Regularities of zero charge formation on the surface of clay particles exposed to pressure
- 作者: Seredin V.V.1, Sheina K.V.1, Siteva O.S.1
-
隶属关系:
- Perm State National Research University
- 期: 卷 335, 编号 1 (2024)
- 页面: 102-111
- 栏目: Articles
- URL: https://bakhtiniada.ru/2500-1019/article/view/267040
- DOI: https://doi.org/10.18799/24131830/2024/1/4238
- ID: 267040
如何引用文章
全文:
详细
Relevance. The need to study the effect of high pressure on the change in pH value of the point of zero charge of clay minerals. The point of zero charge is one of the most important characteristics of a diluent. The magnitude of the charge is largely controlled by the pH values of a pore solution. As it is known, clays of different genesis have excellent physical and chemical properties, which directly affects the value of the zero charge point.
Aim. To identify the patterns of formation of the zero charge point of clay particles exposed to pressure.
Objects. Kaolin clay of the Nizhne-Uvelsky deposit of the Chelyabinsk region and bentonite clay of the Zyryanovsky deposit of the Kurgan region.
Methods. Potentiometric titration, determination of the point of zero charge was carried out using the construction of potentiometric titration curves. Microsoft Excel, SigmaPlot, Statistica software was used.
Results. When processing clays by pressure, there is a decrease in the content of aluminum ions (Al3+) in the packages of kaolinite and montmorillonite, the transition of Al3+ ions into the diffuse layer of the clay particle, where aluminum ions bind hydroxyl ions, while the released hydrogen ions increase the acidity of the suspension. Activation by pressure of kaolin and bentonite clays has a multidirectional effect on the change in the ion-exchange capacity of clays and, as a result, on the pH of the point of zero charge on the surface of clay particles. The authors developed statistical models that allow predicting the pH of the zero charge point from clay activation pressure data. Knowledge of the characteristics of the charge on the surface of clay particles makes it possible to explain the mechanism of sorption and other processes.
关键词
全文:
Введение
Для объяснения механизма сорбции веществ различной природы на поверхности глинистых минералов необходима количественная информация о поверхностном заряде. Для улучшения адсорбционных свойств разработаны различные методы активации глины, которые влияют на изменение состава и структуры глин. Наиболее распространенными методами активации глин являются: термообработка [1–4], химическая [5–9], физическая [10–15], механическая [16–20] и комплексная [21, 22]. Несмотря на то, что разработано множество методов обработки глин, не многие используют в своих экспериментах активацию глин давлением. Результаты изученности влияния давления на различные свойства глин можно увидеть в работах [23–25]. При взаимодействии твердой компоненты с поровым раствором протекают обменные процессы, которые формируют величину и вид заряда на поверхности частиц. Глины различных месторождений отличаются физико-химическими свойствами, что непосредственно влияет на величину точки нулевого заряда (ТНЗ). Наиболее детально этими вопросами занимались М.В. Федоров, В.В. Середин, И.В. Лунегов [26], Д.С. Нестеров [27], Gang Yang, Q. Li и др. [28]. Величина и заряд во многом контролируются значениями водородного показателя порового раствора. ТНЗ – одна из важнейших характеристик дилюента. Изучению закономерности формирования ТНЗ на поверхности глин посвящено много работ, таких как [29–32]. Теоретические исследования показали, что вопросы оценки влияния высокого давления на изменения pH ТНЗ изучены недостаточно полно, поэтому была поставлена цель выявить закономерности формирования ТНЗ глинистых частиц, подверженных давлению.
Объект исследования
Объектами исследований являлись каолиновая глина Нижне-Увельского месторождения Челябинской области и бентонитовая глина Зыряновского месторождения Курганской области. Состав исследуемых глин определен результатами рентгеноструктурного анализа. По данным исследований [27], используемые глины имеют следующий состав:
- каолиновая глина состоит из каолинита (76,7 %), монтмориллонита (15,6 %), кварца (7,7 %);
- бентонитовая глина состоит из монтмориллонита (81,1 %), кварца (14,1 %), плагиоклазов (1,9 %), каолинита (0,8 %), гидрослюды (0,8 %), кальцита (0,9 %), калиево-полевых шпатов (0,4 %).
Методика
Для проведения исследования в качестве образцов были выбраны глины Челябинского каолинита и Курганского бентонита. Подготовка образцов проходила в несколько этапов.
На первом этапе глину отмучивают, согласно ГОСТ 3594.9-77, для получения чистой глинистой фракции. Данный метод позволяет разделять измельченные материалы на фракции по крупности, также определять их дисперсный состав [33].
Отмученные образцы глинистой фракции были высушены, перетерты и обработаны высоким давлением по специальной методике [34]. После подготовки образца производят градуировку ph-метра по буферным растворам и производят титрование.
Титрование раствора без глины
Сначала титруют растворы без глины. Для получения кривой титрования в отсутствие адсорбента (глины) отбирали 30 мл 0,1 М раствора KCl и помещали в колбу для титрования, в которую также добавляли 30 мл дистиллированной воды. Далее погружали в раствор электрод (использовался комбинированный стеклянный электрод ЭСК-10601/7) и проводили титрование, во время которого фиксировали:
- значение рН до добавления титранта;
- значение рН после каждого добавления титранта в объеме V=100–1000 мкл;
Титрование проводили до стабилизации рН и фиксировали объем титранта, при котором произошла стабилизация рН.
После каждого добавления титранта в раствор значение рН выводились на экран рН-метра «анион 4100». Время установления каждого записанного значения рН составляло примерно 30 секунд.
Для титрования в кислой области раствор (KCl+H2O) титровали 0,1 М раствором HCl. Раствор титранта добавляли по 0,1 мл (100 мкл) с помощью микродозатора. В щелочной области титрование осуществляли 0,1 М раствором NaOH, который добавляли в аналогичных количествах.
Приготовленный исходный раствор KCl объемом 60 мл разделяли на две части: одну часть титровали кислотой, вторую часть – щелочью.
Титрование глинистых суспензий
В сухие колбы помещали навески глин по 0,6 г, наливали 30 мл 0,1 М раствора KCl и добавляли 30 мл воды, таким образом, общий объем жидкости составил 60 мл.
Колбы, закрытые пробками, помещали в аппарат для встряхивания на протяжении одного часа. После встряхивания суспензии в колбах были оставлены до полного процесса адсорбции на сутки.
Из подготовленной глинистой суспензии отбирали несколько параллельных проб и определяли рН исходной не фильтрованной суспензии. Наличие глины в виде взвеси при измерении рН обеспечивает получение более точных результатов.
В качестве титранта в кислой области использовали раствор 0,1 М HCl, а в щелочной – 0,1 М NaOH. Важно отметить, что соляная кислота и гидроксид натрия также выступали в качестве регулятора рН среды.
Затем добавляли титрант в объеме V=100–1000 мкл, и измеряли рН. Эксперимент повторяли до тех пор, пока значение водородного показателя не стабилизировалось. В этом случае катионный обмен считается равновесным. Исследования проводили для образцов глин, обработанных давлением Р=0–800 МПа. Результаты эксперимента заносили в таблицу.
По данным значений рН в зависимости от объема титранта для каждого давления Р=0–800 МПа строились кривые титрования суспензий в программе SigmaPlot и определяли значение ТНЗ.
Следующим этапом рассчитывают ТНЗ.
Результаты исследования и их обсуждение
Изменение водородного показателя суспензии каолиновой глины
Экспериментальные данные по изменению водородного показателя суспензии каолиновой глины, обработанной давлением, в растворе KCl и дистиллированной воды показали, что при увеличении давления до 150 МПа (класс 1) наблюдается уменьшение величины водородного показателя, с увеличением давления от 200 до 800 МПа (класс 2) рН практически не изменяется.
Уменьшение величины водородного показателя суспензии каолиновой глины обуславливается уменьшением содержания ионов Al3+ в пакетах каолинита, переход ионов Al3+ в диффузный слой глинистой частицы, где ионы Al3+ связывают гидроксильные ионы, а освободившиеся ионы водорода повышают кислотность суспензии.
При добавлении к суспензии каолиновой глины, обработанной давлением, в растворе KCl и дистиллированной воды раствора 0,1 М HCl значение водородного показателя возрастает вместе с увеличением давления, однако при добавлении раствора 0,1 М NaOH закономерность изменения водородного показателя от давления отсутствует.
Изменение водородного показателя суспензии бентонитовой глины
Экспериментальные данные по изменению водородного показателя суспензий бентонитовой глины, обработанной давлением, в растворе KCl и дистиллированной воды показали, что с увеличением давления величина рН практически не изменяется. Добавление к суспензии бентонитовой глины раствора 0,1 М HCl и 0,1 М NaOH также не оказывает существенного влияния на формирование закономерности изменения водородного показателя.
Результаты экспериментальных данных отображены на рис. 1.
Кривые потенциометрического титрования бентонитовой и каолиновой глин при давлениях 0 и 800 МПа приведены на рис. 2.
Из рис. 2 видно, что обработка глин давлением оказывает влияние на объем титранта. Для формирования рН=3 при Р=0 МПа к бентонитовой глине необходимо добавить 1300 мкл HCl, при Р=800 МПа – 2500 мкл HCl. Для достижения величины рН=3 при Р=0 МПа к каолиновой суспензии необходимо добавить 550 мкл HCl, при Р=800 МПа – 2600 мкл HCl. Это объясняется тем, что при выходе ионов Al3+ из кристаллической решетки глинистых минералов при обработке их давлением образуются отрицательно заряженные энергетические центры, которые компенсируются ионами водорода из раствора. При увеличении давления число таких центров увеличивается, значит, и необходимый объем HCl становится больше.
Выход ионов Al3+ из октаэдрического слоя в каолините происходит более активно, чем в бентоните, что обусловлено их кристаллическим строением. В случае каолинита вытеснение ионов алюминия происходит как с поверхности минерала, так и с боковых сколов, в то время как у бентонита вытеснение преимущественно только с боковых сколов.
Влияние давления на изменения рН суспензии при объеме титранта V=3000 мкл HCl приведено на рис. 3.
Рис. 1. Графики зависимости изменения водородного показателя суспензии бентонитовой (а) и каолиновой (б) глин при давлении Р=0–800 МПа
Fig. 1. Dependence of changes in the hydrogen index of a bentonite (a) and kaolin (b) clays suspensions at pressure P=0–800 MPa
Рис. 2. Кривые потенциометрического титрования бентонитовой (а) и каолиновой (б) глин при давлениях 0 и 800 МПа
Fig. 2. Potentiometric titration of bentonite (a) and kaolin (b) clays at pressure of 0 and 800 MPa
Рис. 3. Влияние давления на изменения рН суспензии бентонитовой (а) и каолиновой (б) глин при объеме титранта V=3000 мкл
Fig. 3. Influence of pressure on pH changes of bentonite (a) and kaolin (b) clay suspensions at titrant volume V=3000 mcl
Из рис. 3 видно, что рН суспензии бентонитовой и каолиновой глин, достигнутая добавлением в суспензию 3000 мкл HCl, возрастает с увеличением давления. Таким образом, давление обработки глин оказывает существенное влияние на изменение рН порового раствора.
Оценка ионообменной емкости глин, обработанных давлением
Для оценки процессов ионного обмена между твердой и жидкой компонентами грунта необходимо знать время достижения равновесия катионного и анионного обмена поверхности минералов и порового раствора. Для каолиновой и бентонитовой глин время равновесия составило 24 часа. На основании экспериментальных данных по кривым потенциометрического титрования бентонитовой и каолиновой глин при давлении Р=0–800 МПа рассчитаны их ионообменные емкости QH+/OH– (ммоль/г) по зависимости:
QH+/OH– =C(V–V0)/m,
где С=0,1М – концентрация титранта; V и V0 – объем титранта с ионитом глины и без него, мл; m – навеска глины, г.
Если ионный обмен протекает положительно, то считается, что происходит катионный обмен, в противном случае анионный.
Результаты расчетов ионообменной емкости глин представлены на рис. 4. Из рисунков видно, что давление оказывает большее влияние на анионную емкость, чем на катионную. В каолине эта закономерность выражена более четко, чем в бентонитовой глине.
Минеральный состав также оказывает влияние на ионную емкость глин. Так, катионная емкость в бентонитовой глине составляет QH+/OH–=0,94 ммоль/г при Р=0 МПа и рН=10,5, а в каолине QH+/OH– = =0,56 ммоль/г при Р=0 МПа и рН=10,5. Результаты влияния минерального состава на ионную емкость глин приведены на рис. 4.
Рис. 4. Зависимость ионообменной емкости QH+/OH– бентонитовой (а) и каолиновой (б) глины от pН и давления
Fig. 4. Dependence of the ion exchange capacity of QH+/OH– bentonite (a) and kaolin (b) clay on pH and pressure
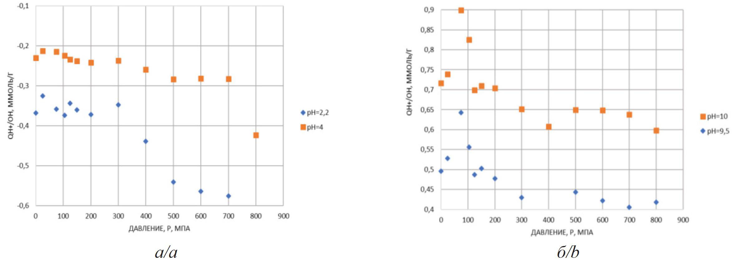
Рис. 5. Зависимость анионообменной емкости QH+/OH– бентонитовой глины от давления при рН=2,2 и рН=4 (а) и зависимость катионообменной емкости QH+/OH– бентонитовой глины от давления при рН=10 и рН=9,5 (б)
Fig. 5. Dependence of the anion exchange capacity QH+/OH– of bentonite clay on pressure at pH=2,2 and pH=4 (a) and dependence of the cation exchange capacity QH+/OH– of bentonite clay on pressure at pH=10 and pH=9,5 (b)
Из рис. 5 видно, что при увеличении давления до Р=75–125 МПа катионная емкость бентонитовой глины возрастает, в то время как анионная, наоборот, снижается. При увеличении давления до Р=800 МПа наблюдается обратная закономерность, катионообменная емкость снижается, анионообменная возрастает.
Определение водородного показателя рН ТНЗ поверхности глинистых минералов определяется путем снятия отсчета в точке пересечения кривой с осью абсцисс на графике ионообменной емкости. Результаты определений рН ТНЗ приведены в таблице и на рис. 6.
Из рис. 6 видно, что рН ТНЗ бентонитовой глины снижается при давлениях до 150–200 МПа (класс 1) и возрастает при Р=200–800 МПа (класс 2). рН ТНЗ каолиновой глины снижается как при давлениях до Р=150–200 МПа (класс 1), так и при Р=200–800 МПа (класс 2). Обоснование граничного значения Р=150–200 МПа приведено в работе [35].
Таблица. Расчетные значения точки нулевого заряда глин
Table. Calculated values of the point of zero charge of clays
Давление, МПа Pressure, MPa | рН точки нулевого заряда рН of the point of zero charge | |
Бентонитовая глина Bentonite clay | Каолиновая глина Kaolin clay | |
0 | 8,05 | 7,06 |
25 | 8,03 | 7,25 |
75 | 7,94 | 7,14 |
105 | 7,91 | 6,95 |
125 | 7,88 | 6,66 |
150 | 7,95 | 6,88 |
200 | 7,92 | 6,65 |
300 | 7,85 | 6,33 |
400 | 7,92 | 6,21 |
500 | 7,86 | 6,09 |
600 | 8,00 | 6,00 |
700 | 7,99 | 6,14 |
800 | 8,04 | 6,12 |
Рис. 6. Влияние давления активации бентонитовой (а) и каолиновой (б) глины на pH ТНЗ
Fig. 6. Influence of the activation pressure of bentonite (a) and kaolin (b) clay on the pH of the point of zero charge
Для разработки математических моделей использованы данные по двум классам. Результаты расчетов прогноза водородного показателя рН ТНЗ, при котором заряд на поверхности глинистой частицы равен нулю, в зависимости от давления (Р) активации глин по выделенным классам:
- Класс 1 рН ТНЗ=8,0376–0,001*Р; r=–0,8455; p=0,0339;
- Класс 2 рН ТНЗ=7,8114+0,0003*Р; r=0,7679; p=0,0438.
Для каолиновой глины (рис. 6) изменение рН ТНЗ от давления подчиняется иной закономерности. С увеличением давления до 600 МПа наблюдается закономерное уменьшение водородного показателя рН ТНЗ с 7,25 до 6,00.
Уравнения связи имеют следующий вид:
- Класс 1 рН ТНЗ=7,198–0,0026*Р; r=–0,7267; p=0,1018;
- Класс 2 рН ТНЗ=6,6093–0,0008*Р; r=–0,7802; p=0,0385.
Таким образом, активация давлением каолиновой и бентонитовой глин разнонаправленно влияет на изменение ионообменной емкости глин и, как следствие, на водородный показатель точки нулевого заряда поверхности глинистых частиц. Предложенные математические модели позволяют прогнозировать рН ТНЗ по данным давления активации глин.
Формирование нулевого заряда на поверхности глинистых частиц, обработанных давлением
Водородный показатель ТНЗ – это значение рН, при котором общий чистый заряд поверхности частицы равен нулю. Значение pH ТНЗ является важной электрохимической характеристикой. Если значение рН порового раствора будет превышать значение pH ТНЗ (рНпор>рН ТНЗ), то минерал будет способен к поглощению, в основном катионов. Если значение рHпор<рH ТНЗ, то минерал поглощает преимущественно анионы.
Глинистые минералы способны менять знак потенциала на боковых сколах при изменении рН среды. Так, в кислой среде поверхности глинистых частиц гетеропотенциальные: базальные поверхности имеют отрицательный потенциал, боковые сколы – положительный. В щелочной среде базальные поверхности минералов и их сколы несут одинаковый отрицательный потенциал [36].
Каолиновая глина. Экспериментально установлено, что при увеличении давления активации глины водородный показатель ТНЗ уменьшается с 7,3 до 6,0. Это свидетельствует о том, что давление формирует на поверхности глинистых частиц энергетические центры, заряженные преимущественно отрицательно. Данный вывод согласуется с результатами исследований В.В. Середина и др. [37]. Для формирования нулевого заряда на поверхности частиц каолина его необходимо компенсировать положительно заряженными ионами. Повышение кислотности порового раствора на 1,3 единицы (рН ТНЗ с 7,3 до 6,0), то есть увеличение в поровом растворе ионов водорода, свидетельствует о том, что положительно заряженные ионы Н+ порового раствора компенсируют отрицательный заряд поверхности частицы каолина, тем самым формируя рН ТНЗ.
Бентонитовая глина. Выявлено, что при увеличении давления до 200 МПа водородный показатель ТНЗ уменьшается с 8,05 до 7,85. При увеличении давления до 800 МПа водородный показатель ТНЗ возрастает до 8,04. Выявленная закономерность свидетельствует о том, что давление активации глин изменяет незначительно величину положительно заряженных боковых поверхностей частиц. Для формирования нулевого заряда на поверхности частиц их необходимо компенсировать отрицательно заряженными ионами гидроксильных групп ОН–. Уменьшение щелочности порового раствора на 0,2 единицы (рН ТНЗ с 8,05 до 7,85), то есть увеличение в поровом растворе ионов ОН–, свидетельствуют о том, что отрицательно заряженные ионы ОН– порового раствора компенсируют положительный заряд поверхности частицы, тем самым формируя рН ТНЗ.
Таким образом, обработка глин давлением формирует дефектность структуры минералов каолинита и монтмориллонита [38]. Изменение структуры минералов оказывает разнонаправленное влияние на энергетический потенциал поверхности частиц. Поэтому величина рН ТНЗ также разнонаправленно реагирует на активацию давлением глин. При этом рН ТНЗ порового раствора в бентонитовой глине реагирует на давление в 6 раз меньше, чем в каолиновой глине.
Заключение
В результате эксперимента были сделаны следующие выводы:
- При обработке глин давлением наблюдается уменьшение содержания ионов Al3+ в пакетах каолинита и монтмориллонита, переход ионов Al3+ в диффузный слой глинистой частицы, где ионы Al3+ связывают гидроксильные ионы, а освободившиеся ионы водорода повышают кислотность суспензии.
- Активация давлением каолиновой и бентонитовой глин разнонаправленно влияет на изменение ионообменной емкости глин и, как следствие, на водородный показатель точки нулевого заряда поверхности глинистых частиц.
По результатам лабораторных исследований были получены статистические модели, которые позволяют прогнозировать рН ТНЗ по величине давления на глины.
作者简介
Valeriy Seredin
Perm State National Research University
编辑信件的主要联系方式.
Email: seredin@nedra.perm.ru
ORCID iD: 0000-0002-9234-7831
Dr. Sc., Professor
俄罗斯联邦, PermKsenia Sheina
Perm State National Research University
Email: k.shieina@mail.ru
ORCID iD: 0009-0007-2636-7854
Student
俄罗斯联邦, PermOlga Siteva
Perm State National Research University
Email: ol_sit@rambler.ru
Lecturer
俄罗斯联邦, Perm参考
- Kara-Sal B.K., Sapelkina T.V. Increase of adsorption properties of clay rocks of Tuva depending on activation methods. Aktualnye problemy sovremennoy nauki, 2012, no. 5, pp. 158–162.
- Mostalygina L.V., Elizarova S.N., Kostin A.V. Bentonite clays of the Trans-Urals: ecology and human health. Monograph. Kurgan, Kurgan State University Publ., 2010. 148 p. (In Russ.)
- Zhu H.Y., Ma Q., Lu G.Q. Influence of heat treatments on the pore and adsorption characteristics of sodium doped alumina pillared bentonite. Journal of Porous Materials, 1999, vol. 6, pp. 135–142. doi: 10.1023/A:1009683422478
- Barakan S., Aghazadeh V. The advantages of clay mineral modification methods for enhancing adsorption efficiency in wastewater treatment: a review. Environmental Science and Pollution Research, 2021, vol. 28, pp. 2572–2599. doi: 10.1007/s11356-020-10985-9
- Huang F.Y., Wang Z., Yi F.C., Liu Y., Wu Y.D., Luo Y., Jia W.J. Sorption behavior and mechanism of simulated radionuclide Nd(III) from aqueous solution by bentonite. Russian Journal of Physical Chemistry A, 2022, vol. 96, pp. 1077–1084. doi: 10.1134/S0036024422050107
- Vezentsev A.I., Goldovskaya L.F., Volovicheva N.A., Korolkova S.V. Investigation of the efficiency of sorption of Cu(II) and Pb(II) ions by native forms of montmorillonite clays of the Belgorod region. Sorbtsionnye i khromatograficheskie protsessy, 2008, vol. 8, no. 5, pp. 807–811. (In Russ.)
- Ajala M.A., Abdulkareem A.S., Tijani J.O., Kovo A.S. Adsorptive behaviour of rutile phased titania nanoparticles supported on acid-modified kaolinite clay for the removal of selected heavy metal ions from mining wastewater. Applied Water Science, 2022, vol. 12, Article number 19. doi: 10.1007/s13201-021-01561-8
- Abou-El-Sherbini K.S., Wahba M.A., Drweesh E.A., Akarish A.I.M., Shaban S.A., Elzahany E.A.M. Zirconia-intercalated kaolinite: synthesis, characterization, and evaluation of metal-ion removal activity. Clays and Clay Minerals, 2021, vol. 69, pp. 463–476. doi: 10.1007/s42860-021-00134-9
- Al-Slaty F., Ibrahim K., Fayez S., Mahmoud E.N. Potential use of alkali activated clay from common deposit for removal of methylene blue dye. Arabian Journal of Geosciences, 2022, vol. 15, 1355. doi: 10.1007/s12517-022-10550-3
- Ankouri F. Z., Lamkhanter H., Jaafar A., Lakbaibi Z., Mountacer H. Removal of crystal violet cationic dye from aqueous solution by adsorption onto bentonite clay: experimental, DFT, NBO, and molecular dynamics studies. Chemistry Africa, 2022. doi: 10.1007/s42250-022-00579-y
- Liu J., Chen R., Li Y., Chen J., Chen L., Gao J., Li G. Microstructure-related Pb2+ adsorption capability of Ti-pillared montmorillonite in aqueous solution. Clays and Clay Minerals, 2018, vol. 66, pp. 466–473. doi: 10.1346/CCMN.2018.064112
- Kruglitskiy N.N., Nichiporenko S.P., Simurov V.V., Minchenko V.V. Ultrasonic treatment of clay mineral dispersions. Kiev, Naukova Dumka Publ., 1971. 198 p. (In Russ.)
- Skorik Yu.I. Preparation and study of organic derivatives of kaolin and chrysotile asbestos. Cand. Diss. Abstract. Leningrad, 1966. 16 p. (In Russ.)
- Chekmarev A.S. Acoustic treatment of clay suspensions in order to regulate the technological properties of clay from the Shelanga deposit. Cand. Diss. Kazan, 2010. 192 p. (In Russ.)
- Pyatko Yu.N., Akhmetova R.T., Khatsrinov A.I., Fakhrutdinova V.Kh., Akhmetova A.Yu., Gubaydullina A.M. Effect of ultrasonic treatment on the properties of Tripoli. Technical sciences, 2015, no. 12-2, pp. 320–324. (In Russ.) Available at: https://fundamental-research.ru/ru/article/view?id=39413 (accessed: 2 March 2023).
- Boldyrev V.V. Mechanochemistry and mechanical activation of solids. Russian Chemical Reviews, 2006, vol. 75, no. 3, pp. 203–216. (In Russ.) doi: 10.1070/RC2006v075n03ABEH001205
- Anyukhina A.V., Seredin V.V. Concerning adsorption of clays subjected by heat and chemical activation. Lecture Notes in Networks and Systems, 2022, vol. 342, pp. 218–226. doi: 10.1007/978-3-030-89477-1_21
- Seredin V.V., Yadzinskaya M.R., Makovetskiy O.A. High pressure influence on the change in the structure of the packet, mineral, colloid and aggregate of bentonite clay. Bulletin of the Tomsk Polytechnic University. Geo Аssets Engineering, 2022, vol. 333, no. 12, pp. 37–45. (In Russ.) doi: 10.18799/24131830/2022/12/3576
- Turki T., Frini-Srasra N., Srasra E. Environmental application of acid activated kaolinite-glauconite clay assisted by microwave irradiation. Silicon, 2022, vol. 14, pp. 7939–7949. doi: 10.1007/s12633-021-01531-4
- Yang D., Yan R., Ma T., Wei C. Compressive behavior of kaolinitic clay under chemo-mechanical loadings. Acta Geotechnica, 2023, vol. 18, pp. 77–94. doi: 10.1007/s11440-022-01554-0
- Galán E., Aparicio P., La Iglesia Á., González I. The effect of pressure on order/disorder in kaolinite under wet and dry conditions. Clays and Clay Mineral, 2006, vol. 54, pp. 230–239. doi: 10.1346/CCMN.2006.0540208
- Nouri N., Tasviri M., Ghasemzadeh H. Developing an efficient catalyst based on thermal and acid-treated clay for the removal of trace olefins from aromatic compounds. Clays and Clay Minerals, 2021, vol. 69, pp. 105–116. doi: 10.1007/s42860-020-00108-3
- Range K.J., Range A., Weiss A. Fire-clay type kaolinite or fire-clay mineral? Experimental classification of kaolinite-halloysite minerals. Proceedings of the International Clay Conference. Tokyo, 1969. Vol. 1, pp. 3–13.
- La Iglesia A. Pressure induced disorder in kaolinite. Clay Minerals, 1993, vol. 28, Iss. 2, pp. 311–319. doi: 10.1180/claymin.1993.028.2.11
- Zou Wl., Han Z., Ye Jb. Influence of external stress and initial density on the volumetric behavior of an expansive clay during wetting. Environmental Earth Sciences, 2020, vol. 79, p. 211. doi: 10.1007/s12665-020-08960-1
- Fyodorov M.V., Seredin V.V., Lunegov I.V. Change in the adhesion force of clay soils modified by hydrochloric acid and pressure. Lecture Notes in Networks and Systems, 2022, vol. 342 LNNS, pp. 236–244. doi: 10.1007/978-3-030-89477-1_23
- Nesterov D.S., Korolev V.A. Factors determining the surface charge of clay mineral particles. Materials of the Fifth Russian School on Clay Minerals. Argilla Studium-2017. Moscow, IGEM RAN Publ., 2017. pp. 158–161. (In Russ.)
- Yang G., Li Q., Li H. Measurement of surface charges and mechanism of interfacial processes for soil clay minerals. Eurasian Soil Science, 2021, vol. 54, pp. 1546–1563. doi: 10.1134/S1064229321100136
- Yudin A.A., Varenikov A.S., Osipova E.A. Determination of the dependence of the pH of the zero charge point of bentonite modified by acid treatment on the calcination temperature. The University complex as a regional center of education, science and culture. Materials of the All-Russian Scientific and Methodological Conference. Orenburg, Orenburg State University Publ., 2020. pp. 2626–2629.
- Vo Dai Tu. Study of physico-chemical features of processes occurring on the surface of mineral dispersions. Cand. Diss. Irkutsk, 2012. 141 p.
- Kriaa A., Hamdi N., Srasra E. Chemistry of acid-base interactions for montmorillonite and beidelite-montmorillonite smectite. Elektrokhimiya, 2007, vol. 43, no. 2, pp.175–187. (In Russ.)
- Hao W., Flynn S.L., Alessi D.S., Konhauser K.O. Change of the point of zero net proton charge (pHPZNPC) of clay minerals with ionic strength. Chemical Geology, 2018, vol. 493, pp. 458–467. doi: 10.1016/j.chemgeo.2018.06.023
- Korolev V.A., Nesterov D.S. Regulation of clay particles charge for design of protective electrokinetic barriers. Journal of Hazardous Materials, 2018, vol. 358, pp. 165–170. doi: 10.1016/j.jhazmat.2018.06.023
- Siteva O.S., Medvedeva N.A., Seredin V.V., Ivanov D.V., Alvanyan K.A. Influence of pressure on kaolinite structure in fire-clays of the Nizhne-Uvelskoe deposit by IR spectroscopy. Bulletin of the Tomsk Polytechnic University. Geo Аssets Engineering, 2020, vol. 331, no. 6, pp. 208–217. (In Russ.) doi: 10.18799/24131830/2020/6/2690
- Seredin V.V., Rastegaev A.V., Medvedeva N.A., Parshina T.Yu. Influence of pressure on the active surface area of clay soil particles. Engineering Geology, 2017 no. 3, pp. 18–27. (In Russ.)
- Shchurova M.A., Mostalygina L.V., Elizarova S.N, Kostin A.V. Study of the basic patterns and parameters of zinc ion sorption by bentonite clay of the Zyryansk deposit of the Kurgan region. Innovatsii v nauke, 2020, vol. 9, pp. 19–24.
- Galkin V., Seredin V. Absorption properties of pressure activated bentonite clay. AIP Conference Proceedings, 2021, vol. 2442, 030009. DOI: https://doi.org/10.1063/5.0075378
- Seredin V.V., Siteva O.S., Alvanyan K.A., Andrianov A.V. Change in the physico-chemical properties of clays subjected to pressure. Perm Journal of Petroleum and Mining Engineering, 2020, vol. 20, no. 4, pp. 304–316. (In Russ.) doi: 10.15593/2712-8008/2020.4.1
补充文件








