Changes in conditions of interaction of ground, river and swamp water during swamping of the West Siberian plain in the Holocene
- Authors: Savichev O.G.1
-
Affiliations:
- National Research Tomsk Polytechnic University
- Issue: Vol 335, No 2 (2024)
- Pages: 170-186
- Section: Articles
- URL: https://bakhtiniada.ru/2500-1019/article/view/267089
- DOI: https://doi.org/10.18799/24131830/2024/2/4535
- ID: 267089
Cite item
Full Text
Abstract
Relevance. The need to understand and long-term forecast the conditions of interaction between groundwater, river and swamp waters in the Ob River basin.
Aim. To identify patterns of changes in the conditions of interaction of groundwater, river and swamp waters during swamping of the flat part of the Ob River basin in the Holocene.
Methods. Mathematical modeling methods, statistical methods, geographical-hydrological method.
Results and conclusions. The author has carried out an analysis of materials from long-term hydrogeological and hydrological observations in the wetlands of the Ob basin and studied the hydrodynamic and geochemical conditions for interaction of groundwater, river and swamp waters. It is shown that the emergence and evolution of swamp ecosystems in the territory under consideration is a complex of erosion-accumulation processes, the development of which until the modern period took place in three stages: 1) from the beginning of intense degradation of glaciation to 4...6 thousand years ago is the formation of a primary hydrographic network approximately modern appearance, distribution of peat bogs; the groundwater regime is close to the groundwater regime of the permafrost zone in the north of modern Western Siberia; 2) from 4...6 thousand years ago to 1.5...3 thousand years ago is large-scale distribution of lowland swamps and degradation of part of the primary river network; groundwater levels in river watersheds are generally lower than at present, but the amplitude of their fluctuations is high; a significant part of the watersheds are flooded during high water and floods, and underflooded during low water periods; 3) from 1.5...3 thousand years ago is degradation of a significant part of the primary river network, wide distribution of raised swamps, formation of a secondary hydrographic network in the swamps; at watersheds, groundwater levels rise, but the amplitude of their fluctuations decreases, and water exchange with swamps is significantly reduced; in the valleys of medium and large rivers, water exchange between surface and groundwater is most intense, which causes the flow of significant amounts of organic substances and products of their transformation into river and groundwater from swamps. Scenarios of possible changes in the conditions of interaction between surface and groundwater were assessed.
Full Text
Введение
В Сибири в голоцене произошли значительные изменения климата и состояния окружающей среды, в результате которых к настоящему времени сформировались обширнейшие болотные массивы [1–11]. По мнению многих исследователей, в перспективе наиболее вероятно дальнейшее увеличение температуры атмосферного воздуха и, как следствие, активизация экзогенных геологических процессов и деформаций границ водных объектов на территориях распространения болот и многолетней мерзлоты [4, 5, 8, 11–23]. В то же время скорость и направление эволюции болотных систем в настоящее время не очевидны: что более вероятно – деградация болот с выделением огромного количества парниковых газов, переформирование гидрографической сети с появлением большого количества труднопроходимых водотоков и водоемов (которое в ряде случаев воспринимается как следствие потепления) или что-то еще?
Не вызывает сомнений, что подобная неопределенность (пока в недостаточной мере регулируемая нормативными документами в области проектирования, строительства и эксплуатации на заболоченных территориях) может привести к увеличению количества отказов технических систем в составе нефтегазодобывающего, нефтегазотранспортного, автодорожного и жилищно-коммунального комплексов. Это обусловливает актуальность исследований в области прогнозирования изменения окружающей среды и повышения безопасности и надежности технических компонентов природно-техногенных комплексов и определяет цель рассматриваемого исследования – выявление закономерностей изменения условий взаимодействия подземных, речных и болотных вод при заболачивании равнинной части бассейна реки Оби в голоцене.
Исследование направлено на оценку тенденций эволюции болотных экосистем Западной Сибири, уточнение сценариев изменения крупных природно-техногенных комплексов, разработку рекомендаций по повышению надежности и безопасности технических систем, функционирующих в условиях сильной заболоченности, и является в значительной мере результатом обобщения работ, выполненных в последние три десятилетия под руководством и/или при непосредственном участии автора в Томском политехническом университете (ТПУ) совместно с коллегами из Томского государственного университета (ТГУ), акционерного общества (АО) «Томскгеомониторинг», Сибирского регионального центра Федерального государственного бюджетного учреждения (СРЦ ФГБУ) «Гидроспецгеология», Томского филиала Института нефтегазовой геологии и геофизики Сибирского отделения Российской Академии наук (ТФ ИНГГ СО РАН) и ООО «ИНГЕОТЕХ» [24–33].
Объекты и методика исследования
Основные объекты исследования – левобережные притоки р. Оби – реки Шегарка и Чая с ее притоками (рр. Андарма, Бакчар, Галка, Ключ, Икса) – расположены в южно-таежной подзоне Западной Сибири. Дополнительно изучены реки в Горном Алтае (в верховьях Катуни; р. Обь образуется при слиянии рек Катуни и Бии), на границе лесостепной зоны и южно-таежной подзоны в районе юго-восточной части Васюганского болотного комплекса, в подзоне средней тайги, а также на границе северной тайги и лесотундры, лесотундры и тундры (рис. 1, а).
Рис. 1. Схема Обского бассейна (a) и расположения профиля моделирования изменения уровней подземных вод в голоцене (b; расчет по уравнениям (1)–(3)); природные зоны в бассейне р. Оби: I – тундра; II – лесотундра и северная тайга; III – средняя тайга; IV – южная тайга; V – лесостепь; VI – степь; VII – горные районы (схема a приведена по [33]); · – участок размещения основных объектов исследования в районе профиля AP–OP (b), который проходит через посты: AP – р. Андарма у с. Панычево; GB – р. Галка у с. Бакчар; TNM – р. Тетеренка у урочища Ново-Макаровка; BP – р. Бакчар у с. Полынянка; IP – р. Икса у с. Плотниково; SB – р. Шегарка у с. Бабарыкино; OP – р. Обь у п. Победа; участки наблюдений ТПУ на болотах: bV – восточная часть Васюганского болота между с. Полынянка и урочищем Гавриловка; bO – часть Обского болота у сел Нащеково (фон) и Мельниково (загрязненный участок); bT – болото у п. Тимирязево; гидрогеологические скважины: 63p – с. Мельниково; 89р – с. Каргала; 110р – с. Бакчар; - - - - – положение расчетного профиля уровней грунтовых вод, вычисленных по уравнениям (1)–(3) (основа – снимок Google Earth); ¨ – дополнительные объекты исследования;
Fig. 1. Scheme of the Ob basin (a) and location of the modeling profile for changes in groundwater levels in the Holocene (b; calculation using equations (1)–(3)); natural areas in the river basin Ob: I – tundra; II – forest-tundra and northern taiga; III – middle taiga; IV – southern taiga; V – forest-steppe; VI – steppe; VII – mountainous areas (Scheme a is given after [33]); · – the area where the main research objects are located in the area of the AP–OP profile (b), which passes through the posts: AP is the Andarma river at the Panychevo village; GB is the Galka river at the Bakchar village; TNM is the Teterenka river at the Novo-Makarovka tract (non-residential place); BP is the Bakchar river at the Polynyanka village; IP is the Iksa river at the Plotnikovo village; SB is the Shegarka river at the Babarykino village; OP is the Ob river at the Pobeda village; TPU observation areas in swamps: bV is the eastern part of the Vasyugan swamp between the Polynyanka village and Gavrilovka tract; bO is the part of the Ob fen near the villages of Nashchekovo (background) and Melnikovo (polluted area) villages; bT is the swamp near the Timiryazevo area; hydrogeological wells: 63p is the Melnikovo village; 89p is the Kargala village; 110p is the Bakchar village; - - - - is the position of the calculated profile of groundwater levels calculated using equations (1)–(3) (based on Google Earth image); ¨ – the additional research objects
Для достижения поставленной цели поэтапно рассмотрены следующие задачи: 1) оценка гидродинамических условий взаимодействия подземных, речных и болотных вод на характерных участках с различными условиями развития болотных процессов; 2) выявление взаимного влияния подземных, речных и болотных вод на их химический состав; 3) обобщение полученных данных и их сопоставление с состоянием водных объектов на разных стадиях развития болотных процессов. В указанной последовательности были выполнены следующие мероприятия, которые условно можно сгруппировать в три этапа.
- Проведены расчёты характерных уровней речных вод Hr (среднегодовых, средних максимальных, средних за период открытого русла, максимальных с обеспеченностью 1, 5, 10 %) и оценены условия затопления и подтопления долин рек Оби, Томи (правый приток р. Оби), Васюган, Парабель (левые притоки р. Оби), Икса (элемент речной системы «Икса–Чая–Обь»), Бакчар («Бакчар–Чая–Обь»), Ключ («Ключ–Бакчар–Чая–Обь»), Киевский Еган (Киевский Еган – протока Киевская – Обь) в пределах Томской области. Полученные данные сопоставлены с материалами обследований болот с целью выявления условий водообмена между реками, горизонтами подземных вод и болотами разных типов. С этой же целью по материалам поисковых и разведочных работ на торф построены кривые депрессии грунтовых вод по профилю от р. Андармы («Андарма–Парбиг–Чая–Обь») у с. Панычево до р. Оби у с. Мельниково.
В качестве исходной информации использованы материалы многолетних наблюдений Росгидромета за расходами и уровнями речных вод, уровнями болотных вод (Баксинское болото в верховьях р. Шегарки в Новосибирской области), данные многолетних наблюдений в сети государственного мониторинга недр на территории Томской области (Томская геолого-разведочная экспедиция (ТГРЭ), АО «Томскгеомонитроринг», СРЦ ФГБУ «Гидроспецгеология») за уровнями подземных вод, а также данные наблюдений на болотном стационаре Сибирского научно-исследовательского института сельского хозяйства и торфа (СибНИИСХиТ) СО РАН в районе с. Полынянка в Бакчарском районе Томской области, результаты поисковых и геолого-разведочных работ на торф в 1950–1980-е гг., материалы проведенных сотрудниками ТПУ обследований болот и речных долин, а также опубликованные результаты исследований других авторов [25–28, 30–47].
Полевые работы на болотах и в речных долинах в разные годы проводились под руководством и при непосредственном участии автора с учетом требований [48–50]. Гидрологические расчеты выполнены автором, согласно [51], с использованием трехпараметрического гамма-распределения, а расчёты фактических (среднемноголетних) и ретроспективных уровней подземных вод Hgr и положения водоразделов Lws – с использованием уравнения Дюпюи (1, 2):
, (1)
, (2)
где Hr,1 и Hr,2 – среднемноголетние месячные или годовые уровни воды смежных рек р1 и р2 (либо подземных вод в гидрогеологической скважине р1 и реки р2); Hgr,x – уровень подземных (или болотных) вод на расстоянии x от уреза реки р1; L12 – расстояние между объектами р1 и р2; Lws – расстояние от объекта р1 до водораздела между объектами р1 и р2; Kf – средний по профилю коэффициент фильтрации; Inf – средняя по профилю инфильтрация. Для оценки инфильтрации в первом приближении использовалось допущении о примерном равенстве инфильтрации и подземной составляющей речного стока в среднем за многолетний период. При этом слой месячного стока подземных вод Ygr,i определяется следующим образом [26, 28, 52]:
, (3)
где Yr,i – слой суммарного речного стока за i-й месяц календарного года; ib и ie – начало и конец зимней межени согласно [53]; для притоков Средней Оби зимняя межень – с декабря по март. При оценке влияния различных факторов на соотношение Inf/Kf, величину подземной составляющей суммарного речного речного стока, а также ряд других величин проводился корреляционный и регрессионный анализ с учетом выполнения условия (4):
|r| ³ 2∙dr, , |ki| ³ 2∙dk, (4)
где N – общий объем наблюдений; r и dr – коэффициент корреляции и погрешность его определения; ki и dk – i-й коэффициент регрессии и погрешность его определения.
- Для подтверждения и уточнения результатов анализа гидрогеодинамических условий взаимодействия подземных, речных и болотных вод выполнено обобщение и анализ гидрогеохимических данных. Поскольку сопряженные наблюдения за химическим составом подземных, речных и болотных вод проводятся очень редко, был выполнен расчет средних арифметических и средних квадратических значений, проверка на однородность по среднему с использованием критерия Стьюдента (5) и дисперсии по критерию Фишера (6), составлены уравнения геохимического баланса (7) и оценены объемы разгрузки подземных вод из отложений разного возраста в русловую сеть рек Шегарки, Чаи и ее притоков – рек Бакчар, Галки, Иксы (8), (9):
, (5)
, (6)
, (7)
, (8)
, (9)
где N1 и N2 – объемы сравниваемых выборок совокупности, для каждой из которых рассчитаны среднее арифметическое A1, A2 и стандартное отклонение s1, s2; KS и KF – фактические значения критериев Стьюдента и Фишера; GY – годовой суммарный сток растворенных солей в замыкающем створе исследуемой реки, т/год; Gr, Gsn – поступление растворенных веществ с дождем и снеготалыми водами; DG – результат взаимодействий в системе «вода–порода»; Qg – среднегодовой расход подземных вод; Qg1 и Qg2 – составляющие подземного стока, соответствующие притоку подземных вод из неоген-четвертичного и палеогенового комплексов; Srw – среднее (многолетнее) значение суммы главных ионов в речных водах в зимний период при допущении, что в это время речной сток формируется в основном за счет подземных вод; Sg1 и Sg2 – среднее (многолетнее) значение сумм главных ионов в подземных грунтовых и артезианских водах. Более подробная информация об исходных данных и методике расчетов приведена в [29, 32].
- Реализация третьего этапа основывалась на эргодической гипотезе, при соблюдении которой для стационарного случайного процесса x(t) с вероятностью 1 среднее по времени из измерений функции f[x(t1),…, x(tn)] равно среднему по множеству [54]. Дополнительное условие при решении этой задачи: болотный процесс в целом для голоцена нестационарный, но внутри него можно выделить серию условно однородных периодов, в пределах которых наблюдались условия и стадии болотного процесса, сопоставимые по ряду показателей с каким-либо из участков современных болот в бассейне р. Оби и прилегающих территориях. Методика исследований на этом этапе – та же, что и на первых двух этапах в части анализа информации. На заключительном этапе проводилось обобщение всех материалов, их согласование и сопоставление с материалами полевых работ, проведенных при участии и под руководством автора в 1990–2023 гг. с учетом требований [48–50, 55].
Результаты исследования
На первом этапе исследования был выполнен анализ взаимосвязей уровней речных, подземных и болотных вод, выявивший существенные различия в водном режиме низинных долинных и верховых водораздельных болот, а также в характере их взаимодействия с другими водными объектами.
В случае долинных низинных болот (особенно для больших рек, согласно [56]), отмечен достаточно интенсивный водообмен, связанный с существенной вероятностью затопления (речными водами) части низинных болот во время весенне-летнего половодья, притока грунтовых вод с прилегающих суходолов, возможностью выхода на границе болот напорных вод из более глубоких водоносных горизонтов и поступления смеси речных и болотных вод как минимум в первый от поверхности постоянный водоносный горизонт [13, 40, 27, 46].
При этом отметим следующее: 1) совместное влияние речных и подземных вод прослеживается практически по всей ширине долинного низинного болота – если не прямое (затопление), то косвенное, за счёт формирования в среднем за многолетний период кривой депрессии от водораздела в сторону реки; 2) поверхность долинного низинного болота примерно соответствует среднему максимальному уровню речных вод (рис. 2); 3) наблюдается и обратное влияние болотных вод на водный режим реки и подземных вод, связанное с: 3.1) дополнительной задержкой воды на спаде половодья на пойменных участках болота вследствие значительной шероховатости поверхности, а также задержкой влаги в торфяной залежи в случае относительно низкой влажности торфов в предшествующий маловодный период; 3.2) поступлением в межень болотных, в половодье болотно-речных вод в водоносные отложения прилегающих суходолов на участках до 800–900 м; 3.3) взаимодействие поверхностных и подземных вод в долине р. Оби и на прилегающей территории достигает примерно 110–120 м [27, 46].
Рис. 2. Поперечный профиль долины р. Оби у с. Мельниково [27, 46]; условные обозначения: L – расстояние от условной точки на левом берегу; уровни воды H в Балтийской системе высот: Hs – высотная отметка поверхности долины или дна р. Оби; Hr(a) и Hr(amax) – среднемноголетний и средний максимальный уровни воды р. Оби за 1967–2015 гг.; Hf – нижняя граница Обского болота; Hgr(1) и Hgr(2) – расчетные отметки кривой депрессии подземных вод от среднемноголетнего уровня воды в скважине 63р до внешней границы болота (1) и среднего уреза воды в протоке Оби (2)
Fig. 2. Cross profile of the Ob River valley near the village of Melnikovo [27, 46]; symbols: L is the distance from the conventional point on the left bank; water levels H in the Baltic height system: Hs is the elevation of the surface of the valley or bottom of the Ob River; Hr(a) and Hr(amax) are the long-term average and average maximum water levels of the Ob River for 1967–2015; Hf is the lower boundary of the Ob swamp; Hgr(1) and Hgr(2) are the calculated marks of the groundwater depression curve from the average long-term water level in well 63p to the outer boundary of the swamp (1) and the average water edge in the Ob River channel (2)
На водораздельных пространствах, в зависимости от преобладающего типа торфяной залежи, могут наблюдаться различные условия взаимодействия подземных, болотных и речных вод, которые можно условно объединить в две основные группы. Соответственно этим группам выделяются два типа территорий. Для первого типа характерно преимущественное распространение низинных болот, возникших при эвтрофикации водоемов и/или постоянном подтоплении земель подземными водами. В этом случае, например, на междуречье рек Оби и Шегарки (рис. 3), наблюдается: 1) достаточно резкое внутригодовое изменение уровней речных вод; 2) существенно меньшая амплитуда колебаний уровней подземных вод в верхней части геологического разреза (возраст отложений QII, QIII +P3) в гидрогеологических скважинах, смещенных от водоразделов к речной долине; 3) изменение (расчетное) уровней грунтовых вод на водоразделе меньше, чем у рек, но больше, чем в гидрогеологических скважинах, более приближенных к речным долинам; положение водораздела меняется в течение года [30]; 4) наименьшая амплитуда колебаний в случае уровней болотных вод.
Рис. 3. Внутригодовое изменение отклонений среднемесячных уровней воды H(m) от их среднемноголетних значений H(a); уровни воды: Hgr – в скважине 89р (с. Каргала; возраст отложений aQIItb; средний уровень за 1965–1995 гг. Hgr(a)=99,39 м; отметка устья скважины 109,40 м); Hr1 – уровень воды р. Оби у п. Победа (в среднем за 1967–2015 гг. Hr1(a)=72,76 м); Hr2 – уровень воды р. Шегарки у с. Бабарыкино (в среднем за 1967–2005 гг. Hr2(a)=89,91 м); Hws – расчетный уровень грунтовых вод на водоразделе рек Оби и Шегарки (Hws(a)=102,00 м при среднем расстоянии водораздела от р. Оби 23,8 км с отметками 115–120 м); Hf – уровень вод на Баксинском болоте (скважина 104, осоково-тростниковый кочкарник; в среднем за 1961–1969 гг. Hf(a)=140,84 м при средней высоте поверхности болота 141,11 м [37]); Hbr – уровень вод на верховом сосново-сфагново-кустарничковом участке Васюганского болота (в среднем за 1998–2008 гг. Hbr(a)=112,13 м [41])
Fig. 3. Intra-annual changes in deviations of average monthly water levels H(m) from their average long-term values H(a); water levels: Hgr is in the well 89р (Kargala village; sediment age aQIItb; average level for 1965–1995 Hgr(a)=99.39 m; wellhead elevation 109.40 m); Hr1 is the water level of the Ob River near the Pobeda village (average for 1967–2015 Hr1(a)=72.76 m); Hr2 is the water level of the Shegarka River near the Babarykino village (average for 1967–2005 Hr2(a)=89.91 m); Hws is the calculated groundwater level at the watershed of the Ob and Shegarka rivers (Hws(a)=102.00 m with an average distance of the watershed from the Ob River of 23.8 km with elevations of 115–120 m); Hf is the water level in the Baksinskoe swamp (well 104, sedge-reed hummock; on average for 1961–1969 Hf(a) = 140.84 m with an average height of the swamp surface of 141.11 m [37]); Hbr is the water level in the upper pine-sphagnum-shrub area of the Vasyuganskoe swamp (on average for 1998–2008 Hbr(a)=112.13 m [41])
Второй тип территорий характеризуется широким распространением верховых болот, в пределах которых среднегодовой уровень подземных вод приближается к нижней части торфяной залежи [31], но непосредственный обмен между подземными и болотными водами обычно сильно затруднен (рис. 4). Маловероятно и затопление верховых болот речными водами, поскольку в этом случае затрудняются условия функционирования олиготрофной болотной растительности [9, 16, 17, 24]. Однако низинные участки болот могут затапливаться или подтапливаться (рис. 5).
Рис. 4. Профиль AP–OP (рис. 1, b) и уровни подземных вод в голоцене: Hs – поверхность водосбора или дна рек; Hr – современный среднемноголетний уровень речных вод; Hgr – современный среднемноголетний уровень воды в скважине 63р в с. Мельниково; Hgr(t0) – расчетный среднегодовой уровень подземных вод в среднем за 1967–2005 гг.; Hgr(t1) – расчетный уровень подземных вод при условии, что все болота низинного типа, а их площадь в 1,7 раз больше, чем в настоящее время (ориентировочно 1,5…2,0 тыс. лет назад); Hgr(t2) – расчетный уровень подземных вод при условии, что все болота низинного типа с глубиной не более 0,3 м, а их площадь в 2 раза меньше, чем в настоящее время (ориентировочно 4 тыс. лет назад)
Fig. 4. AP–OP profile (Fig. 1, b) and groundwater levels in the Holocene: Hs is the surface of the catchment area or river bottom; Hr is the current average long-term river water level; Hgr is the current average long-term water level in the well 63p in the Melnikovo village; Hgr(t0) is the estimated average annual groundwater level on average for 1967–2005; Hgr(t1) is the calculated groundwater level, provided that all swamps are of lowland type, and their area is 1.7 times larger than at present (approximately 1.5...2.0 thousand years ago); Hgr(t2) is the calculated groundwater level, provided that all swamps are of lowland type with a depth of no more than 0.3 m, and their area is 2 times less than at present (approximately 4 thousand years ago)
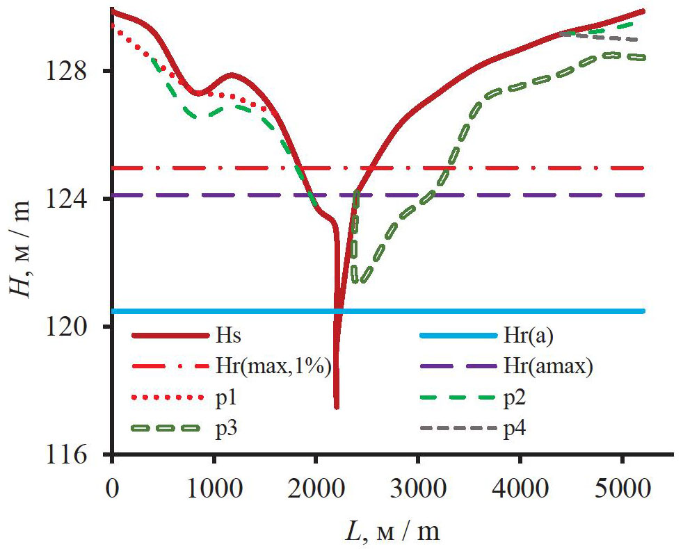
Рис. 5. Поперечный профиль долины р. Бакчар в 87 км от истока; Hs – высотная отметка поверхности водосбора или дна реки; Hr(a), Hr(max,1 %), Hr(amax) – средний годовой, максимальный с обеспеченностью 1 % и средний максимальный уровни воды в р. Бакчар; p – высотная отметка нижней поверхности слоя торфяной залежи с преобладанием торфов верхового сфагново-мочажинного (p1) и низинных осокового (p2), травяного (p3) и березового (p4)
Fig. 5. Cross profile of the Bakchar river valley is 87 km from the source; Hs is the elevation of the surface of the catchment area or river bottom; Hr(a), Hr(max, 1%), Hr(amax) are the average annual, maximum with a probability of 1% and average maximum water levels in the Bakchar river; p is the elevation of the lower surface of the peat layer with a predominance of high-moor sphagnum-hollow peats (p1) and lowland sedge (p2), grass (p3) and birch (p4) peats
Предполагаемый механизм ухудшения водообмена между первоначальным низинным болотом и подземными водоносными горизонтами (в результате чего и начинается олиготрофизация болота) связан с сочетанием ряда условий, ключевыми среди которых являются следующие:
1)в торфяной залежи формируются два основных геохимических и механических барьера – вверху торфяной залежи, в районе границы деятельного и инертного горизонтов, и внизу, на границе с минеральными грунтами; соответственно, в верхней части торфяной залежи накапливаются гидроксиды железа, образующие достаточно крупные частицы, на поверхности которых соосаждаются соединения ряда химических элементов; в нижней части торфяной залежи при активной деятельности микрофлоры формируется восстановительная обстановка и увеличивается присутствие сульфидов [25, 26];
2)в долинах крупных рек вследствие разгрузки напорных подземных вод и существенных колебаний уровней речных вод происходит механический вынос частиц грунтов из отложений на нижней границе болота [27, 46], что предотвращает ухудшение фильтрационных свойств грунтов; соответственно, водообмен между болотом и подземными водоносными горизонтами и в целом условия водно-минерального питания болотной растительности сохраняются, что поддерживает неизменность (низинного) типа торфяной залежи; 3) в долинах малых рек и, особенно, на их водоразделах ухудшение фильтрационных свойств отложений на нижней границе болота может протекать более интенсивно, чем фильтрационные деформации; соответственно, на этих участках изменяются условия водно-минерального питания болотной растительности, а через определенное время формируются переходные и верховые торфа вплоть до смены типа торфяной залежи с низинного на верховой. При этом определенное влияние оказывает и возможность пространственно-временного перераспределения токсичных (для болотной растительности) продуктов трансформации органических веществ согласно схеме, предложенной в [24].
В целом на территориях второго типа происходит ухудшение инфильтрационного питания подземных вод, увеличение их среднегодовых уровней и уменьшение амплитуды внутригодовых изменений. При этом верховые болота фактически соответствуют условно бессточной части водосборов, что приводит к снижению подземной составляющей Qgr(a) среднегодовых расходов воды малых и средних рек. Так, для рек Шегарки, Иксы, Бакчар, Тетеренки, Галки, Андармы получена обратная зависимость от доли верховых болот в суммарной площади водосбора fhm: ; Qgr(a) в м3/с, а fhm в %; квадрат корреляционного отношения R2=0,96; коэффициент корреляции между Qgr(a) и fhm: r= –0,68±0,20. Статистически значимая зависимость от доли низинных болот flm (%) не отмечена, но зато выявлена обратная связь между величиной flm и средним отношением инфильтрации к коэффициенту фильтрации Inf/Kf: ; R2=0,73; r= –0,67±0,22.
С учетом последней зависимости, материалов оценки распределения по территории водосбора р. Чаи разных типов торфяной залежи и возраста отложений [1–3, 8–10, 34, 40, 43] с использованием уравнений (1)–(3) было выполнено моделирование уровней грунтовых вод в голоцене для условий распространения преимущественно низинных болот (2,0…1,5 тыс. лет назад) и начальной стадии (массовое распространение болот с толщиной торфяной залежи 0,3 м и более примерно 4 тыс. лет назад) заболачивания [31]. В результате показано, что среднегодовые значения уровней грунтовых вод были заметно ниже, чем сейчас (рис. 4). Но при этом, по сравнению с современными значениями для территорий с незначительной заболоченностью (рис. 3), наблюдалась и меньшая амплитуда их внутригодовых изменений. Кроме того, с высокой вероятностью высотные отметки дна водотоков в начальный период заболачивания были ниже, чем сейчас (рис. 4), что указывает на тесную связь взаимно направленных аккумуляционных и эрозионных процессов.
На втором этапе исследования было проведено обобщение данных о химическом составе речных, подземных и болотных вод, полученных совместно с рядом сотрудников ТГУ, ТПУ и СРЦ ФГБУ «Гидроспецгеология», а также опубликованных работ других авторов [29, 32, 33, 36, 39, 57, 58], оценка поступления в русловую сеть подземных вод из водоносных отложений четвертичного и палеогенового возрастов, а также проверка на однородность рядов гидрогеохимических наблюдений за состоянием подземных и болотных вод в районе расположения Васюганского, Обского и Тимирязевского болот (табл. 1, 2).
Таблица 1. Среднемноголетняя гидрогеохимическая характеристика речных, подземных и болотных вод в таежной зоне р. Оби (по [33] с дополнением автора по болотным водам)
Table 1. Average long-term hydrogeochemical characteristics of river, groundwater and swamp waters in the taiga zone of the Ob River (according to [33] with the author’s addition on swamp waters)
Объект/Object | S, мг/дм3 mg/dm3 | PO, мгO/дм3 mgO/dm3 | Тип воды Water type |
Средняя тайга/Middle taiga | |||
р. Обь у с. Александровское Ob at Alexandrovskoe (Lq=1820 км/km) | 154,4±8,4 | 9,0±0,8 | CIICa |
р. Обь у с. Прохоркино Ob at Prokhorkino (Lq=1626 км/km) | 170,5±10,7 | 7,3±0,7 | CIICa |
Южная тайга/Southern taiga | |||
Подземные воды (возраст отложений: Q) Ground waters (age of deposits: Q) | 257,6±6,6 | 4,5±0,2 | CICa |
Подземные воды (возраст отложений: P) Ground waters (age of deposits: P) | 462,2±10,5 | 6,3±0,3 | CICa |
Воды низинных болот* Waters of low-moor swamps* | 293,5±33,9 | 61,6±8,9 | CIIICa |
Воды переходных болот Waters of transitional-moor swamps* | 63,7±11,0 | 82,2±6,8 | CIIICa |
Воды верховых болот Waters of high-moor swamps* | 36,2±4,9 | 84,3±4,7 | CIIICa |
Притоки Средней Оби Tributaries of the Middle Ob river | 220,4±6,9 | 25,0±1,0 | CIICa |
р. Обь у г. Колпашево Ob at Kolpashevo (Lq=1228 км/km) | 180,0±6,1 | 4,1±0,3 | CIICa |
Подтайга, лесостепь, горные районы Subtaiga, forest-steppe, mountainous areas | |||
р. Обь у с. Победа Ob at Pobeda (Lq=928 км/km) | 218,2±13,9 | 4,8±1,1 | CICa |
Примечание: Lq – расстояние от истока реки до створа; S – сумма главных ионов; PO – перманганатная окисляемость; тип воды – классификация по О.А. Алекину; *болота в таежной зоне в целом.
Note: Lq is the distance from the river source to the site; S is the sum of the main ions; PO is the permanganate oxidation; type of water by classification according to O.A. Alekin; *swamps in the taiga zone in general.
Таблица 2. Среднемноголетние значения суммы главных ионов S и результаты проверки на однородность рядов гидрогеохимических наблюдений по среднему (критерий Стьюдента t) и дисперсии (критерий Фишера F) [29, 46]
Table 2. Long-term average values of the sum of the main ions S and results of testing for homogeneity of series of hydrogeochemical observations by mean (Student's t-test) and dispersion (Fisher F-test) [29, 46]
Болотные воды Swamp waters | Подземные воды, возраст отложений, S, мг/дм3 Groundwater, age of sediments, S, mg/dm3 | ||||||||
Участок Section | S, мг/дм3 mg/dm3 | Q | P | K | PZ | ||||
t/t5 | F/F5 | t/t5 | F/F5 | t/t5 | F/F5 | t/t5 | F/F5 | ||
Васюганское болото/Vasyuganskoe swamp | 350,5±11,2 | 637,6±23,5 | 878,3±31,2 | – | |||||
Верховой грядово-мочажинный комплекс High-moor ridge-hollow complex | 32,1±9,6 | 5,20 | 7,16 | 10,31 | 3,42 | 8,65 | 39,34 | – | – |
Верховой «рям»/High-moor «ryam» | 30,6±5,8 | 8,12 | 8,02 | 15,73 | 3,83 | 13,58 | 44,08 | – | – |
Переходный/Transition-moor | 68,1±22,9 | 5,04 | 0,95 | 8,45 | 0,46 | 8,93 | 5,24 | – | – |
Низинный/Low-moor | 153,7±77,1 | 1,78 | 0,30 | 3,76 | 0,38 | 4,03 | 1,84 | – | – |
Тимирязевское болото/Timiryazevskoe swamp | 474,2±25,0 | 484,4±18,6 | 750,2+55,8 | 463,7±34,3 | |||||
Переходный/Transition-moor | 36,8±9,9 | 4,86 | 8,30 | 5,78 | 7,21 | 2,95 | 74,58 | 5,13 | 3,31 |
Обское болото/Obskoe fen | 432,8±58,3 | 726,8±306,4 | 2540,9±27,3 | – | – | ||||
Низинный загрязненный/Low-moor contaminated | 1153,7±70,2 | 2,20 | 2,44 | 0,61 | 9,02 | 4,24 | 11,17 | – | – |
Низинный фоновый/Low-moor background | 578,6±36,4 | 0,91 | 0,49 | 0,19 | 40,22 | 12,23 | 2,25 | – | – |
Примечание: полужирным шрифтом выделены случаи нарушения однородности при уровне значимости 5 %.
Note: cases of violation of homogeneity at a significance level of 5% are highlighted in bold.
В результате установлено, что доля подземного питания рек Шегарки, Чаи и ее притоков в среднем составляет около 16 % от суммарного речного стока. Минимальный вклад подземного питания характерен для р. Иксы в створе с. Плотниково с наибольшей (среди изученных рек) заболоченностью водосбора, максимальный (29 %) – для р. Чаи у с. Подгорное. Примерно такая же, за некоторым исключением, тенденция характерна и для притока подземных вод из отложений палеогена: среднее для изученных рек – 53,5 % от подземного питания; минимум (20 %) для р. Иксы у с. Плотниково; максимум – 90 % для р. Бакчар у п. Горелый (участок нижнего течения р. Бакчар; в настоящее время – с. Гореловка) и 67 % для р. Чаи у с. Подгорное.
Поступление грунтовых вод из четвертичных отложений в среднем составляет 46,5 %. В целом доля подземного питания в суммарном речном стоке (в %) увеличивается с площадью водосбора (коэффициент корреляции r=0,87±0,11) и глубиной вреза русловой сети. При этом возрастает и приток (и в абсолютном (м3/с), и в относительном (%) выражении) напорных подземных вод из отложений палеогенового возраста (r=0,99±0,01). Зависимость между площадью водосбора и поступлением грунтовых вод более сложная, что, видимо, связано с указанным выше влиянием верховых болот.
Анализ имеющейся информации также показал, что воды низинных долинных болот и грунтовые воды (четвертичные отложения) с уровнем значимости 5 % статистически неразличимы по сумме главных ионов [29, 32, 46], что подтверждает приведенные выше выводы о существенном взаимовлиянии этих вод (табл. 2). Еще одним подтверждением являются материалы изучения изменения состава водных вытяжек из торфов в пяти скважинах на «фоновом» участке Обского болота у с. Нащеково в Томской области, свидетельствующие о периодическом появлении в торфяной залежи водных линз с повышенной минерализацией, сопоставимой с минерализацией подземных вод палеогеновых отложений у с. Нащеково [46].
В целом для изученной территории отмечено преобладание процессов растворения и выщелачивания горных пород. Интенсивность взаимодействия подземных и поверхностных вод в таежной зоне Западной Сибири минимальна в зоне распространения верховых болот и максимальна в пределах заболоченных долин больших рек. В долинах притоков Средней Оби на участках их среднего течения обычно наблюдается некоторое соответствие нисходящего и подпорного режимов взаимодействия речных и подземных вод, а в верхнем и нижнем течении – даже некоторое преобладание последнего (подпорного). В первом случае (на участках верхнего течения малых рек) долины часто слабо выражены, приток в русловую сеть представляет собой смесь слабо различимых поверхностных и подземных вод, а во втором (на участках нижнего течения средних рек) увеличивается врез и общая мощность аллювиальных отложений [32].
Обсуждение результатов исследования
На третьем, заключительном, этапе исследования проведено обобщение всех полученных результатов и их сопоставление с материалами полевых работ, что позволило сформулировать следующую концепцию формирования гидрографической сети и заболачивания южной и центральной частей Западно-Сибирской равнины:
1) начальный этап заболачивания примерно соответствует спаду водного стока на фоне широкого распространения многолетнемерзлых пород на Западно-Сибирской равнине и усиленной деградации оледенения Алтая вплоть до образования торфяных болот с мощностью залежи 0,3 м и более, примерно 6…4 тыс. лет назад (в разных частях указанной территории); в течение этого периода происходил сперва интенсивный размыв русел и поверхности будущих водосборов, а затем широкое распространение таких типов руслового процесса, как свободное и незавершенное меандрирование (на малых и средних реках), пойменная и русловая многогорукавность (на больших реках), после чего последовала некоторая стабилизация водного стока (на фоне его спада), русловых процессов с учетом залесения водосборов и эвтрофикации многочисленных старичных водоемов; наиболее характерным примером такой обстановки является состояние водосборов на плато Укок в Горном Алтае (рис. 6.I); водно-болотные системы севера Западной Сибири в этом случае соответствуют, скорее всего, одному из возможных будущих сценариев их развития, но не являются достоверной иллюстрацией прошлого, поскольку на плато Укок наблюдается заболачивание речных долин в настоящее время (рис. 6.I), а в зоне тундры и лесотундры севера западной Сибири – преимущественно унаследованные от прошлого формы – полигональные и бугристые болота, полностью или частично сформировавшиеся в более теплые периоды [1–3, 5]; при этом необходимо отметить, что, на наш взгляд, необходимым условием образования низинных болот на основе старичных водоемов является существенно неоднородное внутригодовое распределение водного стока, способствующее накоплению влаги в долине и последующему зарастанию последней, в результате чего распространяется болотная растительность; в свою очередь, это способствует увеличению влажности почвогрунтов и ее поддержанию на достаточно высоком уровне большую часть года; среднемноголетняя температура приземных слоев атмосферного воздуха примерно в диапазоне от минус 5…6 до минус 1 °С, что обеспечивает максимальный прирост торфяной залежи в условиях, благоприятных для распространения болотной растительности, но недостаточных для полной минерализации растительных остатков [26];
Рис. 6. Типовые гидрографы рек и примеры видов речных и болотных систем на разных этапах болотного процесса: I – начальный этап формирования низинных болот на фоне интенсивных русловых процессов; II – широкое распространение низинных болот; III – широкое распространение верховых болот, формирование вторичной гидрографической сети на болотах; a) гидрограф р. Ак-Алаха у п. Бертек; b) вид долины р. Ак-Алаха на плато Укок, участок свободного и незавершенного меандрирования; c) участок заболоченного лога, который примыкает к р. Аргамджи; d) гидрограф р. Шегарки у с. Бабарыкино; e) вид заболоченной долины притока протоки Карги; f) участок низинного Обского болота у с. Нащеково; g) гидрограф р. Ключ у с. Полынянка; h) вид заболоченной долины притока р. Парабель; i) грядово-мочажинно-озерковый комплекс (верховое болото) в междуречье рек Васюган и Парабель; Y – слой стока, в том числе: Ysum – слой суммарного стока реки; Ygr – слой стока подземной составляющей по формуле (5); фото О.Г. Савичева
Fig. 6. Typical river hydrographs and examples of types of river and swamp systems at different stages of swamp process: I – initial formation of lowland swamps against the background of intense channel processes; II – widespread occurrence of lowland swamps; III – wide distribution of raised bogs, formation of a secondary hydrographic network in swamps; a) hydrograph of the Ak-Alakha river at Bertek; b) view of the Ak-Alakha river valley on the Ukok plateau, an area of free and incomplete meandering; c) swampy ravine area adjacent to the Argamdzhi river; d) hydrograph of the Shegarka river at Babarykino; e) view of the swampy valley of the tributary of the Karga channel; f) section of the low-lying Obskoe swamp at Nashchekovo; g) hydrograph of the Klyuch river at Polynyanka; h) view of the swampy valley of the tributary of the Parabel river (nameless tributary – the Parabel river – the Ob river); i) ridge-hollow-lake complex (raised bog) in the interfluve of the Vasyugan and Parabel rivers; Y – runoff layer, including: Ysum is the layer of total river flow; Ygr is the drainage layer of the underground component according to the formula (5); photo by O.G. Savichev
2) на этапе повсеместного преобладания низинных болот (от 6…4 до 3…1,5 тыс. лет назад) речной сток уменьшился вследствие заметного сокращения стока ледников Алтая, но сохранилась его существенная внутригодовая изменчивость, способствующая дальнейшему заболачиванию речных долин и водоемов на водосборах рек (рис. 6.II); вертикальные и горизонтальные деформации речных русел заметно уменьшились; среднегодовые значения уровней подземных вод ниже, чем в настоящее время, но амплитуда их изменения выше, вследствие чего подземные воды (грунтовые безнапорные и слабонапорные – на водоразделах и в долинах малых и средних рек, артезианские напорные – в долинах средних и больших рек) могут выходить на поверхность; начинается распространение переходных и верховых болот, пока преимущественно в виде «островов», которые наблюдаются и в настоящее время на территории Новосибирской области [3, 59];
3)примерно 3…1,5 тыс. лет назад началось широкое распространение верховых болот (рис. 6.III) – как путем олиготрофизации торфяных залежей (при предварительном ухудшении фильтрационных свойств отложений на нижней границе болот, сокращении водообмена между болотом и подземными водоносными горизонтами и изменении условий водно-минерального питания болотной растительности), так и «наползанием» верховоых болот на суходолы; механизм такого «наползания», описанный в общих чертах в [26, 31], заключается в подъеме уровней грунтовых вод на водоразделах и накоплении избыточной влаги на границе болотных и лесных экосистем вследствие различий в водопропускной способности микроландшафтов [60]; на водоразделах формируются «рямы» (сосново-сфагново-кустарничковые верховые болота) и (верховые) грядово-мочажинные и грядово-мочажинно-озерковые комплексы, долины ряда малых рек фактически погребены болотами (рис. 6.III); на водоразделах формируется вторичная русловая сеть, причем в ряде случаев на месте водоразделов первичной сети [26]; взаимодействие болотных и подземных вод в основном приурочено к речным долинам, влияние верховых болот на речной сток сходно с влиянием перемерзания в регионах с холодным климатом и пересыхания – в регионах с аридным теплым климатом.
В каком направлении возможна дальнейшая эволюция гидрографической сети Западно-Сибирской равнины? Наиболее вероятных сценариев, на наш взгляд, три: 1) условная стабилизация на фоне современных значений нормы и внутригодовой изменчивости температуры и влажности атмосферного воздуха, атмосферных осадков при дальнейшем постепенном расширении площади верховых болот (рис. 6.III); 2) потепление климата, сопровождающееся волнами лесных (с учетом дискретного характера изменения растительного покрова при общей тенденции смещения лесной зоны на север) и торфяных пожаров; суммарный речной сток уменьшается, но возрастает его внутригодовая изменчивость, а подземная составляющая уменьшается; в речных долинах в долгосрочной перспективе распространены низинные болота, вода из которых поступает в речную сеть и ухудшает качество речных вод (рис. 7.I); 3) похолодание климата в отдаленной перспективе, сопровождающееся распространением многолетней мерзлоты, бугристых и полигональных болот; речной сток несколько увеличивается за счет снижения испарения и инфильтрации (рис. 7.II). Указанные варианты основаны на анализе фактических гидрографов в разных природных зонах, что не исключает ни другие сценарии, ни актуальность исследований в части обоснования применимости принципа актуализма. В любом случае очевидна необходимость дискуссии на основе анализа результатов применения различных подходов к реконструкции климата и болотных процессов в Западной Сибири.
Рис. 7. Типовые гидрографы рек на разных этапах дальнейшего развития болотного процесса: I – потепление с обсыханием болот, их деградацией на водоразделах и сохранением в долинах рек; II – похолодание с формированием (усилением) зоны многолетней мерзлоты; типовые гидрограф: a) р. Каргат – с. Гавриловское; b) р. Омь – с. Крещенка; c) р. Щучья – п. Щучье; d) р. Советская речка – п. Советская речка; остальные обозначения те же, что и на рис. 5
Fig. 7. Typical river hydrographs at different stages of further development of swamp process: I – warming with drying out of swamps, their degradation in watersheds and preservation in river valleys; II – cooling with the formation (intensification) of a permafrost zone; typical hydrograph: a) the Kargat river at Gavrilovskoe; b) the Om river at Kretchenka; c) the Shchuchya river at Shchuchye; d) the Sovetskaya Rechka river at Sovetskaya Rechka; other designations are the same as in Fig. 5
Заключение
Возникновение и эволюция болотных экосистем в таежной зоне Западной Сибири в границах бассейна р. Оби представляет собой комплекс эрозионно-аккумулятивных процессов, развитие которого до современного периода проходило в три стадии:
1) от начала интенсивной деградации оледенения до 4…6 тыс. лет назад (на рассматриваемой территории в водосборе р. Чаи – примерно 4 тыс. лет назад) – трансформация первичной гидрографической сети примерно к современному виду и распространение торфяных болот с мощностью торфяной залежи 0,3 м и выше; режим подземных вод близок к режиму подземных вод криолитозоны на севере современной Западной Сибири;
2) от 4…6 тыс. лет назад до 1,5…3 тыс. лет назад (на рассматриваемой территории в водосборе р. Чаи – примерно 1,5 тыс. лет назад) – широкомасштабное распространение низинных болот и деградация части первичной речной сети; уровни подземных вод на водоразделах рек в целом ниже, чем в настоящее время, но амплитуда их колебаний высока, а значительная часть водосборов в половодье и паводки затоплена, а в межень – подтоплена;
3) от 1,5…3 тыс. лет назад – деградация значительной части первичной речной сети, широкое распространение верховых болот, формирование на болотах вторичной гидрографической сети; на водоразделах происходит подъем уровней подземных вод, но амплитуда их колебаний снижается, а водообмен с болотами существенно сокращается; в долинах средних и больших рек водообмен между поверхностными и подземными водами наиболее интенсивный, что обусловливает поступление в речные и грунтовые воды значительного количества органических веществ и продуктов их трансформации; кроме того, на территориях широкого распространения верховых болот в среднетаежной подзоне несколько сокращается поступление минеральных солей, что сказывается на ионном стоке р. Оби.
В дальнейшем в пределах южно- и среднетаежной подзон в Обском бассейне (на территории Томской, Новосибирской и Омской областей) возможны ситуации, аналогичные: a) при сохранении природных условий в перспективе ближайших десятилетий – указанной выше третьей стадии; b) при существенном повышении температуры атмосферного воздуха и уменьшении атмосферных осадков – ситуации, наблюдаемой в настоящее время в Новосибирской и Омской областях, – низинные болота в речных долинах, достаточно высокая вероятность затопления и подтопления приречных территорий и существенное сокращение водных ресурсов (и подземных, и поверхностных вод) в межень; c) при значительном похолодании – ситуации, наблюдаемой в настоящее время на территории Ямало-Ненецкого автономного округа.
About the authors
Oleg G. Savichev
National Research Tomsk Polytechnic University
Author for correspondence.
Email: OSavichev@mail.ru
ORCID iD: 0000-0002-9561-953X
Dr. Sc., Professor
Russian Federation, TomskReferences
- Atlas of peat resources of the USSR. Moscow, Main Directorate of Geodesy and Cartography under the Council of Ministers of the USSR, 1968. 96 p. (In Russ.)
- Map of peat deposits in Western Siberia. Scale 1:1000000: explanatory note. Ed. by R.G. Matukhin. Novosibirsk, SB RAS Publ. house, Branch «Geo», 2000. 33 p. (In Russ.)
- Liss O.L., Abramova L.I., Avetov N.A. Bog of Western Siberia and their conservation value. Tula, Grif i K Publ., 2001. 584 p. (In Russ.)
- Minayeva T., Bleuten W., Sirin A., Lapshina E.D. Eurasian mires of the Southern Taiga Belt: modern features and response to Holocene palaeoclimate. Wetlands and Natural Resource Management. Ecological Studies. Eds. J.T.A. Verhoeven, B. Beltman, R. Bobbink, D.F. Whigham. Berlin Heidelberg, Springer-Verlag, 2006. Vol. 190, pp. 315–341.
- Hydrology of wetlands in the permafrost zone of Western Siberia. Ed. by S.M. Novikov. St. Petersburg, VVM Publ., 2009. 536 p. (In Russ.)
- Syso A.I., Peregon A.M. The features of peat-accumulation process at the Southern slope of the Great Vasyugan bog. Contemporary Problems of Ecology, 2009, vol. 2, no. 2, pp. 124–127. doi: 10.1134/S1995425509020064.
- Chlachula J. Climate history and early peopling of Siberia, earth and environmental sciences. Ed. by Dr. Imran Ahmad Dar. Rijeka, Croatia, InTech Europe, University Campus, 2011. pp. 495–538. Available at: http://www.intechopen.com/books/earth-and-environmental-sciences/climate-history-and-early-peopling-ofsiberi (accessed 25 December 2023).
- Inisheva L.I., Zemtsov A.A., Novikov S.M. Vasyugan mire: natural conditions, structure and functioning. Tomsk, Tomsk State Pedagogical University, 2011. 163 p.
- Berezin A.E., Bazanov V.A., Skugarev A.A., Rybina T.A., Parshina N.V. Great Vasyugan mire: landscape structure and peat deposit structure features. International Journal of Environmental Studies, 2014, vol. 71, no. 5, pp. 618-623. doi: 10.1080/00207233.2014.942537
- Inisheva L.I., Kira I., Inishev N.G. Waterlogging in the Vasyugan swamp. Siberian Environmental Journal, 2017, vol. 24, no. 2, pp. 119–126. doi: 10.15372/SEJ20170202.
- Hu S., Niu Zh., Chen Y., Li L., Zhang H. Global wetlands: potential distribution, wetland loss, and status. Science of the Total Environment, 2017, vol. 586, pp. 319–327. doi: 10.1016/j.scitotenv.2017.02.001.
- Preis Yu.I. Cryogenesis of the swamp-forming process on the territory of the Great Vasyugan swamp. Big Vasyugan bog. Current status and development. Tomsk, Institute of Atmospheric Optics SB RAS Publ., 2002. pp. 45–63. (In Russ.)
- Grootjans A.P., Adema E.B., Bleuten W., Joosten H., Madaras M., Janáková M. Hydrological landscape settings of base-rich fen mires and fen meadows: an overview. Applied Vegetation Science, 2006, vol. 9, pp. 175–184.
- Kabanov M.V. Some patterns of climate and ecosystem changes in Siberia. Zhurnal Sibirskogo federalnogo universiteta. Seriya: Biologiya, 2008, vol. 1, no. 4, pp. 312–322. (In Russ.)
- Bradshaw R.H.M., Sykes M.T. Ecosystem Dynamics. From the past to the future. Chichester, West Sussex, UK, John Wiley & Sons, Ltd., 2014. 321 p.
- Hydrometeorological regime and water balance of raised bogs in the North-West of Russia (on the example of the Lammin-Suo swamp). Eds. S.M. Novikov, V.I. Batueva. St. Petersburg, Svoe izdatelstvo Publ., 2019. 448 p. (In Russ.)
- Batuyev V.I., Kalyuzhnyy I.L. Analysis of factors determining long-term changes in runoff from oligotrophic swamps. Vodnoe khozyaystvo Rossii: problemy, tekhnologii, upravlenie, 2020, no. 6, pp. 28–46. doi: 10.35567/1999-4508-2020-6-2. (In Russ.)
- Ran Y., Jorgenson M.T., Li X., Jin H., Wu T., Li R., Cheng G. Biophysical permafrost map indicates ecosystem processes dominate permafrost stability in the Northern Hemisphere. Environmental Research. Letters, 2021, vol. 16, no. 095010, pp. 1–9. doi: 10.1088/1748-9326/ac20f3.
- Feurdean A., Pfeiffer M., Butiseaca G., Niamir A., Diaconu A.C., Tantau I., Gałka M., Hutchinson S.M., Gorina N., Tonkov S., Zhang H., Kirpotin S. Holocene wildfire regimes in Western Siberia: interaction between peatland moisture conditions and the composition of plant functional types. Climate of the Past, 2022, vol. 18, no. 6, pp. 1255–1274. doi: 10.5194/cp-18-1255-2022.
- Grogan D.S., Zuidema S., Prusevich A., Wollheim W. M., Glidden S., Lammers R.B. Water balance model (WBM) v.1.0.0: a scalable gridded global hydrologic model with water-tracking functionality. Geoscientific Model Development, 2022, vol. 15, pp. 7287–7323. doi: 10.5194/gmd-15-7287-2022.
- Hu D., Xu M., Kang S., Chen J., Yang C., Yang Q. The effects of discharge changes in Siberian rivers on Arctic sea-ice melting. Remote Sensing, 2023, vol. 15, no. 3477, pp. 1 –21. doi: 10.3390/rs15143477.
- Watanabe T., Matsuyama H., Kuzhevskaia I., Nechepurenko O., Chursin V., Zemtsov V. Long-term trends of extreme climate indexes in the southern part of Siberia in comparison with those of surrounding regions. Atmosphere, 2023, vol. 14, no. 7, p. 1131. doi: 10.3390/atmos14071131.
- Mikhalchuk A., Kharanzhevskaya Yu., Burnashova E., Nekhoda E., Gammerschmidt I., Akerman E., Kirpotin S., Nikitkin V., Khovalyg A., Vorobyev S. Soil water regime, air temperature, and precipitation as the main drivers of the future greenhouse gas emissions from West Siberian peatlands. Water, 2023, vol. 15, no. 17, p. 3056. doi: 10.3390/w15173056.
- Savichev O.G., Mazurov A.K., Semiletov I.P., Bazanov V.A., Guseva N.V., Khvashchevskaya A.A., Nalivayko N.G. Hydrogeochemical conditions for the formation of oligotrophic swamp ecosystems. Izvestiya RAN. Seriya geograficheskaya, 2016, no. 5, pp. 60–69. (In Russ.) doi: 10.15356/0373-2444-2016-5-60-69.
- Savichev O., Soldatova E., Rudmin M., Mazurov A. Geochemical barriers in oligotrophic peat bog (Western Siberia). Applied Geochemistry, 2020, vol. 113, 104519. doi: 10.1016/j.apgeochem.2019.104519.
- Savichev O.G. Hydroecological substantiation of water management decisions. Tomsk, Tomsk Polytechnic University Publ. House, 2021. 167 p. (In Russ.)
- Savichev O.G., Yang Heng. Hydro-geological and hydrological conditions of functioning of the Obskoe and Baksinskoe fens (the southeast of the Western Siberian plain). Bulletin of the Tomsk Polytechnic University. Geo Аssets Engineering, 2021, vol. 332, no. 4, pp. 43–56. (In Russ.) DOI: https://doi.org/10.18799/24131830/2021/4/3147.
- Savichev O., Moiseeva J., Guseva N. Changes in the groundwater levels and regimes in the taiga zone of Western Siberia as a result of global warming. Theoretical and Applied Climatology, 2022, vol. 147 (3–4), pp. 1121–1131. doi: 10.1007/s00704-021-03879-4.
- Savichev O.G., Domarenko V.A., Yang Heng, Peregudina E.V. The comparative analysis of ground and mire waters in the southeast part of the Western Siberia. Razvedka i okhrana nedr, 2022, no. 5, pp. 26–33. (In Russ.) doi: 10.53085/0034-026X_2022_05_26.
- Savichev O.G., Lobur Y.N. Quantitative assessment of relations of river and ground water in the middle Ob basin (Western Siberia). Bulletin of the Tomsk Polytechnic University, Geo Assets Engineering, 2023, vol. 334 (1), pp. 106–115. (In Russ.) doi: 10.18799/24131830/2023/1/3998.
- Savichev O.G. Changes in hydrogeological conditions during bogging in the southeast of the West Siberian plain. Bulletin of the Tomsk Polytechnic University. Geo Аssets Engineering, 2023, vol. 334, no. 10, pp. 187–198. (In Russ.) doi: 10.18799/24131830/2023/10/4379.
- Savichev O.G., Domarenko V.A., Vladimirova O.N., Peregudina E.V., Kenesbaev B.K. Conditions of interaction of natural water within the Bakchar ore close (Western Siberia). Exploration and protection of subsoil, 2023, no. 10, pp. 61–67. (In Russ.) doi: 10.53085/0034-026X_2023_10_61.
- Zemtsov V., Savichev O., Petrova V. The mechanism and regularities of ion runoff formation in the Ob river (Western Siberia) under the Influence of its tributaries and underground feeding. Water, 2023, vol. 15, no. 13, pp. 2413. doi: 10.3390/w15132413.
- Album of photographs of the vegetation cover of peat deposits in the central part of Western Siberia. Moscow, Geoltorfrazvedka Publ., 1973. 83 p. (In Russ.)
- Hydrogeology of the USSR. Vol. 16. The West Siberian Plain (Tyumen, Omsk, Novosibirsk and Tomsk regions). Ed. by V.A. Nudner. Moscow, Nedra Publ., 1970. 368 p. (In Russ.)
- Rasskazov N.M., Udodov P.A., Emelyanova T.Ya., Nazarov A.D., Shamolin V.A. Main hydrogeological and hydrogeochemical features of peat deposits in the central part of the Ob-Irtysh interfluve and some issues of hydrogeochemical studies of bogs. Ground waters of Siberia and the Far East. Eds. I.S. Lomonosov, N.A. Marinov, E.V. Pinneker. Moscow, Nauka Publ., 1971. pp. 229–232. (In Russ.)
- Surface water resources of the USSR. Vol. 15. Altai and Western Siberia. Iss. 2. Middle Ob. Ed. by O.N. Panin. Leningrad, Gidrometeoizdat Publ., 1972. 408 p. (In Russ.)
- Basic hydrological characteristics. Vol. 15. Altai, Western Siberia and Northern Kazakhstan. Iss. 1. Upper and Middle Ob. Leningrad, Gidrometeoizdat Publ., 1979. 488 p. (In Russ.)
- Yermashova N.A. Geochemistry of groundwater in the active water exchange zone of the Tomsk region in connection with solving issues of water supply and protection. Cand. Diss. Abstract. Tomsk, 1998. 44 p. (In Russ.)
- Schipper A.M., Zeefat R., Tanneberger F., Van Zuidam J.P., Hahne W., Schep S.A., Loos S., Bleuten W., Joosten H., Lapshina E.D., Wassen M.J. Vegetation characteristics and eco-hydrological processes in a pristine mire in the Ob River valley (Western Siberia). Plant Ecology, 2007, vol. 193, pp. 131–145. doi: 10.1007/s11258-006-9253-x.
- Kharanzhevskaya Yu.A. Underground drainage of the river basin Chaya (Western Siberia) and its long-term variability. Cand. Diss. Abstract. Tomsk, 2018. 20 p. (In Russ.)
- Moiseeva Yu.A. Changes in the underground runoff of the taiga zone of Western Siberia in the Holocene. Cand. Diss. Abstract. Tomsk, 2018. 22 p. (In Russ.)
- Blyakharchuk T.A., Kurina I.V., Pologova N.N. Late Holocene dynamics of vegetation cover and climate moisture in the southeastern sector of the West Siberian Plain according to palynological and rhizopod studies of peat deposits. Vestnik Tomskogo gosudarstvennogo universiteta. Biologiya, 2019, no. 45, pp. 164–189. (In Russ.) doi: 10.17223/19988591/45/9.
- Condition of the geological environment (subsoil) in the territory of Siberian Federal District in 2021. Informational bulletin. Tomsk, branch «Sibirskiy regionalny tsentr GMSN», FGBU «Gidrospetsgeologiya» Publ., 2022. Vol. 18, 204 p. (In Russ.)
- Kuzevanov K.K. Changes in hydrogeological conditions during the exploitation of groundwater for domestic and drinking purposes in the Tomsk region. Cand. Diss. Abstract. Tomsk, 2022. 23 p. (In Russ.)
- Yang Heng. Features of the interaction of groundwater and swamp waters in humid conditions of temperate and subtropical climates (on the example of objects in Western Siberia, Russia and Eastern China). Cand. Diss. Abstract. Tomsk, 2023. 26 p. (In Russ.)
- Kharanzhevskaya Yu.A. Features of the level regime of the drained area of the northeastern spurs of the Vasyugan swamp. Bulletin of the Tomsk Polytechnic University. Geo Аssets Engineering, 2023, vol. 334, no. 12, pp. 97–108. (In Russ.) doi: 10.18799/24131830/2023/12/4231.
- Weight W.D. Hydrogeology field manual. 2nd ed. USA, The McGraw-Hill Companies, Inc., 2008. 751 p.
- Manual on stream gauging. Vol. I. Fieldwork. WMO. No. 1044. Geneva, Switzerland, World Meteorological Organization, 2010. 252 p.
- SP 482.1325800.2020. Engineering hydrometeorological survey for construction. General regulations for execution of work. Moscow, Standartinform Publ., 2020. 49 p. (In Russ.)
- SP 529.1325800.2023. Determination of the main calculated hydrological characteristics. Determination of the Main Design Hydrological Characteristics. Moscow, Ministry of Construction of the Russian Federation Publ., 2023. 152 p. (In Russ.)
- Kalbus E., Reinstorf F., Schirmer M. Measuring methods for groundwater – surface water interactions: a review. Hydrology and Earth System Sciences, 2006, vol. 10, pp. 873–887, 2006. Available at: www.hydrol-earth-syst-sci.net/10/873/2006 (accessed 25 December 2023).
- Methodological recommendations for determining the estimated hydrological characteristics in the absence of hydrometric observations. St. Petersburg, Nestor-Istoriya Publ., 2009. 193 p. (In Russ.)
- Korn G.A., Korn Th.M. Mathematical handbook for scientists and engineers: definitions, theorems, and formulas for reference and review. US, Courier Corporation, 2013. 1152 p.
- Requirements to production and results of multi-purpose geochemical mapping of scale 1:200000. Ed. by E.K. Bkurenkov. Moscow, IMGRE Publ., 2002. 92 p. (In Russ.)
- SS 19179-73. Land hydrology. Terms and definitions. Moscow, Gosstandart of the USSR Publ., 1988. 47 p. (In Russ.)
- Shvartsev S.L. Geochemistry of fresh groundwater in the main landscape zones of the earth. Geochemistry International, 2008, vol. 46, no. 13, pp. 1285–1398.
- Shiyan L.N., Machekhina K.I., Frantcuzskaia E.O. Groundwater sources in the West Siberian region: Chemical composition, analysis, and water treatment technologies. Cleaner Engineering and Technology, 2022, vol. 7, no. 100441, pp. 1–8. doi: 10.1016/j.clet.2022.100441.
- Leonova G.А., Maltsev А.Е., Preis Yu.I., Miroshnichenko L.V. Biogeochemistry of holocene peatlands in the baraba forest-steppe (southern West Siberia). Applied Geochemistry, 2020, vol. 124, no. 104811, pp. 1–12. doi: 10.1016/j.apgeochem.2020.104811.
- Ivanov K.E. Water exchange in mire landscapes. Leningrad, Gidrometeoizdat Publ., 1975. 280 p. (In Russ.)
Supplementary files








