Accounting for a capillary pressure jump in a saturated porous medium for a more correct calculation of hydrocarbon reserves
- Authors: Raikovsky M.I.1, Demyanov A.Y.1, Dinariev O.Y.1, Rudenko D.V.1
-
Affiliations:
- Technology Company SLB
- Issue: Vol 335, No 7 (2024)
- Pages: 96-104
- Section: Articles
- URL: https://bakhtiniada.ru/2500-1019/article/view/267645
- DOI: https://doi.org/10.18799/24131830/2024/7/4371
- ID: 267645
Cite item
Full Text
Abstract
Relevance. The correct calculation of hydrocarbon reserves in various fields (oil, gas, gas condensate) is an important state task, because it allows you to properly organize field development in the future and ensure the rational use of natural resources of the state. In particular, the values of geological and recoverable reserves are assigned to a specific subsurface user and are recorded in departmental documents. Aim. To describe the effect associated with the calculations of the thermodynamic equilibrium of the mixture of hydrocarbons of the Karachaganak oil and gas condensate field at various formation depths with the capillary pressure jump taken into account. This makes it possible to clarify the value of the potential condensate-gas factor of reservoir gas and, as a result, to give a more accurate assessment of the geological reserves of hydrocarbon raw materials. Object. Analysis of the thermodynamic equilibrium of the hydrocarbon mixture of Karachaganak oil and gas condensate field, taking into account the capillary pressure jump, which takes place in a porous medium under reservoir conditions. Methods. Numerical modeling, analytical research. Results. Based on the previously developed methodology for calculating the phase equilibrium with the capillary pressure jump the correction of the potential condensate-gas factor of the formation gas of the Karachaganak oil and gas condensate field was carried out at various formation depths. The range of values of the condensate-gas factor difference for calculations both with and without capillary pressure jump was from 7.04 g/m3, with a condensate-gas factor value equal to 393 g/m3 for formation depth of 4000 m, to 64.47 g/m3, with a condensate-gas factor value equal to 547 g/m3 for formation depth of 4600 m. Based on the updated condensate-gas factor estimate, it is possible to clarify the condensate recovery coefficient during the development of a field without maintaining reservoir pressure or with partial maintaining reservoir pressure.
Full Text
Введение
При промышленной разработке газоконденсатных месторождений одной из основных проблем является выпадение конденсата в пласте при снижении давления ниже давления насыщения. Выпадение конденсата может происходить как в пласте в целом – в ходе снижения пластового давления в процессе истощения пласта, так и в призабойной зоне скважины вследствие образования воронки депрессии вокруг скважины [1–5]. Методы поддержания пластового давления (ППД) позволяют увеличить добычу конденсата [4] по сравнению с традиционной добычей на истощение. При детальном изучении составов добываемых смесей, с одной стороны, и расчетов их фазовых равновесий, с другой, выявляется несоответствие этих составов [6]. Несоответствие экспериментальных и расчетных значений указывает на наличие определенных физико-химических механизмов, которые не учитываются в расчетных моделях.
Одним из таких механизмов, который вызывает смещение термодинамического равновесия, являются капиллярные силы [7], которые приводят к заметной разности давлений в жидкой и газовой фазах исходной пластовой смеси вследствие большей кривизны межфазных поверхностей в пористой среде [8]. Это приводит к изменению термодинамического равновесия газ–конденсат в пластовых условиях. При этом существует диапазон термобарических условий, при котором количество конденсата в пласте оказывается существенно больше, чем предсказывают «традиционные» оценки количества конденсата без учета капиллярного скачка давления (КСД) на межфазном фронте. Это явление может приводить к уменьшению добычи конденсата по сравнению с прогнозными показателями.
В качестве примера использования предложенной методики были взяты данные по Карачаганакскому нефтегазоконденсатному месторождению (КНГКМ).
Теоретическая постановка задачи
Рассматривается состояние углеводородной смеси в поровом пространстве при заданной температуре T. Будем принимать, что учитывается только поровое пространство, приходящееся на исследуемую смесь, т. е. за вычетом возможно присутствующей неподвижной связанной пластовой воды. Таким образом, все параметры смеси соотносятся с объемом пор, заполненным данной смесью. Состояние смеси описывается набором мольных плотностей, образующих N-мерные вектора n=(ni), ng=(ngi), nl=(nli), где индекс i соответствует номеру химических компонентов смеси, индексы g и l показывают газовую и жидкую фазу соответственно, а N – полное число компонент. Этим векторам соответствуют векторы мольных концентраций c=(ci), cg=(cgi), cl=(cli), определяемые соотношениями ci=ni/n, cgi=ngi/ng, cli=nli/nl, где значения определяются из выражений (1):
(1)
При распаде смеси при заданной температуре T на газовую и жидкую фазу условием термодинамического равновесия является равенство химических потенциалов
(2)
Уравнения на равенство химических потенциалов (2) дополняются уравнениями на условие баланса (3):
(3)
где Sg и Sl – насыщенности (объемные доли газовой и жидкой фазы соответственно в поровом пространстве, занятом исследуемой смесью), для которых верно соотношение Sl+Sg=1.
Традиционно для расчета термодинамического равновесия смеси вместо химического потенциала используют величину летучести, которая определяется следующим уравнением (4):
(4)
Откуда получалось N нелинейных уравнений вида
(5)
Расчеты проводились с учетом КСД, поэтому к указанным в формуле (5) величинам добавляется соотношение Pl=Pg+Pc, где значение КСД может принимать как положительные, так и отрицательные значения.
В данной работе расчеты летучести проводились с использованием уравнения состояния (УС) Пенга–Робинсона [9–14], летучесть для которого определяется выражением:
(6)
Здесь величины a, b, bi и si задаются выражениями (7)
(7)
Здесь Pci, Tci – критические температура и давление i-ого компонента смеси; wi – ацентрический фактор; WAi, WBi – безразмерные параметры, определяющие соответствие расчетной по УС критической точки компонента заданным значениям; kij – бинарный коэффициент, позволяющий учесть взаимодействие между i-м и j-м компонентами; Tri, pri, kij – безразмерные параметры.
Величина Z-коэффициента сжимаемости в уравнении (6) является решением кубического уравнения (8):
(8)
Система из N нелинейных уравнений вида (5) дополняется N уравнениями баланса при заданной общей мольной концентрации смеси c:
(9)
где lg, ll – мольные доли газовой и жидкой фаз смеси, однозначно связанные с насыщенностями фаз
(10)
(11)
при этом параметры lg, ll и мольные концентрации cgi и cli удовлетворяют следующим уравнениям:
(12)
Уравнения (9) замыкают систему из 2N+2 нелинейных уравнений (5), (9) и (12) для определения неизвестных значений концентраций и мольных долей фаз, которые использовались для восстановления значений насыщенностей жидкой и газовой фаз по формулам (10) и (11). Стоит отметить, что решение подобной задачи сильно зависит от незначительных изменений мольных долей тяжелых компонент смеси. Для решения системы нелинейных уравнений (5), (9) и (12) использовались методы, описанные в [15, 16].
Таким образом, в результате расчетов получалась термодинамическая капиллярная кривая (ТКК), определяемая выражением
(13)
где Sl определяются из (11), и для фиксированного значения давления в газовой фазе (Pg) решалось уравнение вида
(14)
где pc(Sl) – экспериментальная капиллярная кривая (ЭКК), полученная одним из методов, описанных в [16]. Решением уравнения (14) являются точки пересечения ТКК и ЭКК. Взаимные положения и количество точек пересечения обоих видов капиллярных кривых (КК) зависит от типа пористой среды. В случаях смачиваемой и несмачиваемой пористых сред КК имеют как минимум одну общую точку, а в случае смешанной смачиваемости имеют как минимум две точки пересечения.
Имея координаты точек пересечения, а также параметры ТКК, несложно получить составы газовой и жидкой фаз методом решения системы нелинейных уравнений (5), (9) и (12). Используя полученные результаты, можно определить значение КГФ добываемого газоконденсата. Стандартный способ расчета конденсатогазового фактора (КГФ), изложенный в [17], подразумевает расчет КГФ как потенциального содержания С5+ в добытом газе по формуле:
(15)
где MCk – молярная масса углеводородной компоненты с числом атомов углерода равным k.
Определение (15) подразумевает, что жидкая фаза при стандартных условиях состоит только из углеводородных компонентов тяжелее С4 (бутана), а газовая фаза не содержит в себе компонентов легче С5 (пентана). Такое допущение может приводить к занижению массы конденсата, выделяющейся из пластового флюида при стандартных условиях, в связи с чем имеет смысл рассмотреть другой способ расчета КГФ, а именно как отношение массы конденсата, выпавшего из газовой фазы, находящейся в объеме V, при стандартных условиях (P=1,01 бар, T=293 K) к объему V:
(16)
Объемы газовой и жидкой фаз связаны с насыщенностью, рассчитанной по (10), (11), соотношением тогда для объема жидкой фазы справедливым будет:
(17)
С учетом соотношений Ml(c.y.)=rl(c.y.)Vl и (17) выражение (16) для КГФ переписывается следующим образом:
(18)
Эффект от учета КСД оценивался как разница между значением КГФ в точке росы (q) и точкой начала конденсации (qcj), получаемой в результате расчета с учетом КСД.
Исследуемые данные
В данной работе исследовалась газоконденсатная смесь из КНГКМ [18, 19]. Исходный состав, температура и давление пласта и мольная масса фракции C5+ для различных глубин пласта (ГП) от 4000 до 5000 м представлены в табл. 1. Для корректного описания термодинамики газоконденсатной смеси с помощью PVT-моделирования необходимо, чтобы состав фракции C5+ был разбит на более мелкие фракции [20]. Это разбиение должно строиться на основании данных лабораторного анализа. В случае недоступности таких данных приходится прибегать к методам математического реконструирования состава фракции С5+, например [12, 20]. В настоящей работе фракция С5+ была разбита на 16 компонентов согласно методике, описанной в [12]. Полученный таким образом компонентный состав был использован для построения PVT-модели исследуемой газоконденсатной смеси.
Значения КГФ для пластового флюида, рассчитанные по формулам (15) и (18), также представлены в табл. 1.
Таблица 1. Исходные состав, температура пласта, давление пласта, мольная масса фракции С5+, значения КГФ, рассчитанные по формулам (15) и (18) в зависимости от ГП
Table 1. Initial composition, reservoir temperature, reservoir pressure, C5+ fraction molar mass, gas-condensate factor (GCF) values calculated using formulas (15) and (18) depending on the formation depth (FD)
ГП, м/FD, m | 4000 | 4200 | 4400 | 4600 | 4800 | ||||
Содержание (z), % мол/Content (z), % mol | |||||||||
H2S | 3,69 | 3,703 | 3,713 | 3,722 | 3,728 | ||||
CO2 | 4,79 | 4,839 | 4,886 | 4,930 | 4,971 | ||||
N2 | 0,7 | 0,7 | 0,699 | 0,697 | 0,696 | ||||
C1 | 75,4 | 74,735 | 74,041 | 73,321 | 72,565 | ||||
C2 | 5,45 | 5,454 | 5,455 | 5,453 | 5,447 | ||||
C3 | 2,62 | 2,647 | 2,673 | 2,697 | 2,720 | ||||
C4 | 1,37 | 1,398 | 1,424 | 1,451 | 1,477 | ||||
C5+ | 5,93 | 6,522 | 7,105 | 7,731 | 8,401 | ||||
T, K | 343,0 | 345,8 | 348,6 | 351,4 | 354,2 | ||||
Pнас, бар/Psat, bar | 449 | 458 | 465 | 470 | 485 | ||||
М C5+, г/моль M C5+, g/mol | 170,3 | 175,32 | 180,32 | 185,32 | 190,3 | ||||
КГФ (15), г/м3 GCF (15), g/m3 | 423,503 | 470,66 | 524,206 | 561,3 | 540,846 | ||||
КГФ (18), г/м3 GCF (18), g/m3 | 392,706 | 444,844 | 504,806 | 546,869 | 524,142 | ||||
Полученные значения КГФ методами (15) и (18) при расчетах без КСД (q) имеют различия в диапазоне 2,5–7,3 %, что подтверждает необходимость учета содержания компонентов легче С5 в конденсате и компонентов тяжелее С4 в газовой фазе. В связи с этим далее в работе для расчета КГФ использовалась формула (18).
КК для данной газоконденсатной смеси, продемонстрированная на рис. 1, основана на результатах работы [19]. Пористая среда характеризуется пористостью f=12,2 % и проницаемостью k=3,4×10–3 мкм2. Данная КК взята для 2-й скважины КНГКМ. На рисунке точками показаны исходные данные, линией – их аппроксимация полиномом третьей степени.
Рис. 1. Капиллярная кривая для рассматриваемой смеси КНГКМ с f=12,2 % и k=3,4×10–3 мкм2
Fig. 1. Capillary curve for the considered Karachaganak oil and gas condensate field (KOGCF) mixture with f=12,2% and k=3,4×10–3 mm2
Данная смесь является гидрофобной, из чего следует, что давление в газовой фазе больше, чем давление в жидкости (Pg>Pl).
Результаты расчетов
Был произведен расчет фазового равновесия в окрестности точки росы для различных ГП H и для различных значений Pg и Pl КНГКМ. Получены ТКК, которые описываются уравнением (13). Для значения H=4000 м была обнаружена двухфазная область при давлениях Pg>Pdew. Согласно [7] граница двухфазной области в окрестности точки росы аппроксимируется прямой (Pl–Pdew)=a(Pg–Pdew) с коэффициентом наклона a, где Pdew – давление точки росы. Для H=4000 м значение коэффициента a=0,9228. Результаты расчета двухфазного равновесия для H=4000 м представлены на рис. 2 в виде фазовой диаграммы (ФД) в координатах (Pg,Pl).
Рис. 2. Фрагмент ФД для температуры T=343 K в окрестности точки росы для ГП H=4000 м
Fig. 2. Fragment of phase diagram (FD) for temperature T=343 K near dew point for FD H=4000 m
Был произведен пересчет КК на ЭКК для каждого значения ГП на пластовые условия с использованием формулы:
(19)
где sH – величина поверхностного натяжения для ГП H, выраженная в Н/м; sw – величина поверхностного натяжения для воды, равная 0,063 Н/м, при пластовой температуре 348,75 K; Pc(H) – значение КСД для ГП H, выраженное в барах; Pc(w) – значение КСД для воды, выраженное в барах.
Полученные ЭКК продемонстрированы на рис. 3. В результате перерасчета по формуле (19) величина максимального КСД уменьшилась в среднем в 499 раз.
Рис. 3. ЭКК для различных значений ГП H. Расшифровка кривых: поверхностное натяжение (sH´10–5 в Н/м), ГП (H в м)
Fig. 3. Experimental capillary curve (ECC) for different values of the FD H. Curve code: surface tension (sH´10–5 in H/m), FD (H in m)
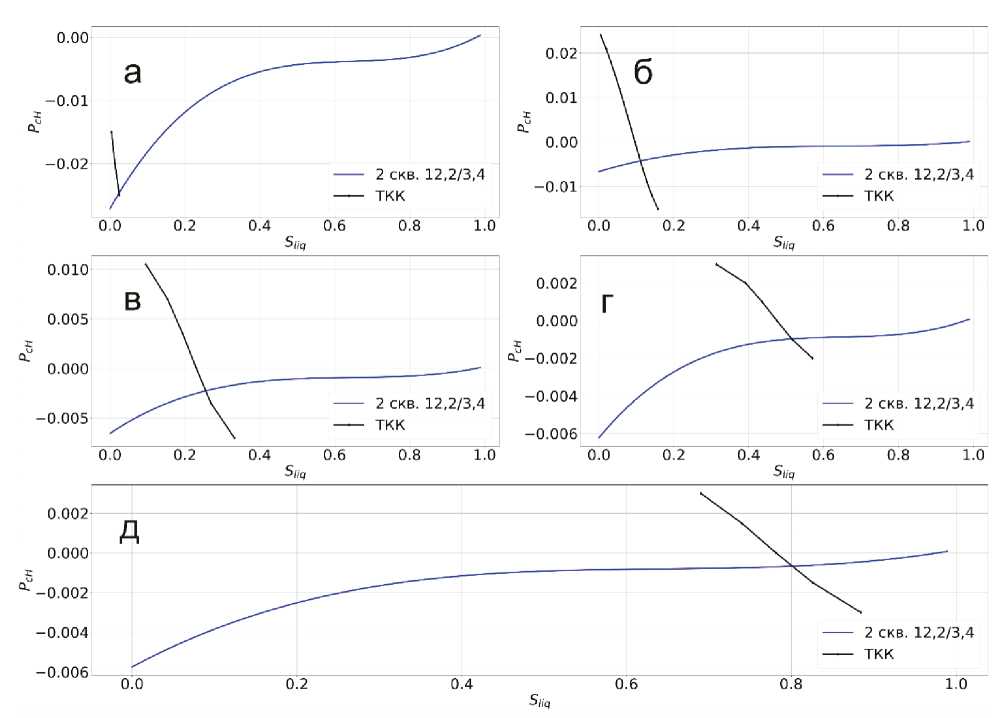
Полученные ТКК и ЭКК изображены на рис. 4. ТКК продемонстрирована черной линией, ЭКК – синей. Как можно заметить по продемонстрированному рисунку, величина КСД Pc(H) уменьшается с ростом величины H.
Рис. 4. ТКК и ЭКК для различных значений ГП: а) H=4000 м; б) H=4200 м; в) H=4400 м; г) H=4600 м; д) H=4800 м
Fig. 4. Thermodynamic capillary curve (TCC) and ECC for different values of FD: a) H=4000 m; б) H=4200 m; в) H=4400 m; г) H=4600 m; д) H=4800 m
Полученные данные по КК использовались для решения уравнения (14). В результате были найдены значения Pc(H) точек пересечения для каждой ГП H. Величины давления Pg и соответствующие им значения КСД Pc(H) представлены в табл. 2 для рассматриваемых ГП.
Таблица 2. Данные о давлении начала конденсации и соответствующем КСД, полученные в результате решения уравнения (14)
Table 2. Data on the pressure of the beginning of condensation and the corresponding capillary pressure jump (CPJ) obtained by solving the equation (14)
H, м | 4000 | 4200 | 4400 | 4600 | 4800 |
Pg, бар | 452,45 | 459,5 | 464,5 | 470,125 | 486,2 |
Pc(H), бар | –0,02487 | –0,004984 | –0,002306 | –0,000979 | –0,000601 |
Полученные данные в дальнейшем используются для расчета значений КГФ по формуле (18), как с КСД, так и без него. Результаты расчетов КГФ продемонстрированы в табл. 3.
Таблица 3. КГФ и разница в значениях КГФ, полученных обычным расчетом и расчетом с учетом капиллярных эффектов, в зависимости от ГП при расчете КГФ по формуле (18)
Table 3. GCF and difference in GCF obtained in calculations with and without capillary effects depending on FD according to the formula (18)
H, м | Pdew–Pg, бар | q, г/м3 | q–qcj, г/м3 |
4000 | –0,95497 | 392,7061 | 7,044839 |
4200 | 0,651079 | 444,8444 | 14,58636 |
4400 | 2,135236 | 504,8063 | 45,82637 |
4600 | 2,140759 | 546,8698 | 64,47018 |
4800 | 1,414867 | 524,1427 | 34,59183 |
Стоит отметить, что расчет точки пересечения двух КК для случая ГП H=4000 м возможен более простым методом. Если рассматривать ее как точку пересечения прямой с коэффициентом a и ЭКК, то в данном случае расчет КСД задается формулой
(20)
Подставляя в уравнение (14) вместо выражения для ТКК формулу (20), аналогично ранее рассмотренной методике, находятся значения Pg и Pc(4000). Расчет значения КГФ для данного подхода дает значение q–qcj=8,263 г/м3, что отличается на 17 % в большую сторону от исходного метода. Таким образом, становится возможным производить оценку запасов с меньшим количеством расчетов, хотя и с некоторым ухудшением качества оценки.
Заключение
Проведены расчеты фазового равновесия углеводородной смеси КНГКМ на различных ГП для 1 и 2 объектов разработки
Поправка к значению КГФ добываемого газоконденсата при учете капиллярных эффектов в пласте составляет от 7,04 г/м3 для глубины в 4000 м до 64,47 г/м3 для глубины в 4600 м при разработке месторождения без ППД или с частичным ППД.
Поскольку разница КГФ добываемого газоконденсата и КГФ пластового флюида дает коэффициент извлечения конденсата, то более точное определение КГФ добываемого газоконденсата позволяет оценить потенциальные потери извлекаемых запасов.
Представленная методика легко обобщается на случай летучей нефти в части учета КСД при расчетах фазового равновесия в системе газ–нефть.
About the authors
Maksim I. Raikovsky
Technology Company SLB
Author for correspondence.
Email: maksim.raikovskyi@gmail.com
ORCID iD: 0000-0003-2776-6105
Intern
Russian Federation, MoscowAlexander Yu. Demyanov
Technology Company SLB
Email: Demianov_a_ju@mail.ru
ORCID iD: 0000-0003-2424-5267
Cand. Sc., Senior Researcher
Russian Federation, MoscowOleg Yu. Dinariev
Technology Company SLB
Email: ODinariev@gmail.com
ORCID iD: 0000-0003-4822-3302
Cand. Sc., Scientific Advisor
Russian Federation, MoscowDenis V. Rudenko
Technology Company SLB
Email: Rudenkodv@mail.ru
ORCID iD: 0000-0003-0724-7682
Cand. Sc., Principal Research Scientist
Russian Federation, MoscowReferences
- Katz D.L., Kornel L.D. Handbook of natural gas engineering. New York, McGraw-Hill, 1965. 676 p.
- Tiab D. Gas reservoir engineering. Summer University, PE 4611 – Lecture Notes. 2000. 48 p.
- Lapuk B.B. Theoretical foundations of the development of natural gas deposits. Moscow, Izhevsk, Institution of computer science Publ., 2002. 296 p. (In Russ.)
- Strizhov I.N., Hodanovich I.E. Gas production. Moscow, Izhevsk, Institution of computer science Publ., 2003. 376 p. (In Russ.)
- Beggs Dale H. Gas production operations. Tulsa, OGCI Publication Oil & Gas Consultants International Inc., 1984. 287 p.
- Ahmed Tarec H. Equations of state and PVT analysis: applications for improved reservoir modeling. Texas, Gulf Publishing Company Houston, 2007. 408 p.
- Raikovskyi M.I., Demianov A.Yu., Dinariev O.Yu. On the accounting of capillary forces in the modeling of gas-condensate mixtures. Oil and Gas Studies, 2022, no. 2, pp. 37–52. (In Russ.) doi: 10.31660/0445-0108-2022-2-37-52
- Landau L.D., Lifshitz E.M. Theoretical physics. Hydrodynamics. Vol. VI. Moscow, Nauka Publ., 1986, 738 p. (In Russ.)
- Peng D.Y., Robinson D.B. A new two-constant equation of state. Industrial and Engineering Chemistry: Fundamentals, 1976, vol. 15, pp. 59–64. doi: 10.1021/i160057a011
- Panfilov M. Physicochemical fluid dynamics in porous media (Application in geosciences and petroleum engineering). Dolgoprudny, Intelekt Publ. house, 2020. 464 p. (In Russ.)
- Gurevich G.R., Brusilovskiy A.I. Reference manual for the calculation of the phase state and properties of the reservoir mixture. Moscow, Nedra Publ., 1984. 264 p. (In Russ.)
- Brusilovskiy A.I. Phase transformations during oil and gas field development. Мoscow, Graal Publ., 2003. 575 p. (In Russ.)
- Yushenko T.S., Brusilovskiy A.I. A step-by-step approach to creating and tuning PVT-models of reservoir hydrocarbon systems based on the state equation. Georesursy, 2022, vol. 24, no. 3, pp. 164–181. (In Russ.) doi: 10.18599/grs.2022.3.14
- Donnes P. Essentials of Reservoir Engineering. 1st ed. Paris, Editions Technip, 2007. 512 p.
- Raikovskyi M.I., Demianov A.Y., Dinariev O.Y. Modification of quasi-Newton successive substitution method for calculating phase equilibria of hydrocarbon mixtures taking into account the capillary pressure jump. Lobachevskii Journal of Mathematics, 2024, vol. 45, pp. 794–799. doi: 10.1134/S1995080224600109
- Raikovskyi M.I. Features of using iterative successive substitutions methods for calculating phase equilibrium with a capillary jump. Numerical methods and programming, 2024, vol. 25, no. 1, pp. 124–132. (In Russ.) doi: 10.26089/NumMet.v25r108
- Tiab D., Donaldson Erle C. Petrophysics: theory and practice of measuring reservoir rock and fluid transport properties. Мoscow, ООО «Premium Enginiring» Publ., 2009. 868 p. (In Russ.)
- Lapshin V.I., Posevich A.G., Konstantinov A.A., Volkov A.N. Gazprom VNIIGAZ: specifics of determination of gas condensate characteristics in the development of deep-seated fields with highly productive strata. ROGTEC Russian Oil and Gas Technologies, 2020. (In Russ.) Available at: https://www.rogtecmagazine.com/gazprom-vniigaz-specifics-of-determination-of-gas-condensate-characteristics-in-the-development-of-deep-seated-fields-with-highly-productive-strata/ (accessed 15 August 2023).
- Salautova A.E., Sergaziev D.H. Integrated geological and geographical studies of the shelf control over the development of the Karachaganak oil and gas field. Thesis. Almaty, 2019. 88 p. (In Russ.)
- Yushenko T.S., Brusilovskiy A.I. Mathematical modeling of vapor-liquid equilibrium in multicomponent hydrocarbon systems. Cand. Diss. Moscow, 2016. 130 p. (In Russ.)
Supplementary files






