как струя горячих дымовых газов в момент выхода из сопла горелки имеет скорость порядка 100 м/с и может вызывать значительные турбулентные пульсации в зоне контакта с жидкостью. В то же время в зонах, удалённых от горелки, особенно за вертикальной перегородкой, течение потока может оставаться ламинарным. Таким образом, для корректного моделирования течений необходима модель турбулентности, обеспечивающая надёжные результаты как при высоких, так и при низких числах Рейнольдса. Этому требованию отвечает модель RNG k-ε (с ренормализованными группами) [16].
Описанная модель дала предварительные результаты, хорошо согласующиеся как с ранее известными данными по структуре потоков в АПГ, так и с опытными данными, полученными на лабораторной установке [3]. Модель построена на основе исследования по обратному псевдоожиженному слою, индуцированному пузырьками [16], который представляет собой близкий к АПГ расчётный случай. В указанном исследовании авторы, сравнив численные и опытные данные, пришли к заключению о хорошем согласии физико-математической модели и эксперимента.
На рис. 2 представлена расчётная схема, использованная в настоящем исследовании. Так как процесс горения топлива не является предметом рассмотрения, горелка, как отдельный элемент, в схеме отсутствует. Собственно говоря, интерес представляет лишь поток дымовых газов.
Рис. 2. Расчётная схема лабораторной установки: 1) разрез; 2) аксонометрия
Fig. 2. Settlement scheme of laboratory setup: 1) section; 2) axonometry
В то же время модель инверсии сплошного газового потока в отдельные пузырьки при контакте с вязкой жидкостью не разработана. В соответствии с этими соображениями мы ограничились заданием потока пузырьков газа на срезе сопла горелки в качестве граничного условия. Также было принято допущение о равномерном распределении по сечению параметров потока.
Верхняя граница расчётной области является открытой, то есть допускает движение сред как наружу, так и вовнутрь области. При этом задаются параметры среды, находящейся за границей. В нашем случае была задана атмосфера производственного помещения. Для моделирования убыли жидкости был введён слив с фиксированным расходом. Ввод твёрдой фазы осуществляется в пространстве между соплом горелки и отбойным устройством. Эта зона является местом максимальной теплонапряжённости, а значит, в реальном процессе именно здесь будет происходить испарение жидкости и, как следствие, выпадение в осадок кристалликов соли. Прочие границы расчётной области являются адиабатическими стенками. Дополнительно для нижнего днища и верхней поверхности отбойного устройства введено условие полной абсорбции твёрдой фазы. С помощью данного приёма имитируется прилипание соли к указанным поверхностям. Предусмотрены две серии экспериментов с массовыми расходами на сливе 0,1 и 1 кг/с при прочих равных условиях. Рассматривался нестационарный режим работы установки с θ1=4 с, θ2=120 с.
Уравнения физико-математической модели решались с помощью коммерческого пакета ANSYS CFX 2020R2. Пакет ANSYS CFX представляет собой программное обеспечение для моделирования задач гидродинамики. Вычислительным пакетом реализуется гибридная технология, основанная на методе конечных объемов с использованием метода конечных элементов. Метод выбран в силу его хорошей разработанности применительно к задачам с особыми требованиями к консервативности численной схемы. Кроме того, данный метод дискретизации является оптимальным на произвольных неструктурированных сетках с ячейками произвольной формы [19].
Описание математической модели
Основой системы уравнений является модель «Эйлер-Эйлер» с добавлением некоторых уравнений подхода «Эйлер-Лагранж». Таким образом, имеем следующие уравнения неразрывности и переноса импульса с учетом RNG k-ε модели турбулентности:
(1)
(2)
(3)
(4)
(5)
(6)
Здесь α – объёмная доля; ρ – плотность (кг/м3); v – скорость (м/с); t – время (с); p – давление (Па); μ и μtur – динамическая и турбулентная вязкость (Па∙с); H – удельная энтальпия (Дж/кг); λ – теплопроводность (Вт/м∙К); T – температура (К); Q – количество тепла, поступившее из фазы j (Дж/м3); cp – теплоёмкость при постоянном давлении (Дж/кг∙К); d – диаметр (м); m – масса (кг). Векторы g, Fdrag,i,j и Fgrav представляют ускорение свободного падения (м/с2), удельную силу межфазного взаимодействия (Н/м3) и силу тяжести (Н); k и ε – энергия турбулентных пульсаций и скорость её рассеивания, τ – тензор вязких напряжений. Индексы i, j указывают на произвольные фазы, индексы g, l, s отвечают газовой, жидкой и твёрдой фазам, соответственно. Константы модели RNG k-ε приведены в таблице.
На базовые уравнения (1)–(6) были наложены граничные условия:
- сопло горелки
- открытая граница
(указанные условия справедливы, строго говоря, за открытой границей);
- слив
- адиабатические стенки, перегородка и отбойное устройство
Индекс n означает направление по нормали, обращённой внутрь расчётной области. Схематично граничные условия проиллюстрированы на рис. 2.
Массовый расход твёрдой фазы принят 0,05 кг/с. Ввод осуществлялся равномерными порциями на каждом временном шаге по конусу с центральным углом 50° и радиусом основания 0,2 м. Конус соосен с соплом горелки, основание конуса находится на расстоянии 0,55 м от нижней границы расчётной области. Направление ввода – от вершины к основанию, основание обращено к отбойному устройству (вниз). Начальная скорость частиц 0,01 м/с, что несколько меньше скорости их осаждения. Начальные скорости жидкости и дымовых газов приняты нулевыми. Начальная температура во всей расчётной области 298 К. В начальный момент времени вся расчётная область заполнена водой.
Для замыкания системы уравнений введены дополнительные соотношения. Условие нормировки для объемных долей фаз: al+ag=1; выражения для тензоров вязких напряжений и деформаций:
Кроме того, введены соотношения для уравнений модели турбулентности [3, 16]:
Коэффициент сопротивления, используемый для вычисления силы межфазного взаимодействия, определяется корреляцией Шиллера–Науманна [16]:
Коэффициент теплоотдачи определяется согласно формуле:
Эффективная теплопроводность дополняется турбулентным слагаемым согласно работе [17]
где Prtur – турбулентное число Прандтля (принято 0,9). Индексы lam и tur отвечают ламинарному и турбулентному режимам соответственно.
Введены следующие обозначения для безразмерных комплексов: это два критерия Рейнольдса для пузырьков воздуха и твёрдых частичек, а также числа Прандтля и Нуссельта, соответственно [16, 17]:
Последнее соотношение представляет собой корреляцию Ранца–Маршалла.
Таблица. Параметры модели RNG k-ε
Table. RNG k-ε model parameters
Параметр Parameter | Значение Value | Ссылка Link | Параметр Parameter | Значение Value | Ссылка Link |
sk | 1,39–1 | [20] | h0 | 4,38 | [20] |
se | 1,39–1 | [20] | b | 0,012 | [20] |
qk | 1 | [16] | C1,e, C2,e | 1,42; 1,68 | [20] |
q1,e | 1 | [16] | Cm | 0,085 | [17] |
q2,e | 1 | [16] | C3,e | 0 | [16] |
q3,e | 1 | [16] | Пk | 0 | [16] |
Были приняты следующие размеры расчётной области: длина 2,106 м; ширина 1,306 м; высота 0,856 м. Эти параметры соответствуют габаритам лабораторной установки. Высота уменьшена по сравнению с оригиналом, так как свободная граница проведена ниже верхнего днища установки.
Для дискретизации расчётной области была построена неравномерная конечно-объёмная сетка. В выпарной области сторона ячейки составляет 0,01 м, в остальной области – 0,033 м. Общее количество элементов сетки составило 12069799 при количестве узлов 2238943.
Обсуждение результатов
В результате проведения двух серий численных экспериментов были получены данные об интенсивности осаждения твёрдой фазы, её накоплению на дне и в толще жидкости. Данные численных экспериментов представлены на рис. 3–7.
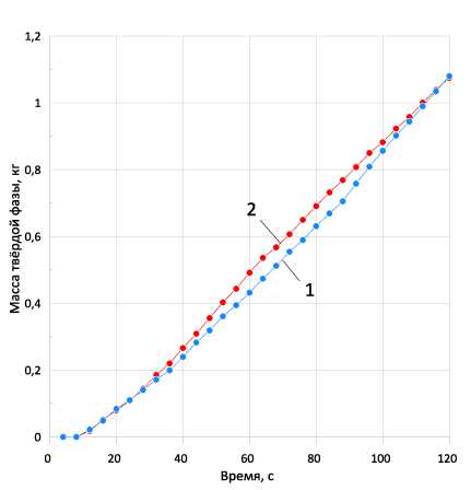
Как видно из рис. 3, расход частиц, осевших на дне установки, резко возрастает в первые 20 секунд численного эксперимента. Затем расход колеблется возле значения 0,04 кг/с. На рис. 4 показано накопление твёрдой фазы на дне установки, что по сути является результатом интегрирования по времени массового расхода.
Рис. 3. Массовый расход твёрдой фазы на дне установки: 1 – сток 0,1 кг/с; 2 – сток 1 кг/с
Fig. 3. Solid phase mass flow rate at the bottom of the setup: 1 – outflow rate 0,1 kg/s; 2 – outflow rate 1 kg/s
Рис. 4. Количество твёрдой фазы на дне установки: 1 – сток 0,1 кг/с; 2 – сток 1 кг/с
Fig. 4. Solid phase amount at the bottom of the setup: 1 – outflow rate 0,1 kg/s; 2 – outflow rate 1 kg/s
Для обоих случаев графики являются практически прямыми наклонными линиями, что соответствует дрейфу расхода возле постоянного значения. Накопление в толще жидкости распределённой твёрдой фазы также происходит стадийно. Из рис. 5 видно, что до момента времени θ=44 с объём твёрдых частиц демонстрирует замедляющийся рост, а после указанного момента наблюдается выход на плато в области значений 5,5×10–4 м3. Причём описанная картина наблюдается для обоих расчётных случаев.
Рис. 5. Объём твёрдой фазы, распределённой в жидкости: 1 – сток 0,1 кг/с; 2 – сток 1 кг/с
Fig. 5. Volume of the solid phase distributed in liquid: 1 – outflow rate 0,1 kg/s; 2 – outflow rate 1 kg/s
Рис. 6. Объём жидкости: 1 – сток 0,1 кг/с; 2 – сток 1 кг/с
Fig. 6. Liquid volume: 1 – outflow rate 0,1 kg/s; 2 – outflow rate 1 kg/s
Снижение объёма жидкости в установке, как видно из рис. 6, является сначала нелинейным с последующим выходом на линейный участок. Первоначальная нелинейность процесса объясняется методикой численного эксперимента. В соответствии с начальными условиями в момент времени θ=0 вся расчётная область заполнена водой. Далее начинается нагнетание в установку горячих дымовых газов, которые вытесняют часть жидкости через открытую границу. Это происходит до тех пор, пока дымовые газы не займут объём, соответствующий развитому барботажному слою. После этого изменение уровня определяется только интенсивностью стока.
Также в ходе численного эксперимента были получены поля температур, скоростей и объёмных долей жидкости (рис. 7–9). На нижеследующих рисунках показаны поля, соответствующие установившемуся режиму. На изображениях показана область наибольшего интереса – пространство возле погружной горелки.
Рис. 7. Температура жидкости в области возле погружной горелки (θ=120 с)
Fig. 7. Liquid temperature in the area near the submerged burner (θ=120 s)
Рис. 8. Скорость жидкости в области возле погружной горелки (θ=120 с)
Fig. 8. Liquid velocity in the area near the submerged bur-ner (θ=120 s)
Рис. 9. Объёмная доля дымовых газов в области возле погружной горелки (θ=120 с)
Fig. 9. Bubbles volume fraction in the area near the submerged burner (θ=120 s)
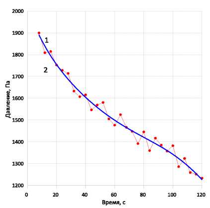
Так как в ходе численных экспериментов обнаружились осцилляции массового расхода твёрдой фазы, достигающие 25 % от эффективного значения, было принято решение о проведении дополнительных исследований с целью установления природы осцилляций. Для этого были рассмотрены векторы скорости жидкости в четырёх точках вблизи дна установки, векторы скоростей дымовых газов на кончике струи, вырывающейся из сопла горелки, а также давление на срезе сопла. Расположение точек и их условные обозначения показаны на рис. 10. Так как динамика процессов для расчётных случаев 0,1 и 1 кг/с схожи, для дальнейшего анализа использовались только данные численного эксперимента со стоком 1 кг/с. Дополнительные данные представлены на рис. 11–15.
Рис. 10. Схема расположения точек (горизонтальный разрез)
Fig. 10. Layout of the points (horizontal section)
Рис. 11. Проекции скоростей жидкости на ось Х: ПН – правая нижняя точка; ЛН – левая нижняя точка; ЛВ – левая верхняя точка; ПВ – правая верхняя точка
Fig. 11. Projections of liquid velocities on the X-axis: ПН – lower right point; ЛН – lower left point; ЛВ – upper left point; ПВ – upper right point
Рис. 12. Проекции скоростей жидкости на ось Y: ПН – правая нижняя точка; ЛН – левая нижняя точка; ЛВ – левая верхняя точка; ПВ – правая верхняя точка
Fig. 12. Projections of liquid velocities on the Y-axis: ПН – lower right point; ЛН – lower left point; ЛВ – upper left point; ПВ – upper right point
Рис. 13. Проекции скоростей жидкости на ось Z: ПН – правая нижняя точка; ЛН – левая нижняя точка; ЛВ – левая верхняя точка; ПВ – правая верхняя точка
Fig. 13. Projections of liquid velocities on the Z-axis: ПН – lower right point; ЛН – lower left point; ЛВ – upper left point; ПВ – upper right point
Рис. 14. Скорость газа на кончике струи: 1–3 – X, Y и Z-компоненты, соответственно
Fig. 14. Gas velocity at the jet tip: 1–3 are the X, Y and Z components, respectively
Рис. 15. Давление на срезе сопла: 1 – численные данные; 2 – линейная аппроксимация
Fig. 15. Nozzle cut-off pressure: 1 – numerical data; 2 – approximation
Анализируя значения проекций векторов скорости жидкости вблизи дна (рис. 11–13), можно увидеть, что в каждой из точек вектор скорости направлен к гипоцентру сопла горелки, как показано на рис. 16. Это совпадает с данными о наличии в установке осесимметричных вихрей, полученными при исследовании стационарного режима [3]. Наибольший интерес представляют вертикальные компоненты скорости (ось Y), так как именно они в наибольшей степени влияют на осаждение. Как видно на графике рис. 12, вертикальные составляющие колеблются возле нулевого значения с хаотичной сменой знака. Это может служить объяснением осцилляций массового расхода на дне установки. Однако возникает вопрос о том, что является первопричиной осцилляционных процессов в системе. Причины колебаний определяются нетурбулентными пульсациями, как предполагалось ранее, потому что область сколько-нибудь значимых пульсаций занимает лишь малый объём расчётной области [3].
Рис. 16. Направления векторов скорости
Fig. 16. Directions of velocity vectors
На рис. 14 можно увидеть осцилляции компонент вектора скорости по форме аналогичные осцилляциям скоростей в точках возле дна. Такую же форму осцилляции имеют давления на срезе сопла (рис. 15). Это даёт основание предположить, что источником пульсаций скорости потока является именно неустойчивость струйного движения дымовых газов на сопле.
В качестве фактора, оказывающего заметное влияние на гидродинамическую картину в установке, в первую очередь, выступает струя горячих дымовых газов. Именно поэтому для дополнительного анализа авторами была выбрана точка на кончике струи и срез сопла.
Заключение
В настоящем исследовании рассмотрен нестационарный трехмерный режим работы установки погружного горения. По причине ограниченности вычислительных ресурсов рассматривался начальный период работы установки порядка 120 с. Обнаружено, что за это время осаждение твёрдой фазы успевает выйти на установившийся режим. Вместе с тем обнаружены осцилляции скорости потока в установке по всем трём ортогональным компонентам. Эти осцилляции, в свою очередь, приводят к колебаниям массового расхода твёрдых частиц на дне установки. Обнаружено, что схожую форму колебаний имеют скорость на кончике струи дымовых газов, вырывающейся из сопла горелки, а также давление на срезе сопла. Выдвинута гипотеза о том, что источником осцилляций являются колебания струи дымовых газов.
Обнаруженные в системе колебательные процессы следует учитывать при рассмотрении образования и роста частиц твердой фазы растворённого вещества. Пульсации скорости также оказывают влияние на налипание осадка на внутренние поверхности установки.
Авторлар туралы
Vitaly Demin
Perm State National Research University
Email: demin@psu.ru
Dr. Sc., Professor, Head of the Theoretical Physics Department
Ресей, PermAlexey Kostyrya
Perm National Research Polytechnic University
Хат алмасуға жауапты Автор.
Email: avkostyrja@pstu.ru
ORCID iD: 0009-0006-0608-8826
Postgraduate Student
Ресей, PermӘдебиет тізімі
- Udyma P.G. Apparatuses with submersible burners. Moscow, Mashinostroenie Publ., 1973. 272 p. (In Russ.)
- Alaboskiy A.N., Udyma P.G. Submerged combustion apparatuses. Moscow, MEI Publ., 1994. 256 p. (In Russ.)
- Demin V., Kostyrya A. Dynamics of gas-liquid-solid three phase flow in submerged combustion setup. Bulletin of StPbSIT(TU), 2022, no. 63 (89), pp. 78–83. (In Russ.) doi: 10.36807/1998-9849-2022-63-89-78-83.
- Arhipov V.A., Usanina A.S., Zolotoryov N.N., Maslov E.A. Dynamics of the deposition of solid particles in a liquid. Proc. of the XX Anniversary International Conference on Computational Mechanics and Modern Applied Systems. Alushta, MAI-Print, 2017. pp. 612–613. (In Russ.)
- Arkhipov V.A., Basalaev S.A., Perfilieva K.G. Polenchuk S.N., Usanina A.S. Experimental study of the hydrodynamic drag coefficient for cooled solid sphere at low Reynolds numbers. Letters to the Journal of Technical Physics, 2021, vol. 47, no. 7. pp. 46–48. (In Russ.) doi: 10.21883/PJTF.2021.07.50800.18592.
- Glukhov A.F., Demin V.A., Popov E.A. Thermal magnetic nanosuspension convection in narrow channels. Fluid Dynamics, 2013, vol. 48, no. 1, pp. 36–45.
- Shliomis M.I., Smorodin B.L. Onset of convection in colloids stratified by gravity. Physical Review E – Statistical, Nonlinear, and Soft Matter Physics, 2005, vol. 71, no. 3, pp. 036312. doi: 10.1103/PhysRevE.71.036312.
- Antonov D.V., Kuznetsov G.V., Strizhak P.A. Mathematical modeling of heat transfer in a droplet of coal-water fuel leading to its fragmentation. Applied Thermal Engineering, 2022, vol. 212, pp. 118628. doi: 10.1016/j.applthermaleng.2022.118628.
- Kuznetsov G.V., Syrodoy S.V., Salomatov V.V. Numerical simulation of ignition of particles of a coal–water fuel. Combustion, Explosion, and Shock Waves, 2015, vol. 51, no. 4, pp. 409–415. (In Russ.) doi: 10.1134/S0010508215040024
- Le Xuan Hoang Khoa, Sheremet M.A. Natural convection in an enclosure with fins in the presence of non-uniform temperature pro-file at vertical wall. Bulletin of Perm University. Physics, 2021, no. 4, pp. 30–38. (In Russ.) doi: 10.17072/1994-3598-2021-4-30-38.
- Astanina M.S., Sheremet M.A. Simulation of mixed convection of a variable viscosity fluid in a partially porous horizontal channel with a heat-generating source. Computer Research and Modeling, 2019, vol. 11, no. 1, pp. 95–107. (In Russ.) doi: 10.20537/2076-7633-2019-11-1-95-107.
- Loenko D.S., Sheremet M.A. Convective heat transfer of power-law fluid in a cavity with a heat source of time-dependent volumetric heat generation. Bulletin of Perm University. Physics, 2019, no. 4, pp. 44–50. (In Russ.) doi: 10.17072/1994-3598-2019-4-44-50.
- Kudryavtsev N.A. Numerical calculation of the disk flow by a turbulent incompressible fluid flow. Engineering and Physics Journal, 1983, vol. 44, no. 1, pp. 145–146. (In Russ.)
- Bystrov Yu.A., Isaev S.A., Kudryavcev N.A., Leontev A.I. Numerical simulation of vortex intensification of heat transfer in pipe packages. St Petersburg, Sudostroenie Publ., 2005. 392 p.
- Demin V.A., Kostyrya A.V. Numerical simulation of solid particle motion in a submerged combustion setup. Mathematical modeling in natural sciences, 2022, vol. 1, pp. 82–84. (In Russ.)
- Yunfeng Liu, Xiliang Sun, Zeneng Sun, Chao Zhang, Jesse Zhu Experimental and numerical studies on a bubble-induced inverse gas-liquid-solids fluidized bed. Advanced Powder Technology, 2021, no. 32, pp. 4496–4508. doi: 10.1016/j.apt.2021.10.002.
- Peng Li, Xuhui Zhang, Xiaobing Lu. Three-dimensional Eulerian modeling of gas–liquid–solid flow with gas hydrate dissociation in a vertical pipe. Chemical Engineering Science, 2019, no. 196, pp. 1456–1465. doi: 10.1016/j.ces.2018.10.053.
- Mahdavimanesh M., Noghrehabadi A.R., Behbahaninejad M., Ahmadi G., Dehghanian M. Lagrangian particle tracking: model development. Life Science Journal, 2013, no. 10, pp. 34–41.
- Ferziger J.H., Peric M. Computational methods for fluid dynamics. Berlin, Springer, 2001. 423 p.
- Yakhot V., Orszag S.A., Thangam S., Gatski, T.B., Speziale C.G. Development of turbulence models for shear flows by a double expansion technique. Physics of Fluids A: Fluid Dynamics, 1992, no. 4, pp. 1510–1520. doi: 10.1063/1.858424.
Қосымша файлдар


















