Mathematical modeling of rocks fracture within local structures
- 作者: Gaynanov S.K.1, Aptukov V.N.1, Seredin V.V.1
-
隶属关系:
- Perm State National Research University
- 期: 卷 335, 编号 1 (2024)
- 页面: 184-193
- 栏目: Articles
- URL: https://bakhtiniada.ru/2500-1019/article/view/267124
- DOI: https://doi.org/10.18799/24131830/2024/1/4541
- ID: 267124
如何引用文章
全文:
详细
Soil massif fracturing has a significant impact on change in engineering and geological conditions and, as a result, on stability of structures. Development of tectonic fracturing of local structures, taking into account the history of the process, its mechanism, resulting stresses in the massif and subsequent deformations of the rocks, led to a change in their structure, composition and strength characteristics, activation of hypergenesis and exogenous processes. The above circumstances require careful attention to identification of areas of increased fracturing, as the most dangerous in terms of risks during the construction of engineering structures. Field methods for assessing the fracturing of rock masses are laborious. It is not always possible to conduct instrumental surveys that allow solving the final problem – establishing patterns and sizes of damaged areas within local structures. The existing mathematical models for assessing fracturing, as a rule, are used to solve local problems: assessing the stability of developed pits, water content of rock masses, degree of fragmentation of individual blocks, etc. This information is not sufficient when assessing the areal distribution of weakened zones and clarifying their boundaries, since it does not take into account the history of the development of the structure, its parameters (dimensions, amplitude of the foundation block uplift, deformation properties of rocks).
Aim. To develop a mathematical model of formation of the red-colored strata tectonic fracturing zones based on deformation criterion of destruction and mechanism of development of local structures.
Results. The authors have developed a new mathematical model for predicting damage (fracturing) of terrigenous rocks of the red-colored strata that make up local structures, based on the mechanism of formation of local tectonic structures of the 3rd order and the deformation criterion of destruction. The paper introduces the mathematical dependencies that make it possible to predict the size (area) of taxa based on the data on the uplift amplitude of local structures. The results of the research can be used in assessing the fracturing of massifs composed of terrigenous rocks, and make it possible to judge the regularities in distribution of weakened zones within the entire massif being assessed.
全文:
Введение
На формирование инженерно-геологических условий красноцветной терригенной формации существенное влияние оказывает трещиноватость пород, слагающих локальные тектонические структуры. В пределах зон повышенной трещиноватости уменьшается прочность и увеличивается деформируемость массива пород [1, 2], на форму и вид трещин существенное влияние оказывает вид напряженного состояния пород [3, 4]. На этих территориях активизируются экзогенные процессы: овражная эрозия, суффозия, абразия и др. [5], а также возрастает интенсивность процессов гипергенеза и, как следствие, существенно изменяется состав и свойства материнской породы [6–9]. Поэтому оценка трещиноватости массива пород является актуальной задачей.
В настоящее время активно развиваются методы математического моделирования геомеханического поведения трещиноватых пород. Среди работ, посвященных выделению ослабленных зон массивов горных пород, следует отметить исследования некоторых авторов [10, 11]. Эти работы направлены на выделение трещиноватых зон по разрезу для оценки устойчивости бортов карьеров рудных месторождений. Компьютерная обработка данных проводилась главным образом на основании изучения керна, полученного в процессе бурения разведочных скважин. В работе [12] изложена методика, позволяющая автоматизировать процесс построения диаграмм трещиноватости, а также коэффициентов фильтрации скальных массивов. В последнее время математическое моделирование широко используется для оценки характера деформаций с учетом их деформационных особенностей, как для пород, обладающих хрупкой деформацией [13], так и для слоистых пород с пластической деформацией [14]. Появляются модели для оценки прочности пород через расчет напряженного состояния горного массива [15].
Развиваются смешанные подходы, основанные на методе комплексирования данных сейсморазведки и тектонофизического моделирования, при изучении зон тектонической трещиноватости для нефтяных пластов. Широко применяется геологическое 3D-моделирование [16] для визуализации трещиноватых зон на основе данных геологии и сейсморазведки, а также другие косвенные методы [17, 18].
Математическое моделирование трещиноватости массива горных пород, проведенное Г.М. Редькиным [19], показало, что этот способ описания степени раздробленности отдельных блоков массивов не дает общего представления о распределении зон разной степени трещиноватости в определенных горно-геологических условиях. В работах С.В. Влада [20] представлены результаты лабораторных экспериментов и выполнено математическое моделирование процесса нагружения кубического трещиноватого образца. Предложенная модель удовлетворительно работает при углах наклона трещин 5–60 градусов.
Методы математического моделирования для оценки напряженно-деформированного состояния и геодинамически опасных зон породного массива при различных условиях природного и техногенного воздействия изучались в работах [21–25]. Однако направленность этих работ не позволяет выявить влияние тектонической трещиноватости в пределах локальных структур на изменение инженерно-геологических условий и, как следствие, на устойчивость сооружений.
Поэтому целью исследования является разработка математической модели формирования зон тектонической трещиноватости терригенных пород в массивах красноцветной толщи на основе деформационного критерия разрушения.
Методика
Построение математической модели формирования зон тектонической трещиноватости включает в себя следующие этапы:
- формирование геометрической и физической модели локальной структуры (размеры, тип горных пород, их физико-механические свойства и мощности);
- расчет напряженно-деформированного состояния локальной структуры при воздействии фундаментного блока;
- расчет степени поврежденности пород красноцветной толщи по деформационному критерию разрушения и типизация поврежденных пород;
- определение площади нарушений красноцветной толщи по таксонам в зависимости от давления фундамента;
- построение регрессионных (прогнозных) моделей.
При моделировании локальной структуры учитываются упругие и пластические деформации породного массива. Математическая постановка задачи [26] включает в себя:
- уравнения равновесия
, , (1)
- граничные условия в напряжениях
, , (2)
- граничные условия в перемещениях
, , (3)
- уравнения Коши
, , (4)
- уравнения линейной упругости
, , (5)
- уравнения пластичности
, , (6)
где – компоненты вектора объемных сил; – частная производная по ; – компоненты вектора нормали к поверхности тела; , – заданные компоненты вектора поверхностных нагрузок и вектора перемещений на поверхностях и ; K, G – объемный и сдвиговой модуль; – функция деформационного упрочнения от второго инварианта тензора пластических деформаций; – область моделирования.
В соотношениях (1)–(6) по повторяющимся индексам осуществляется операция суммирования. Предполагается, что тензор полных деформаций аддитивно представлен упругими , пластическими деформациями. Тензоры напряжений и деформаций разложены на сумму шаровых , и девиаторных частей.
В настоящей расчетной схеме не учитываются объемные силы . Граничные условия представлены наличием заданных перемещений и поверхностных нагрузок .
Результаты решений, которые представлены ниже, получены методом конечных элементов в пакете ANSYS [27] в пространственной постановке. Использованы опции Rate Independent, Isotropic Hardening Plasticity, Mises Plasticity, Multilinear для расчетов пластичности.
В результате расчетов получен полный набор компонентов тензора напряжений и деформаций, компоненты вектора перемещений. Поскольку основной целью моделирования является расчет появления и развития трещиноватых зон, остановимся на применяемом критерии роста поврежденности.
При развитии неупругих процессов в различных горных породах накапливается трещиноватость (поврежденность), выражаемая в разуплотнении пород, уменьшении их сопротивляемости механическим нагрузкам, повышении фильтрационных свойств. Для таких процессов применение критерия, основанного на предельных напряжениях, не дает адекватного описания явления [24]. В этом случае необходимо использовать критерии накопления поврежденности, которые являются достаточно сложными, или использовать в качестве параметра поврежденности уровень накапливаемой неупругой деформации. Такой подход является актуальным при развитии временных процессов деформации [24]. В нашем случае в явном виде временной фактор не присутствовал, но нагружение осуществлялось поэтапно, что приводило к накоплению пластической деформации.
Ранее [23] был предложен деформационный критерий разрушения соляных пород, который успешно применялся при моделировании процессов разрушения кровли и стенок выработок соляных рудников.
Упрощенный вариант деформационного критерия разрушения имеет вид:
, (7)
где – интенсивность деформаций; – предельная интенсивность деформаций, зависящая от коэффициента жесткости напряженного состояния ; – гидростатическое давление; – интенсивность напряжений.
По аналогии с классическими критериями разрушения вводится коэффициент запаса прочности по деформационному критерию:
. (8)
Таким образом, разработанный критерий (7), (8) можно применять как классификационный показатель (КП) типизации красноцветной толщи по степени поврежденности (трещиноватости) пород.
Результаты и обсуждения
Математическая модель трещиноватости структуры. В расчетах используем 3D-модель процесса поднятия блоком фундамента (БФ) в результате его вертикального перемещения слоя коренных пород (КП) при длине БФ 10 км, ширине 5 км.
Предполагается наличие симметрии блока фундамента и коренных пород относительно направлений их длины и ширины. Поэтому расчетная схема включает только одну четверть всей области породного массива (рис. 1 – на примере поля вертикальных перемещений).
В расчетах породный массив разделяли на три слоя (рис. 1):
- фундамент (область 1) представлен породами;
- слой коренных пород (область 2) мощностью 50 м;
- слой коренных пород (область 3) мощностью 50 м.
Физические уравнения пород кроме фундаментного блока учитывают упругопластические свойства, последний – только упругие. Все породы предполагаются изотропными.
Сам фундаментный блок, который осуществляет поднятие коренных пород, не рассматривается, его действие заменяется давлением на внутренней поверхности нижнего слоя коренных пород (рис. 1, область 2), которое повышалось поэтапно. Принятое допущение приводит к «сводовой» форме вышележащих отложений (поднятие под действием давления пластичных пород), что и наблюдается в исследуемой структуре.
Также в модели было предусмотрено наличие расслоения между фундаментным блоком и коренными породами, заключающееся в отсутствии на определенной длине вдоль горизонтали связи между неподвижным фундаментным блоком и поднимающейся частью коренных пород.
На боковых вертикальных границах и нижней горизонтальной границе расчетной области формулировалось условие отсутствия нормальных к границе перемещений . В табл. 1 показаны принятые свойства слоев расчетной области.
Рис. 1. Поле вертикальных перемещений (м) пород красноцветной толщи (расчетная 3D-модель), соответствующее давлению блока фундамента P=0,05 МПа
Fig. 1. Field of vertical displacements (m) of the red-colored strata rocks (computational 3D model) corresponding to pressure by a block of the foundation P=0,05 MPa
Таблица 1. Физико-механические свойства пород
Table 1. Physical and mechanical properties of rocks
Наименование области Area name | Породы Rocks | Мощность, м Thickness, m | Свойства пород Properties of rocks | Модуль упругости, МПа Elastic module, MPa | Коэффициент Пуассона Poison's ratio | Прочность на сжатие, МПа Compressive strength, MPa |
Фундамент Foundation | Магматические породы | – | Упругие Elastic | 20000 | 0,20 | – |
Коренные нижние породы Lower bed rock | Алевролиты, Аргиллиты, Siltsones, | 50 | Упругопластические Elastic plastic
| 5000 | 0,20 | 10 |
Коренные верхние породы Upper bed rock | Песчаники | 50 | 10000 | 0,20 | 20 |
Поднятие блока фундамента моделировалось поэтапным приложением равномерной сжимающей нагрузки к нижней части коренных пород, где фундамент (в расчетной схеме) отсутствует:
- Р1=0,02 МПа, амплитуда поднятия А1=13 м;
- Р2=0,035 МПа, амплитуда поднятия А2 =25 м;
- Р3=0,05 МПа, амплитуда поднятия А3=35 м;
- Р4=0,06 МПа, амплитуда поднятия А4=50 м;
- Р5=0,065 МПа, амплитуда поднятия А5=55 м;
- Р6=0,075 МПа, амплитуда поднятия А6=70 м.
Отметим, что амплитуда поднятия, указанная выше, определялась (а не задавалась) при расчете модели для заданных условий и давлении.
По результатам расчетов определены все поля напряжений, деформаций и перемещений в геометрической модели, на основании которых, с применением деформационного критерия разрушения (7), (8), получены поля поврежденности различного уровня.
Типизация степени нарушенности локальной структуры. Принята следующая модель типизации поврежденных зон, полученных расчетным путем. Область с показателем 0<КП<1 считается разрушенной (фрагментированной), область с показателем 1<КП<2 – сильно поврежденной, 2<КП<3 – поврежденной, 3<КП<4 – слабо поврежденной, область с КП>4 слабо отличается от исходной породы (табл. 2). В табл. 2 показатель Lт характеризует общую протяженность тектонических трещин в пределах массива на определенную площадь (10000 м2).
Типизация пород красноцветной толщи по степени трещиноватости пород Кп при амплитуде поднятия 13, 35 и 70 м приведена на рис. 2. Следует отметить, что на рис. 2 приведен фрагмент, который составляет четверть всей структуры. Это обусловлено тем, что нарушенность пород симметрична.
Из рисунков видно, что на исследуемой территории выделяется пять таксонов локальной структуры, характеризующихся определенным набором свойств пород. Область серого цвета – это область с отсутствием каких-либо повреждений, вызванных поднятием блока фундамента.
Таблица 2. Модель типизации пород красноцветной толщи
Table 2. Model of typification of the red-colored strata rocks
Наименование таксона Taxon name | Состояние породного массива Rock mass state | Степень поврежденности (трещиноватости) Degree of damage (fractures) | Модельный критерий районирования, Кп Model criterion for zoning, Kp | Полевой критерий районирования, Lт, м/10000 м2 Field criterion for zoning, Lт, m/10000 m2 |
I | Очень неустойчивое Very unstable | Разрушенная (фрагментированная) Destroyed (fragmented) | 0<КП<1 | Lт>25000 |
II | Неустойчивое Unstable | Сильно трещиноватая Heavily fractured | 1<КП<2 | 15000<Lт<25000 |
III | Малоустойчивое Weakly stable | Трещиноватая Fractured | 2<КП<3 | 5000<Lт<15000 |
IV | Устойчивое Stable | Слабо трещиноватая Weakly fractured | 3<КП<4 | Lт<5000 |
V | Очень устойчивое Very stable | Не трещиноватая Not fractured | КП>4 |
Рис. 2. Типизация пород красноцветной толщи (по Опалихинской структуре) по критерию Кп при амплитудах поднятия: А6=70 м, А3=35 м и А1=13 м. Таксоны: 1 – темно-синий цвет, 2 – голубой, 3 – зеленый, 4 – желтый, 5 – красный. Размеры моделируемого объекта по осям Х, Y – 15 км
Fig. 2. Typification of the red-colored strata rocks (Opalikhinsky structure) according to the Kp criterion at uplift amplitudes: A3=70 m, A2=35 m and A1=13 m. Taxon: 1 – dark blue, 2 – light blue, 3 – green, 4 – yellow, 5 – red. Dimensions of the modeled object along the X, Y axes – 15 km
Таксон 1 представлен разрушенными (фрагментированными) песчаниками, алевролитовыми и аргилитовыми породами с прочностью на сжатие Rс=0,1–2,0 МПа, пористостью n=35 % и выше, степенью выветрелости Кв=0,30. Фильтрация вод на этой территории очень высокая, коэффициенты фильтрации Кф=20 м/сут и более. Таксон 2 – пестроцветная толща сильно разрушена, прочность на сжатие несколько выше, чем в таксоне 1, и изменяется в диапазоне Rс=2,0–4,0 МПа, уменьшается пустотность n=25 %, выветрелость Кв=0,20 и коэффициент фильтрации Кф=2–7 м/сут. Таксон 3 – горные породы трещиноватые, достаточно прочные Rс=4,0–8,0 МПа, пористость изменяется n=15–25 %, выветрелость Кв=0,1–0,2, Кф=0,8–2 м/сут. Таксон 4 – породы пестроцветной толщи слабо трещиноватые, прочные Rс=8,0–15,0 МПа, пористость изменяется n=5–10 %, выветрелость Кв=0,1, Кф=0,2–1,0 м/сут. Таксон 5 – песчаники, алевролиты и аргиллиты не трещиноватые, прочные Rс=15,0–20,0 МПа, пористость n<5 %, не выветрелые, коэффициенты фильтрации Кф<0,2 м/сут.
Оценка достоверности трещиноватости пород, полученная методом математического моделирования и по данным полевых исследований. В ранее проведенных исследованиях Опалихинской структуры [28], имеющей размеры: длина – 6 км, ширина – 2,6 км, амплитуда поднятия – 70 м, приведены полевые данные съемки трещиноватости пород. В качестве критерия степени нарушенности пород выбран критерий Lт, длина трещин на 10000 м2. По критерию Lт составлена карта нарушенности (районирования) пород красноцветной толщи. Выделяются четыре таксона. Сопоставление таксонов, полученных разными методами, показало, что при полевом методе четвертый таксон объединяет 4 и 5 таксоны, полученные методом математического моделирования. При оценке достоверности допускаем, что наиболее надежным является полевой метод определения нарушенности массива пород. Сопоставление карт районирования поврежденности Опалихинской структуры, полученных различными методами, показало, что площадь таксона 1, определенная математическим моделированием, на 12 % больше, чем площадь, полученная полевым методом, а таксона 2 – на 14 %. Площади таксонов 3–5 разнонаправленно изменяются на 18–26 %. Пространственное расположение зон повышенной трещиноватости, полученных разными методами, согласуются между собой.
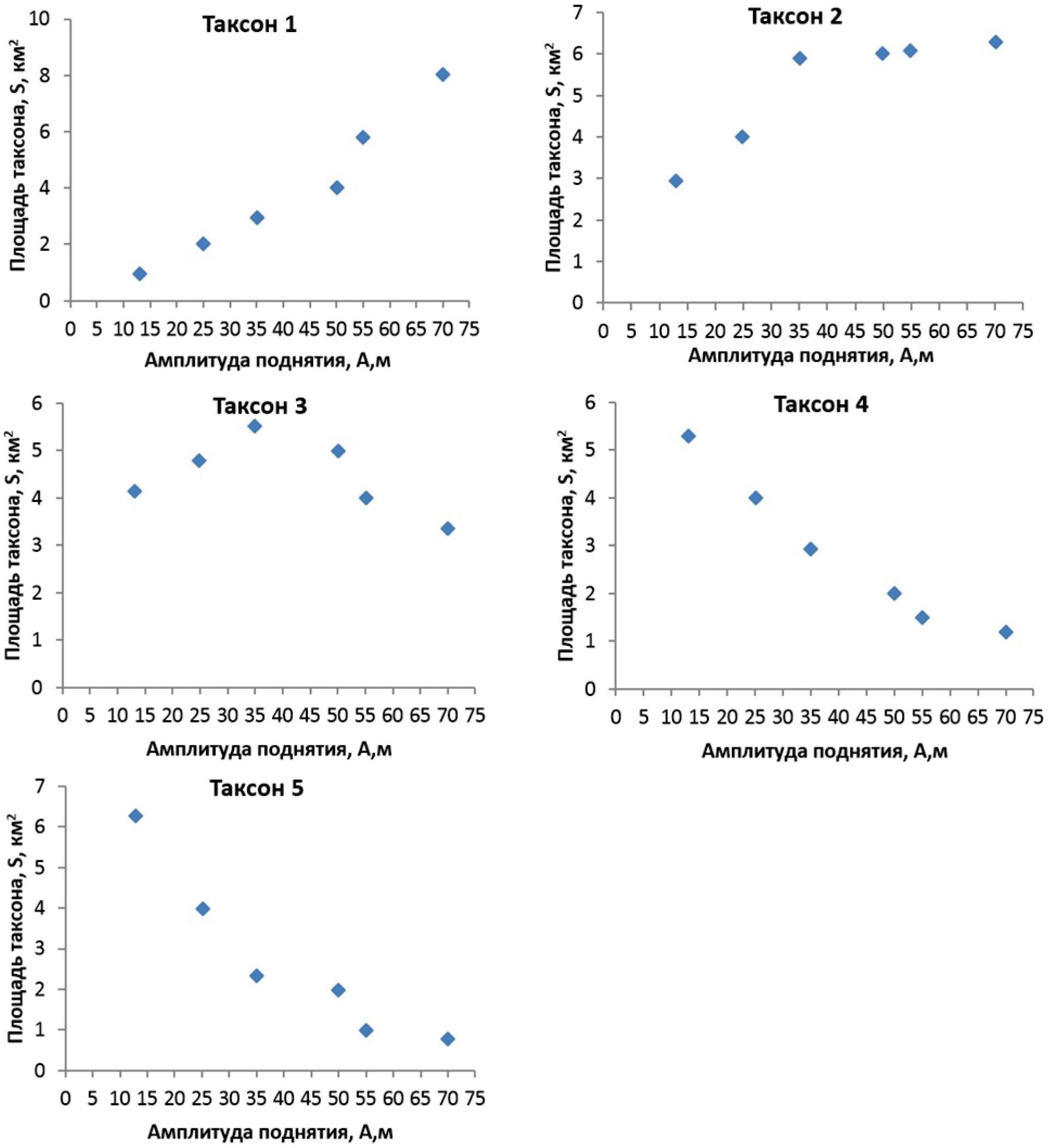
Влияние амплитуды поднятия структуры на изменение площади таксонов. Используя данные рис. 2, подсчитаны площади, занимаемые таксонами в пределах исследуемого поднятия. Результаты расчетов приведены в табл. 3.
Используя данные табл. 3, построены графики зависимости площади таксонов от амплитуды поднятия локальной структуры (рис. 3).
Таблица 3. Площади таксонов
Table 3. Taxon areas
Амплитуда поднятия, А, м Uplift amplitude, A, m | Давление, Р, МПа Pressure, P, MPa | Площадь таксонов, S, км2 Taxon areas, S, km2 | ||||||
I | II | III | IV | V | Всего/Total | |||
13 | 0,02 | 0,98 | 2,94 | 4,12 | 5,29 | 6,27 | 19,6 | |
25 | 0,035 | 2,01 | 4 | 4,8 | 4 | 4 | 19,6 | |
35 | 0,05 | 2,94 | 5,88 | 5,49 | 2,94 | 2,35 | 19,6 | |
50 | 0,06 | 4 | 6 | 5 | 2 | 2 | 19,6 | |
55 | 0,065 | 5,8 | 6,2 | 4 | 1,5 | 1 | 19,6 | |
70 | 0,075 | 8,04 | 6,27 | 3,33 | 1,18 | 0,78 | 19,6 | |
Рис. 3. Влияние амплитуды поднятия локальных структур на изменение площади таксонов
Fig. 3. Influence of the uplift amplitude of local structures on the change in the taxon areas
Из рис. 3 видно, что площади первого и второго таксонов увеличиваются с возрастанием амплитуды поднятия структуры. Так, при повышении амплитуды с А1=13 м до А6=70 м площадь первого таксона увеличивается на S1=7,06 км2, или 36 %, а второго на S2=3,33 км2, или 17 %. Для площадей четвертого и пятого таксонов выявлена противоположенная закономерность – с увеличением амплитуды поднятия площадь таксонов закономерно уменьшается. Так, для четвертого таксона она снижается на S4=4,11 км2, или 21 %, а для пятого таксона на S5=5,49 км2, или 28 %. Площадь третьего таксона увеличивается при возрастании амплитуды поднятия до А=35 м и уменьшается при увеличении А=70 м.
На основании выявленных закономерностей, используя регрессионный анализ, для каждого таксона получены следующие математические зависимости:
Таксон 1 S1=0,1209 А1–1,036
Таксон 2 S2=0,0589 А2+2,7629
Таксон 4 S4= –0,0739 А4+5,8746
Таксон 5 S5= –0,0932 А5+6,5873
Заключение
Проведен анализ натурных измерений и описание локальной структуры коренных пород красноцветной толщи при поднятии фундаментного блока.
Разработана математическая модель прогноза поврежденности (трещиноватости) терригенных пород красноцветной толщи, слагающих локальные структуры, основанная на деформационном критерии разрушения.
Представлены математические зависимости, позволяющие прогнозировать размеры (площади) таксонов по данным амплитуды поднятия локальных структур. Результаты исследований могут применяться при оценке трещиноватости массивов пород, сложенных терригенными породами, а также служить основой для крупномасштабного инженерно-геологического районирования в пределах локальных тектонических структур.
作者简介
Sharibzan Gaynanov
Perm State National Research University
编辑信件的主要联系方式.
Email: gaynanov@inbox.ru
ORCID iD: 0000-0002-2722-2725
Cand. Sc., Associate Professor
俄罗斯联邦, PermValeriy Aptukov
Perm State National Research University
Email: aptukov@psu.ru
ORCID iD: 0000-0001-8048-3804
Dr. Sc., Professor
俄罗斯联邦, PermValeriy Seredin
Perm State National Research University
Email: seredin@nedra.perm.ru
ORCID iD: 0000-0002-9234-7831
Dr. Sc., Professor
俄罗斯联邦, Perm参考
- Rats M.V. Structural models in engineering geology. Moscow, Nedra Publ., 1973. 216 p. (In Russ.)
- Dittrich E. Observation of unit rock block. Bergakademie, 1970, 3, pp.151–160. (In Germ.)
- Kakimi T. Depth of fracturing in Earths crust. Journal of the Geological Society of Japan, 1971, vol. 77, no. 5, pp. 237–242.
- Seredin V.V., Khrulev A.S., Rastegaev A.V., Galkin V.I. Procedure of stress state assessment in rocks. Gornyi Zhurnal, 2020, no. 2, pp. 30–34. (In Russ.) doi: 10.17580/gzh.2020.02.03
- Gaynanov Sh.Kh. Activation of exogenous processes within the Kama region local structures of the red-colored terrigenic formation. Minerals and Mining Engineering, 2022, no. 2, pp.85–95. (In Russ.) doi: 10.21440/0536-1028-2022-2-85-95
- Seredin V.V., Yadzinskaya M.R., Makovetskiy O.A. High pressure influence on the change in the structure of the packet, mineral, colloid and aggregate of bentonite clay. Bulletin of the Tomsk Polytechnic University. Geo Аssets Engineering, 2022, vol. 333, no. 12, pp. 37–45. (In Russ.) doi: 10.18799/24131830/2022/12/3576
- Siegesmund S., Snethlage R. Stone in architecture: properties, durability. Berlin, Springer Publ., 2011. 558 p.
- Zhu X., Zhu Z., Lei X., Yan C. Defects in structure as the sources of the surface charges of kaolinite. Applied Clay Science, 2016, vol. 124–125, pp. 127–136. doi: 10.1016/j.clay.2016.01.033.
- Sruthi P.L., Reddy P.H. Swelling and mineralogical characteristics of alkali-transformed kaolinitic clays. Applied Clay Science, 2019, vol. 183, Article number 105353. doi: 10.1016/j.clay.2019. 105353
- Korchak S.A. Obtaining initial data for forecast engineering geological model construction. Minerals and Mining Engineering, 2022, no. 5, pp. 66–76. (In Russ.) doi: 10.21440/0536-1028-2022-5-66-76
- Nicholson G.A., Bieniawski Z.T. A nonlinear deformation modulus based on rock mass classification. International Journal of Mining and Geological Engineering, 1990, vol. 8, pp. 181–202. DOI: 10.1007/ BF01554041
- Kuzmin V.S., Kopytin A.S. Computer technologies application for the solution of the tasks of rocks fracturing investigation. RUDN Journal of Ecology and Life Safety, 2013, no. 3, pp. 83–92. (In Russ.)
- Zhou G-L., Xu T., Heap M.J., Meredith P.G., Mitchell T.M., Sesnic A.S.-Y., Yuan Y. A three-dimensional numerical meso-approach to modeling time-independent deformation and fracturing of brittle rocks. Computers and Geotechnics, 2020, vol. 117, Article number 103274. doi: 10.1016/j.comgeo.2019.103274
- Chemenda A.I., Hassani R., Fan J. Numerical modeling of the opening mode fracturing emanating from deformation localization in layered rocks. Computers and Geotechnics, 2022, vol. 147, Article number 104774. doi: 10.1016/j.compgeo.2022.104774
- Wang C., Liu X., Song D., Wang E., Zhang J. Elasto-plastic analysis of the surrounding rock mass in circular tunnel using a new numerical model based on generalized nonlinear unified strength theory. Computers and Geotechnics, 2023, vol. 154, Article number 105163. doi: 10.1016/j.compgeo.2022. 105163
- Zakrevskiy K.E., Kundin A.S. Features of geological 3D modeling of carbonate and fractured reservoirs. Moscow, Belyy veter Publ., 2016. 404 p. (In Russ.)
- Wang R., Deng X., Meng Y., Xia D. Application of ultrasonic-rebound method in fast prediction of rock strength. Geotechnical and Geological Engineering, 2020, vol. 38, pp. 5915–5924. DOI: 10.1007/s 10706-020-01402-6
- Vakili A. An improved unified constitutive model for rock material and guidelines for its application in numerical modeling. Computers and Geotechnics, 2016, vol. 80, pp. 261–282. doi: 10.1016/j.compgeo.2016.08.020
- Redkin G.M. Mathematical modeling of fractures in a rock mass. Izvestiya VUZOV. Severo-Kavkazskiy region. Tekhnicheskie nauki, 2005, no. 4, pp. 79–82. (In Russ.)
- Vlad S.V. On the numerical modeling of fractured rock masses under geotectonic loads. Industrial and Civil Engineering, 2014, no. 11, pp. 32–35. (In Russ.)
- Olovyanny A.G. Mathematical modeling of deformation processes and failure in fractured rock mass. Journal of Mining Institute, 2010, vol. 185, pp. 95–98. (In Russ.)
- Zhuravkov M.A. Mathematical modeling of deformation processes in solid deformable media (on the example of problems of mechanics of rocks and massifs). Minsk, BGU Publ., 2002. 456 p. (In Russ.)
- Aptukov V.N. Deformation criterion of destruction of salt rocks samples. Fiziko-tekhnicheskie problemy razrabotki poleznykh iskopaemykh, 2016, no. 3, pp. 39–45. (In Russ.)
- Konstantinova S.A., Aptukov V.N. Some problems in the mechanics of deformation and fracture of salt rocks. Novosibirsk, Nauka Publ., 2013. 191 p. (In Russ.)
- Livinskiy I.S., Mitrofanov A.F., Makarov A.B. Complex geomechanical modeling: structure, geology, reasonable sufficiency. Mining Journal, 2017, no.8, pp. 51–55. (In Russ.) doi: 10.17580/gzh.2017.08.09
- Kachanov L.M. Fundamentals of the theory of plasticity. Moscow, Nauka Publ., 1969. 420 p. (In Russ.)
- Basov K.A. ANSYS for constructors. Moscow, DMK Press Publ., 2009. 248 p. (In Russ.)
- Gaynanov Sh.Kh. Tectonic stresses impact on rock mass structure and properties. News of the Higher Institutions. Mining Journal, 2021, no. 3, pp. 71–78. (In Russ.) doi: 10.21440/0536-1028-2021-3-71-78
补充文件





