Use of Petroleum Experts Prosper software to obtain additional oil production by analysis of well operation mode
- Authors: Korotkov R.N.1, Ovcharenko D.M.1, Erofeev V.I.1
-
Affiliations:
- National Research Tomsk Polytechnic University
- Issue: Vol 335, No 3 (2024)
- Pages: 31-39
- Section: Articles
- URL: https://bakhtiniada.ru/2500-1019/article/view/267379
- DOI: https://doi.org/10.18799/24131830/2024/3/4457
- ID: 267379
Cite item
Full Text
Abstract
Relevance. Current situation, when an increasing number of subsoil users are moving towards the correct choice of a development system. Therefore, the applicability of integrated asset models is growing exponentially every year. One of the integrated approaches in the field of reservoir–well–ground infrastructure modeling is the use of Petroleum Experts software. This solution has successfully established itself in the international market due to the presence of a large number of various correlations suitable for certain geological conditions, as well as a complex methodology for calculating the tasks. Thanks to the above product, the tasks of calculating the inflow from a reservoir, well flow rate and infrastructure throughput analysis formed a single integrated solution for high-quality modeling of fields/groups of fields. In its turn, the Petroleum Experts Prosper software allows you to evaluate the efficiency of a well, as well as to obtain additional production through optimization calculations on a well model tuned to actual parameters.
Aim. To form and analyze the approach to setting up component models (wells) by adapting parameters to actual data in order to obtain additional oil production.
Methods. Setting up and adaptation of well models equipped with installations of electrical center pumps, setting up and adaptation of fountain wells, approach to working with a periodical fund, assessment of the effectiveness of the use of Prosper in terms of additional oil production.
Results. The results obtained allow us to adapt well models with an accuracy of more than 95%, which simulates the operating mode of the mechanized and fountain mining fund in order to optimize and increase oil production. As a result of the analysis, the criteria for tuning wells were identified, and the minimum necessary set of parameters for high-quality adaptation of models was presented. The effectiveness and accuracy of the method by comparing the actual data on the regimes of the wells with synthetic are also proved. Based on the work done, we can conclude that the use of an integrated model shows us a high convergence with real data, which allows you to conduct optimization calculations with high accuracy with obtaining a result that provides the greatest effect.
Full Text
Введение
На текущий момент нефтегазодобывающие компании начали активное использование систем моделирования для контроля режима работы фонда скважин, а также с целью проведения оптимизационных расчетов для получения дополнительной добычи нефти.
Программное обеспечение Petroleum Experts Prosper является уникальным решением для нефтегазового комплекса ввиду обеспечения целостного представления системы пласт – скважина – наземная инфраструктура [1]. Благодаря интеграции и широкому функционалу программы специалисты нефтегазовой отрасли могут проводить комплексные исследования, моделировать различные сценарии работы месторождения и принимать обоснованные решения на основе полученных данных. Использование Petroleum Experts Prosper позволяет существенно сократить время на проведение расчетов производительности работы скважин и анализа возможных ограничений по наземной инфраструктуре, а также повышает точность и надежность полученных результатов. Такой подход позволяет эффективно эксплуатировать месторождения и достигать оптимальных показателей в добыче углеводородов [2].
Методы
Настройка моделей добывающих скважин заключается в адаптации параметров, полученных расчетным путем в программном обеспечении Petroleum Experts Prosper, к фактическим данным на дату актуализации.
Если говорить о скважинах, оборудованных установками электроцентробежных насосов (УЭЦН), то для корректной настройки моделей добывающих скважин необходимо произвести следующие действия в секции программного продукта Petroleum Experts Prosper:
- внести фактические данные по замерам на дату актуализации модели;
- настроить модель вертикального лифта;
- настроить индикаторную кривую;
- проверить адаптацию скважины в секции «System»;
- сгенерировать кривые вертикального лифта;
- произвести настройку многопластовых скважин (при необходимости).
В меню «VLP/IPR Matching» вносятся данные, которые используются для дальнейших расчетов. Параметры накапливаются в окне по мере обновления моделей скважин и могут быть использованы для анализа работы скважин с течением времени:
1. Test Point Date – дата актуализации модели скважины;
2. Test Point Comment – информация об устьевом штуцере (диаметр штуцера или отсутствие штуцера);
3. Tubing Head Pressure – буферное давление;
4. Tubing Head Temperature – температура флюида на устье скважины;
5. Water Cut – обводненность добываемой продукции;
6. Liquid Rate – дебит жидкости. Для постоянно работающих скважин заносится фактический дебит. Для периодических скважин заносится мгновенный дебит, определяемый через время работы/простоя по следующей формуле:
Qмгн=Qупл/((1–Tпр/24)),
где Qмгн – мгновенный дебит жидкости в пересчёте на сутки; Qупл – среднесуточный (уплотнённый) дебит жидкости; Tпр – время простоя (в часах) в течение суток;
7. Gauge Depth (Measured) – глубина спуска датчика;
8. Gauge Pressure – давление на датчике;
9. Reservoir Pressure – пластовое давление;
10. Gas Oil Ratio – газосодержание;
11. GOR Free – содержание газа, приходящего из газовой шапки;
12. Operating Frequency – частота работы ЭЦН;
13. Pump Wear Factor – коэффициент износа насоса;
14. Pump Intake Pressure – давление на приёме насоса;
15. Pump Discharge Pressure – давление на выходе насоса.
Для настройки вертикального лифта предназначен раздел «Correlation Comparison» в секции «VLP/IPR Matching». Секция «Quick Look» подходит только для односекционных насосов.
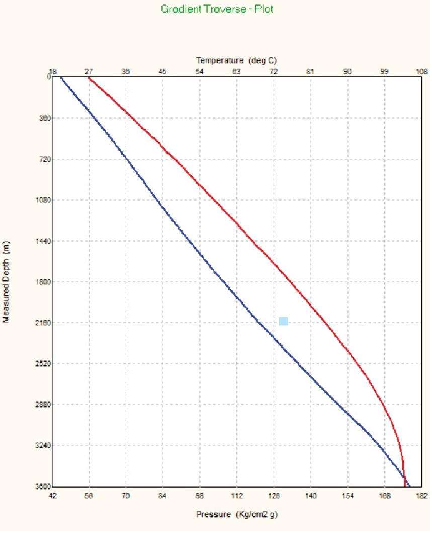
На вкладке «Correlation Comparison» выполняется расчёт и построение градиента давления и температуры в скважине для данных на дату актуализации. Для этого вносятся данные о буферном давлении, проценте обводненности, газовом факторе и дебите жидкости. Также немаловажным фактором является выбор правильной корреляции для расчета, которая подбирается опытным путем и обычно является единой для залежей с аналогичными физико-химическими свойствами [3].
На графике градиента давления визуально оценивается, насколько расчётное значение на приёме ЭЦН совпадает с фактическим (рис. 1). Голубой точкой на рисунке отмечено фактическое давление на приеме ЭЦН, полученное с датчика погружной телеметрии (ТМС). Синяя линия демонстрирует нам распределение давления по стволу скважины.
Рис. 1. Проверка качества настройки модели
Fig. 1. Checking the quality of the model tuning
В случае, если расчётное давление меньше фактического, подбирается коэффициент износа насоса пока значения не совпадут (рекомендуемое расхождение не более 1 кгс/см2). Если коэффициент износа лежит в пределах от 0 до 0,2, то это считается допустимым значением, при условии, если межремонтный период (МРП) насоса больше 200 суток [4]. Настройка вертикального лифта на этом заканчивается.
Если коэффициент износа насоса окажется более 0,2, то это считается повышенным износом. Необходим дополнительный анализ: либо перепроверка исходных данных по замеру на дату актуализации (в случае обнаружения ошибок процедура настройки вертикального лифта повторяется заново), либо поиск причин повышенного износа насоса (в случае подтверждения повышенного износа настройка вертикального лифта заканчивается, подобранный коэффициент износа принимается допустимым) [5–10].
Производится анализ причин ремонтов. Значение коэффициента износа может достигать 0,5 в том случае, если для скважины характерны осложнения при эксплуатации в виде солеотложений. При этом точная адаптация таких скважин возможна только после замера профиля давления над насосом, так как возможно солеотложение как в УЭЦН, так и в лифте [11]. На рис. 2 голубыми точками представлены замеры давления по стволу скважины с помощью геофизического прибора, а также демонстрация качества наложения кривой распределения давления для заданной корреляции.
Рис. 2. Распределение давления по стволу скважины
Fig. 2. Pressure distribution along the wellbore
В случае, если расчётное значение больше фактического, необходимо перепроверить исходные данные по замеру на дату актуализации (в первую очередь давление на приёме ЭЦН, частоту ЭЦН, дебит жидкости, буферное давление). При обнаружении ошибок процедура настройки вертикального лифта повторяется заново [6]. Для скважин с кратковременной эксплуатацией (КЭС) особое внимание уделяется анализу величины мгновенного дебита. Для скважин с вентильными двигателями уточняется частота вращения при переводе единиц измерения из об/мин в Гц (перевод производится прямо пропорционально от соотношения 2910 об/мин=50 Гц, для вентильных двигателей зависимость может быть не прямая) [7].
Следует обратить внимание, что подобранный коэффициент износа насоса после завершения настройки модели скважины в секции «VLP/IPR Matching» необходимо вручную занести в секцию «ESP Input Data».
Индикаторные кривые (IPR – Inflow Performance Relationship) описывают зависимость между перепадами давления в скважине и ее дебитом, что является важным инструментом для понимания поведения пласта/скважины и количественной оценки производительности скважин.
Для настройки индикаторной кривой следует использовать меню «VLP/IPR» в секции «VLP/IPR Matching». На вкладке «VLP/IPR» выполняется расчёт для данных на дату актуализации с выбранной корреляцией Petroleum Experts 2.
Кривая вертикального лифта (VLP – Vertical Lift Performance) показывает, какое давление требуется для подъема определенного количества жидкости на поверхность при заданном устьевом давлении.
По результатам расчёта оценивается, насколько расчётное значение по дебиту жидкости (пересечение кривых VLP и IPR) совпадает с фактическим. При совпадении расчётного и фактического дебитов в пределах 5 % настройка скважины заканчивается [12].
Настройка моделей многопластовых скважин в Prosper осуществляется аналогично скважинам, вскрывающим один пласт. Для них при занесении данных по пласту используются характеристики пласта с наибольшим дебитом нефти (PVT-модель флюида, Рпл, Тпл) [13]. Такие модели скважин могут использоваться для выполнения одиночных расчётов в Prosper (например, для подбора глубинного насосного оборудования по скважине).
При интеграции таких моделей скважин в GAP вносится только характеристика вертикального лифта (VLP), а индикаторные кривые задаются отдельно по каждому из пластов с помощью элементов «Inflow». В случае, если расчётные дебиты по пластам отличаются от фактических более чем на 5 %, коэффициенты продуктивности по пластам могут быть скорректированы [14].
Настройка моделей добывающих фонтанных скважин осуществляется аналогично в секции «VLP/IPR Matching» программного продукта Petroleum Experts Prosper. Однако для точной настройки фонтанных скважин необходим ряд дополнительных процедур [9].
Уточнение коэффициента теплопередачи U-Value проводится только для скважин с замеренной устьевой температурой. По остальным скважинам U-Value принимается заданным по умолчанию. Для проверки качества замера и настройки вертикального лифта следует зайти в меню «Correlation Comparison» в секции «VLP/IPR Matching». На вкладке «Correlation Comparison» выполняется расчёт и построение градиента давления и температуры в скважине для данных на дату актуализации. Для проверки качества замера в левой нижней части секции выбираются граничные корреляции Fancher Brown и Duns and Ros Modified и проводится расчет. Корреляция Fancher Brown не учитывает проскальзывание фаз в трубопроводе, следовательно, рассчитываемый перепад по насосно-компрессорным трубам (НКТ) будет минимальным. Корреляция Duns and Ros Modified рассчитывает максимальный перепад давления по НКТ с учетом пробкового режима течения. Замер считается кондиционным, если лежит в поле между этими корреляциями [10].
Чтобы наглядно убедиться в пригодности замера, с помощью кнопки Plot выводятся фактический замер и графики градиента давления, рассчитанные по граничным корреляциям (рис. 3).
Рис. 3. Проверка качества замера
Fig. 3. Measurement quality check
На рис. 3 видно, что замеренная точка попадает в область между граничными корреляциями, а значит пригодна для дальнейшей настройки.
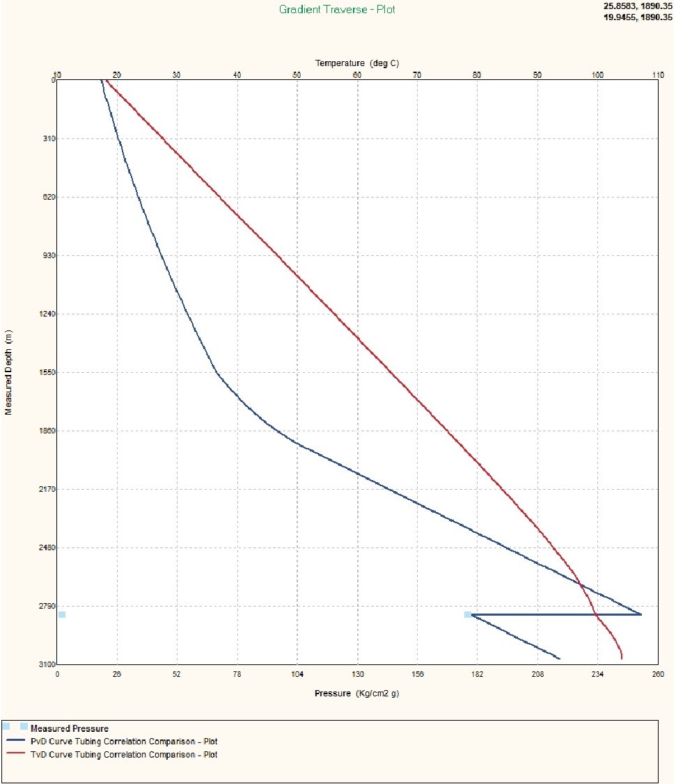
Далее выбирается несколько корреляций для расчета вертикального течения газожидкостной смеси. Данные корреляции получены путем анализа большого количества данных и показывают максимальные и минимальные перепады давления в НКТ для большинства случаев [15]. Корреляция Petroleum Experts 2 рассчитывает режим течения вертикального потока в скважине, поэтому данная корреляция выбрана для использования в расчетах. Модели скважин будут настроены на исходные данные с использованием данной корреляции. По графикам градиента давления можно визуально оценить, насколько расчётное значение давления совпадает с фактическим замером (рис. 4).
Рис. 4. График градиента давления
Fig. 4. Pressure gradient plot
Для фонтанных скважин также рассчитываются поправки на гравитацию (Parameter 1) и трение в НКТ (Parameter 2). Если для настройки корреляции под фактический замер требуется использовать большие значения поправок (менее 0,9 или более 1,1), необходимо провести дополнительный анализ данных.
После проделанных шагов модель воспроизводит фактический градиент давления. Теперь необходимо проанализировать и настроить пересечение VLP с индикаторной кривой. Для выполнения этого шага следует зайти в меню «VLP/IPR» в секции «VLP/IPR Matching». На вкладке «VLP/IPR» выполняется расчёт для данных на дату адаптации с выбранной корреляцией Petroleum Experts 2. По результатам расчёта оценивается, насколько расчётное значение по дебиту жидкости (пересечение кривых VLP и IPR) совпадает с фактическим (рис. 5) (зеленая точка на графике).
Рис. 5. Пересечение кривых VLP и IPR
Fig. 5. Intersection of VLP and IPR curves
При расхождении расчётного и замеренного дебита более 5 % подбирается либо коэффициент продуктивности скважины (PI – Productivity Index), либо пластовое давление. Пластовое давление при выполнении проекта считается наиболее достоверным из двух перечисленных параметров, вследствие чего производится подбор PI. Это может быть сделано вручную в секции «IPR» или автоматически с использованием функции «Adjust PI». Указанную функцию стоит использовать с осторожностью, так как в некоторых случаях рассчитанное значение PI может быть не найдено либо быть некорректным (при нестабильном (слабом) пересечении VLP/IPR) [16–19].
При совпадении расчётного и фактического дебитов в пределах 5 % настройка скважины заканчивается.
При настройке моделей периодических скважин в Prosper используется мгновенный дебит. Это позволяет корректно воспроизвести работу внутрискважинного оборудования в тот момент, когда оно в работе. Дебит жидкости пересчитывается из уплотненного в мгновенный.
Настройка периодических скважин проводится по тем же принципам, что и настройка скважин с постоянным режимом работы. При переходе к расчетам на модели инфраструктуры для периодических скважин используется уплотненный дебит. Это учитывается путем использования коэффициента простоя «Downtime».
Коэффициент простоя «Downtime» позволяет корректно учитывать накопленную добычу при проведении прогнозных расчетов.
В результатах расчета на срез и прогноз есть два показателя дебитов по фазам, например, «Liquid Rate» и «Average Liquid Rate». «Liquid Rate» – это мгновенный дебит, а «Average Liquid Rate» – уплотненный дебит, т. е. с учетом коэффициента.
Результаты
После адаптации модели скважины на фактические данные, вышеописанное ПО позволяет провести оптимизационный расчет, с помощью которого Prosper предложит различные сценарии для увеличения добычи нефти. Подбирая различные частоты ЭЦН, а также диаметр штуцера (для фонтанной скважины) в секции «System», программным комплексом будет произведен расчет дебита скважины с учетом заданных параметров. В случае выхода за пределы рабочей зоны появится дополнительное уведомление о невозможности расчетов.
В качестве примера успешной практики применения оптимизационных расчетов на моделях скважин можно отметить положительный результат на Чаяндинском месторождении по кустовой площадке № 9 (ПАО «Газпромнефть»). В результате опытно-промышленных испытаний были получены следующие результаты: дополнительная добыча нефти составила 133 т в сутки; производительность скважин возросла в 1,1–1,5 раза относительно исходного состояния. В ходе проведения расчетов на настроенных моделях скважин были выполнены рекомендации программного обеспечения по групповой оптимизации режима работы скважин кустовой площадки (произведены мероприятия, направленные на увеличение частот ЭЦН по скважинам) (таблица).
Таблица. Увеличение дебита нефти по скважинам кустовой площадки № 9 Чаяндинского месторождения
Table. Increasing the oil rate on wells of the bush site No. 9 of the Chayanda field
Скважина, № Well, No. | Дебит нефти до, т/сут Oil flow rate before, t/day | Дебит нефти после, т/сут Oil flow rate after, t/day |
9700 | 135 | 144 |
9701 | 142 | 159 |
9703 | 210 | 225 |
9704 | 11 | 45 |
9705 | 25 | 58 |
9707 | 83 | 108 |
Выводы
В данной работе представлена методика настройки моделей добывающих скважин с использованием программного обеспечения Petroleum Experts Prosper. Данное ПО позволяет с высокой точностью моделировать работу скважин при различных условиях. В результате анализа были выявлены критерии настройки скважин, а также представлен минимальный необходимый набор параметров для качественной адаптации моделей. Также показана эффективность и точность моделей посредством сравнения фактических данных о режимах работы скважин с расчетными. На основании проделанной работы можно сделать вывод о том, что использование интегрированной модели демонстрирует нам высокое схождение с реальными данными, что позволяет с достаточной точностью проводить оптимизационные расчеты с получением результата, обеспечивающим наибольший эффект [20].
Научная новизна работы заключается в индивидуальном подходе к настройке моделей скважин Чаяндинского месторождения: для различных месторождений требуется правильная адаптация моделей и выбор корректной корреляции, а также подтверждение сходимости расчетных и реальных данных, что также было представлено в ходе работы.
В ходе проведения оптимизационных расчетов по скважинам также практически установлен положительный эффект в виде получения дополнительной добычи нефти, что позволяет тиражировать данную технологию на другие месторождения. Суммарный эффект проведения ОПИ составил 133 т нефти в сутки, что эквивалентно приблизительно 2 млн р. в сутки при стоимости нефти по состоянию на январь 2023 г.
About the authors
Roman N. Korotkov
National Research Tomsk Polytechnic University
Author for correspondence.
Email: klimatqwf@gmail.com
ORCID iD: 0009-0000-5118-9198
Postgraduate Student
Russian Federation, 30, Lenin avenue, Tomsk, 634050Diana M. Ovcharenko
National Research Tomsk Polytechnic University
Email: dmo4@tpu.ru
ORCID iD: 0009-0009-5799-2972
Master Student
Russian Federation, 30, Lenin avenue, Tomsk, 634050Vladimir I. Erofeev
National Research Tomsk Polytechnic University
Email: erofeevvi@mail.ru
ORCID iD: 0000-0001-5153-887X
Dr. Sc., Professor
Russian Federation, 30, Lenin avenue, Tomsk, 634050References
- Filippov E.V., Chumakov G.N., Ponomareva I.N., Martyushev D.A. Application of integrated modeling in the oil and gas industry. Nedropolzovanie, 2020, vol. 20, no. 4, pp. 386–400. (In Russ.)
- Ivanov A.N., Veliev M.M., Veliev E.M., Kuleshova L.S., Udalova E.A. Features of the development of high-viscosity oil fields under conditions of low reservoir pressure. Neftyanoe khozyaystvo, 2021, no. 8, pp. 50–52. (In Russ.)
- Povyshev K.I., Vershinin S.A., Bernikovskaya O.S. Integrated model "reservoir–well–infrastructure" and its capabilities. PRONEFT. Professionalno o nefti, 2016, no. 2, pp. 48–53. (In Russ.)
- Apasov R.T., Chameev I.L., Varavva A.I., Vernikovskaya O.S., Ilyasov A.R., Virt V.I. Integrated modeling as a tool for improving the quality of design solutions for the development of oil rims of multilayer oil and gas condensate fields. Neftyanoe khozyaystvo, 2018, no. 12, pp. 46–49. (In Russ.)
- Yanochkin S.V., Rychkov A.F. Integrated modeling. Experience in implementing pilot projects. Neft. Gaz. Novatsii, 2018, no. 12, pp. 29–30. (In Russ.)
- Veliev M.M., Ivanov A.N., Akhmadeev A.G. Problems of calculations of field systems for collecting and transporting produced products from high-viscosity oil fields. Neftyanoe khozyaystvo, 2021, no. 10, pp. 108–111. (In Russ.)
- Bogdanov E.V., Chameev I.L., Reshetnikov D.A., Perevozkin I.V., Tkachuk A.V., Shorokhov A.N. Integrated modeling as a tool that increases the efficiency of the development of a multilayer oil and gas condensate field. Neftyanoe khozyaystvo, 2019, no. 12, pp. 52–55. (In Russ.)
- Rychkov A.F., Kadykov I.A. Building integrated models of fields with highly productive wells under conditions of low reservoir pressure drawdowns on the example of the Pamyatno-Sasovskoye field. Proc. of the VII Conference of Young Scientists and Specialists of the Head Office of OOO LUKOIL-Engineering. Moscow, 2018. pp. 664–673.
- Bandilla K.W., Guo B., Celia M.A. Applicability of vertically integrated models for carbon storage modeling in structured heterogeneous domains. Energy Procedia, 2017, no. 114, pp. 3312–3321.
- Ntlhabane S., Becker M., Charikinya E., Voight M., Schouwstra R., Bradshaw D. Towards the development of an integrated modelling framework underpinned by mineralogy. Minerals Engineering, 2018, no. 116, pp. 123–131.
- Zipir V.G., Mengaliev A.G., Ryasny A.G., Kurbatova M.N., Rudaya O.M. Creation and exploration of the integrated model, taking into account the features of the gas condensate deposit. Bulletin of the Tomsk Polytechnic University. Geo Assets Engineering, 2022, vol. 333, no. 10, pp. 159–168. (In Russ.)
- Liu C., Li Y., Xu M. An integrated detection and location model for leakages in liquid pipelines. Journal of Petroleum Science and Engineering, 2019, no. 175, pp. 852–867.
- Guan Q., Goharzadeh A., Chai J., Vargas F.M., Biswal S.L., Chapman W.G., Zhang M., Yap Y.F. An integrated model for asphaltene deposition in wellbores/pipelines above bubble pressures. Journal of Petroleum Science and Engineering, 2018, no. 169, pp. 353–373.
- Erdener B.C., Pambour K.A., Lavin R.B., Dengiz B. An integrated simulation model for analysing electricity and gas systems. International Journal of Electrical Power & Energy Systems, 2014, no. 61, pp. 410–420.
- Rahmawati S.D., Whitson C., Foss B., Kuntadi A. Integrated field operation and optimization. Journal of Petroleum Science and Engineering, 2012, no. 81, pp. 161–170.
- Margaret A.W. Modelling and forecasting the supply of oil and gas: a survey of existing approaches. Journal of Resources and Energy, 1992, vol. 14, pp. 287–309.
- Aydin G. Production modeling in the oil and natural gas industry: an application of trend analysis. Journal of Petroleum Science and Technology, 2014, no. 32, pp. 555–564.
- Kitov E.S., Erofeev V.I., Dzhalilova S.N. Analysis of technologies for field treatment of natural gas. Bulletin of the Tomsk Polytechnic University. Geo Assets Engineering, 2022, vol. 333, no. 10, pp. 31–38. (In Russ.)
- Korotkov R.N., Konovalov D.M., Ovcharenko D.M., Erofeev V.I. Binary mixture technology as a modern complex method of increasing oil recovery for the development of hard-to-recover reserves in the fields of Western Siberia. Bulletin of the Tomsk Polytechnic University. Geo Assets Engineering, 2023, vol. 334, no. 9, pp. 146–153. (In Russ.) DOI: https://doi.org/10.18799/24131830/2023/9/4176
- Korotkov R.N., Ovcharenko D.M., Erofeev V.I. Adjustment of a reservoir model by the material balance method in the petroleum experts MBAL program. Setting up the integrated model in GAP. Bulletin of the Tomsk Polytechnic University. Geo Assets Engineering, 2024, vol. 335, no. 2, pp. 133–140. (In Russ.) doi: 10.18799/24131830/2024/2/4434
Supplementary files






